Última actualização :
27/04/2026
antibiótico   Daptomycin  
injetável
Estabilidade em soluções simples Estabilidade em misturas Factores que afectam a sua estabilidade Compatibilidade Método de administração Bibliografía pdf
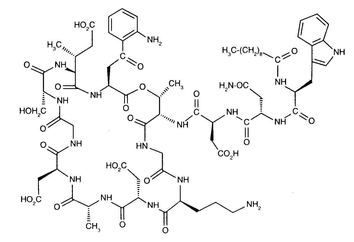
   estrutura química  

Nomes comerciais nos diversos países   Nomes comerciais nos diversos países     

OS NOMES COMERCIAIS SÃO INDICATIVOS E OS EXCIPIENTES DA FORMULAÇÃO PODEM SER DIFERENTES CONFORME O PAÍS E FABRICANTE.

Cubicin Alemanha, Argentina, Australia, Austria, Canadá, Chilli, Colômbia, Dinamarca, Espanha, Estados Unidos de América, Finlandia, França, Gran-bretanha, Grècia, Hungria, Índia, Irlanda, Islandia, Itália, Japón, Malásia, México, Noruega, nova Zelândia, Países Baixos, Polonia, Portugal, Romènia, Suècia, Suicia, Turquia, Venezuela
Daptomicina Argentina, Espanha, Itália
Daptomicine Alemanha, Finlandia, Gran-bretanha, Hungria, Noruega
Exfuno Brasil, Chilli
Stenkivar Nigéria
Trisk Brasil
Compatibilidade   injetável   Compatibilidade : Daptomycin              
Este ecrã indica as compatibilidades ou incompatibilidades com, neste caso, o tipo de incompatibilidade (precipitação, mudança de cor, modificação de uma emulsão, etc.). As compatibilidades mostradas aqui são principalmente físicas, com a estabilidade química de cada molécula raramente sendo avaliada. A avaliação dessas misturas foi estudada para considerar a possibilidade de administração do local Y ao paciente. Estes dados não podem ser usados para fazer misturas antecipadamente em sacos ou seringas. Este tipo de informação está disponível na tela “Estabilidade na mistura».
molécula Solvente Bibliografia
Compatível
injetável Daptomycin
injetável Aztreonam
2271
Precipitação imediata Incompatível
injetável Daptomycin 6.1 mg/ml
injetável Blinatumomab 0.125 & 0.375 µg/ml
cloreto de sódio 0,9% 3976
Incompatibilidade não especificada Incompatível
injetável Daptomycin
Glucose 5% 2271
Instabilidade química Incompatível
injetável Daptomycin
Glucose 5% 3439
Compatível
injetável Daptomycin 16,7 mg/ml
injetável Aztreonam 16,7 mg/ml
cloreto de sódio 0,9% 1937
Compatível
injetável Daptomycin
cloreto de sódio 0,9% 2271
Compatível
injetável Daptomycin 10 mg/ml
injetável Caspofungin acetate 0,7 mg/ml
cloreto de sódio 0,9% 2247
Incompatibilidade não especificada Incompatível
injetável Daptomycin
NaCl 0,45% Glucose 2,5% 2271
Compatível
injetável Daptomycin 21 mg/ml
injetável Cefepime dihydrochloride 83.3 mg/ml
Glucose 5% 4254
Compatível
injetável Daptomycin 21 mg/ml
injetável Cefepime dihydrochloride 83.3 mg/ml
cloreto de sódio 0,9% 4254
Compatível
injetável Daptomycin 20 mg/ml
injetável Cefiderocol sulfate tosylate 20 mg/mL
Glucose 5% 4528
Compatível
injetável Daptomycin 20 mg/ml
injetável Cefiderocol sulfate tosylate 20 mg/mL
cloreto de sódio 0,9% 4528
Compatível
injetável Daptomycin
injetável Ceftazidime
2271
Compatível
injetável Daptomycin 16,7 mg/ml
injetável Ceftazidime 16,7 mg/ml
cloreto de sódio 0,9% 1937
Compatível
injetável Daptomycin 10 mg/ml
injetável Ceftolozane / tazobactam 10/5 mg/ml
cloreto de sódio 0,9% 3828
Compatível
injetável Daptomycin
injetável Ceftriaxone disodium
2271
Compatível
injetável Daptomycin 16,7 mg/ml
injetável Ceftriaxone disodium 16,7 mg/ml
cloreto de sódio 0,9% 1937
Compatível
injetável Daptomycin 18,2 mg/ml
injetável Dopamine hydrochloride 3,6 mg/ml
cloreto de sódio 0,9% 1937
Compatível
injetável Daptomycin 6,3 mg/ml
injetável Fluconazole 1,3 mg/ml
cloreto de sódio 0,9% 1937
Compatível
injetável Daptomycin
injetável Fluconazole
2271
Compatível
injetável Daptomycin 19,2 mg/ml
injetável Gentamicin sulfate 1,5 mg/ml
cloreto de sódio 0,9% 1937
Compatível
injetável Daptomycin
injetável Gentamicin sulfate
2271
Incompatibilidade não especificada Incompatível
injetável Daptomycin
NaCl 0,45% Glucose 5% 2271
Compatível
injetável Daptomycin
injetável Dopamine hydrochloride
2271
Compatível
injetável Daptomycin 10 mg/ml
injetável Doripenem 5 mg/ml
Glucose 5% 2262
Compatível
injetável Daptomycin 10 mg/ml
injetável Doripenem 5 mg/ml
cloreto de sódio 0,9% 2262
Turvação imediata Incompatível
injetável Daptomycin 20 mg/ml
injetável Fosfomycin 30 mg/ml
cloreto de sódio 0,9% 4055
Compatível
injetável Daptomycin 19,6 mg/ml
injetável Heparin sodium 98 UI/ml
cloreto de sódio 0,9% 1937
Compatível
injetável Daptomycin
injetável Heparin sodium
2271
Compatível
injetável Daptomycin 10 mg/ml
injetável Isavuconazonium sulfate 1.5 mg/ml
cloreto de sódio 0,9% 3829
Compatível
injetável Daptomycin 14,3 mg/ml
injetável Levofloxacine 7,1 mg/ml
cloreto de sódio 0,9% 1937
Compatível
injetável Daptomycin
injetável Levofloxacine
2271
Compatível
injetável Daptomycin 16,7 mg/ml
injetável Lidocaine hydrochloride 3,3 mg/ml
cloreto de sódio 0,9% 1937
Compatível
injetável Daptomycin
injetável Lidocaine hydrochloride
2271
Turvação imediata Incompatível
injetável Daptomycin 20 mg/ml
injetável Plazomicin sulfate 24 mg/ml
cloreto de sódio 0,9% 4145
Compatível
injetável Daptomycin
injetável Posaconazole
4380
Compatível
injetável Daptomycin 5 mg/ml
injetável Sodium bicarbonate 40 mg/ml
nenhum 3122
Turbidez em uma hora Incompatível
injetável Daptomycin 20 mg/ml
injetável Sulbactam/durlobactam 15/15 mg/ml
cloreto de sódio 0,9% 4801
Compatível
injetável Daptomycin 10 mg/ml
injetável Tedizolid phosphate 0.8 mg/ml
cloreto de sódio 0,9% 3827
Compatível
injetável Daptomycin 21 mg/ml
injetável Thiamine hydrochloride 0.2 mg/ml
cloreto de sódio 0,9% 4254
Instabilidade química Incompatível
injetável Daptomycin
Glucose 10% 3439

  Mentions Légales