Последно актуализиране :
27/01/2026
Антибиотик   Daptomycin  
Инжекция/Инжекционен
Стабилност на разтвори Стабилност на смеси Фактори, повлияващи стабилността Съвместимост Път на въвеждане Библиография Pdf
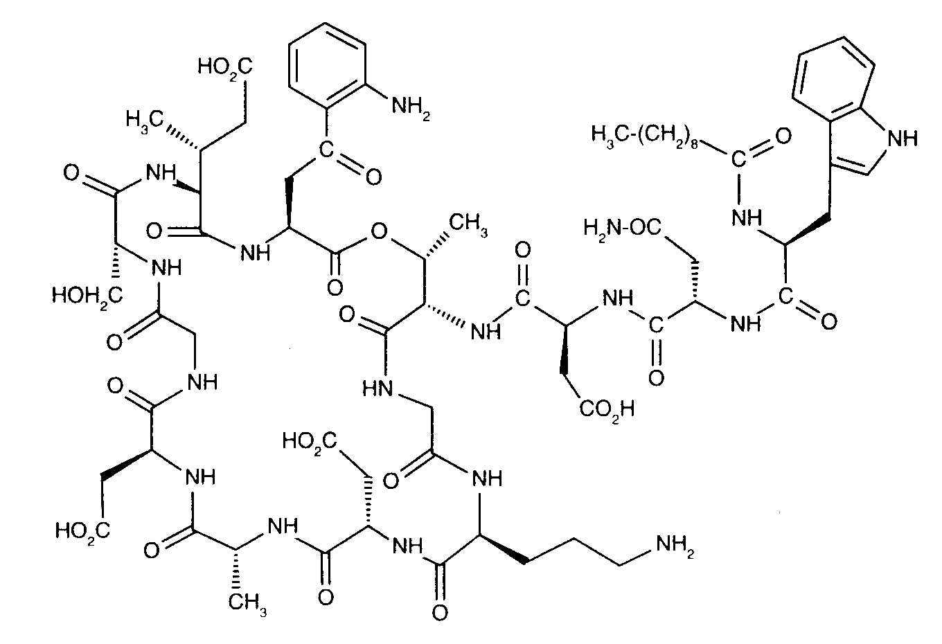
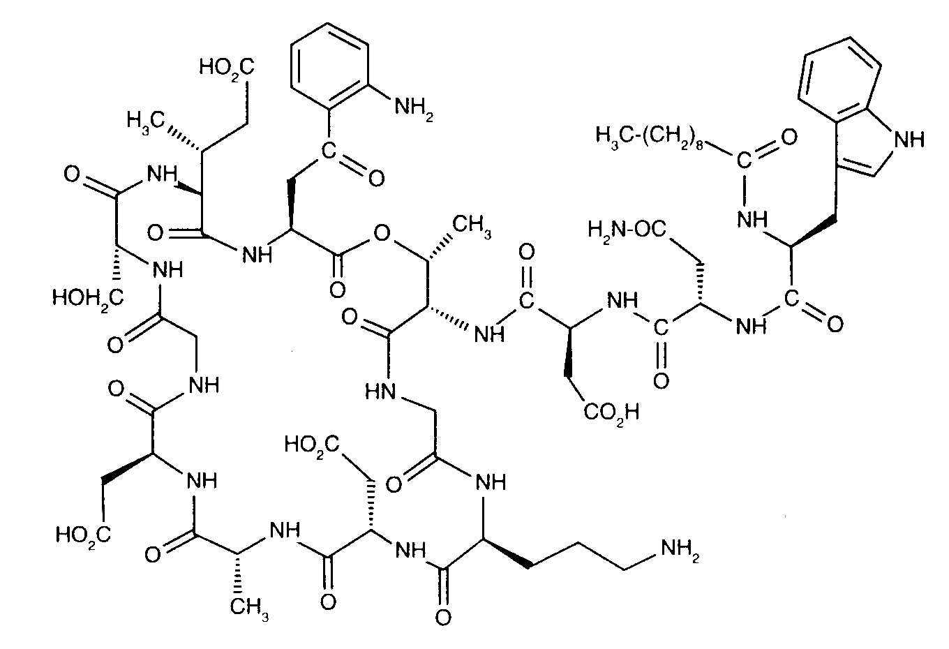
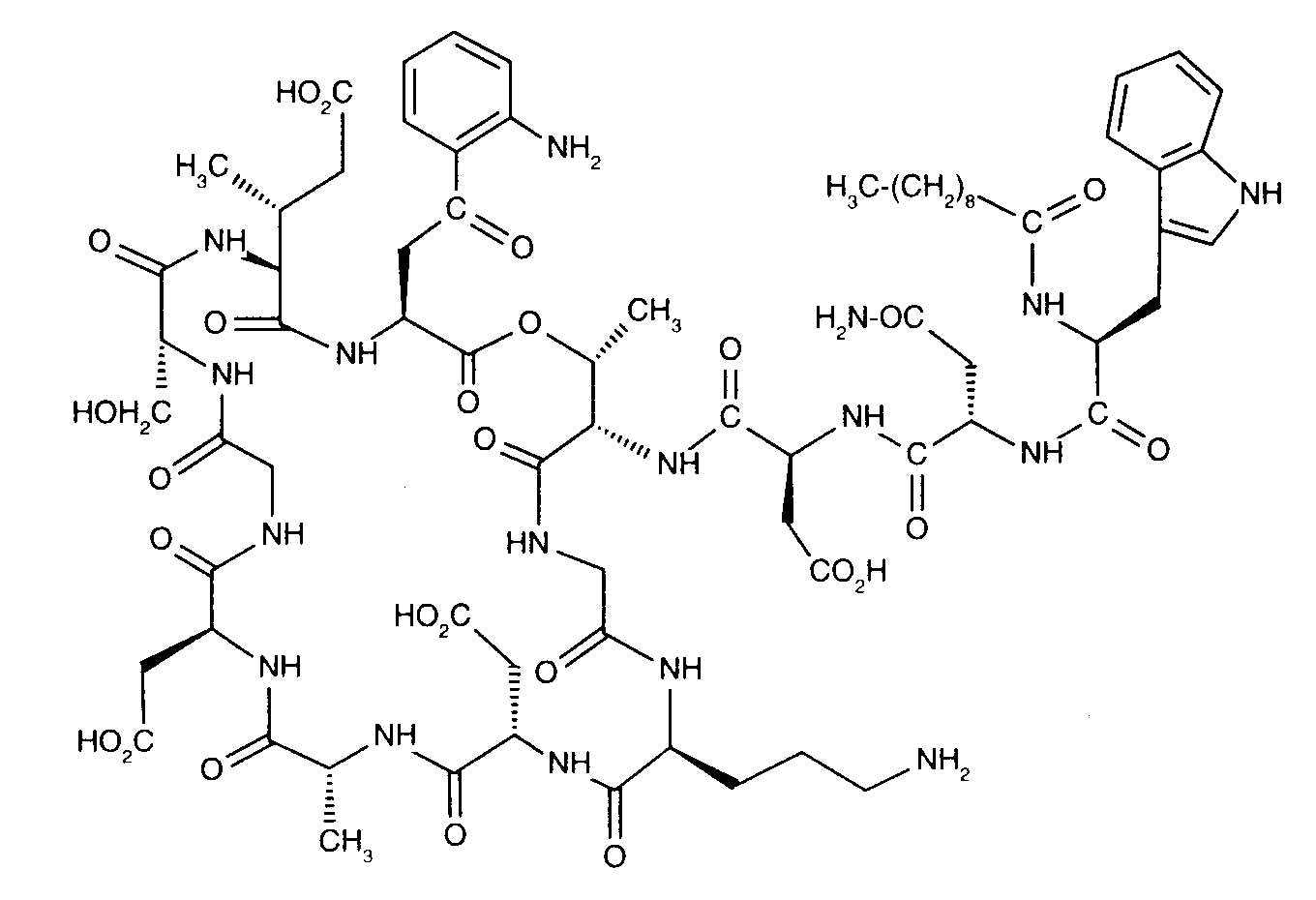
   Химична структура  

Търговско наименование   Търговско наименование     

Търговските имена са примерни и съставът на помощните вещества може да бъде различен в зависимост от държавата и лабораториите

Cubicin Австралия, Австрия, Аржентина, Великобритания, Венецуела, Германия, Гърция, Дания, Индия, Ирландия, Исландия, Испания, Италия, Канада, Колумбия, Малайзия, Мексико, нова Зеландия, Норвегия, Полша, Португалия, Румъния, Съединени Американски щати / САЩ, Турция, Унгария, Финландия, Франция, Холандия, Чили, Швейцария, Швеция, Япония
Daptomicina Аржентина, Испания, Италия
Daptomicine Великобритания, Германия, Норвегия, Унгария, Финландия
Exfuno Бразилия, Чили
Stenkivar Нигерия
Trisk Бразилия
Съвместимост   Инжекция/Инжекционен   Съвместимост : Daptomycin              
Този екран показва съвместимостта или несъвместимостта с, в този случай, вида на несъвместимостта (утаяване, промяна на цвета, модификация на емулсия и др.). Показаните тук съвместимости са предимно физически, като рядко се оценява химическата стабилност на всяка молекула. Оценката на тези смеси беше проучена, за да се разгледа възможността за приложение на Y-място на пациента. Тези данни не могат да се използват за предварително приготвяне на смеси в торбички или спринцовки. Този тип информация е достъпна на екрана "Стабилност в сместа".
Състав / молекула Разтворител Библиография
съвместим
Инжекция/Инжекционен Daptomycin
Инжекция/Инжекционен Aztreonam
2271
Незабавни валежи Несъвместим
Инжекция/Инжекционен Daptomycin 6.1 mg/ml
Инжекция/Инжекционен Blinatumomab 0.125 & 0.375 µg/ml
Sodium chloride 0,9% 3976
Неопределена несъвместимост Несъвместим
Инжекция/Инжекционен Daptomycin
Glucose 5% 2271
Химическа нестабилност Несъвместим
Инжекция/Инжекционен Daptomycin
Glucose 5% 3439
съвместим
Инжекция/Инжекционен Daptomycin 16,7 mg/ml
Инжекция/Инжекционен Aztreonam 16,7 mg/ml
Sodium chloride 0,9% 1937
съвместим
Инжекция/Инжекционен Daptomycin
Sodium chloride 0,9% 2271
съвместим
Инжекция/Инжекционен Daptomycin 10 mg/ml
Инжекция/Инжекционен Caspofungin acetate 0,7 mg/ml
Sodium chloride 0,9% 2247
Неопределена несъвместимост Несъвместим
Инжекция/Инжекционен Daptomycin
NaCl 0,45% Glucose 2,5% 2271
съвместим
Инжекция/Инжекционен Daptomycin 21 mg/ml
Инжекция/Инжекционен Cefepime dihydrochloride 83.3 mg/ml
Glucose 5% 4254
съвместим
Инжекция/Инжекционен Daptomycin 21 mg/ml
Инжекция/Инжекционен Cefepime dihydrochloride 83.3 mg/ml
Sodium chloride 0,9% 4254
съвместим
Инжекция/Инжекционен Daptomycin 20 mg/ml
Инжекция/Инжекционен Cefiderocol sulfate tosylate 20 mg/mL
Glucose 5% 4528
съвместим
Инжекция/Инжекционен Daptomycin 20 mg/ml
Инжекция/Инжекционен Cefiderocol sulfate tosylate 20 mg/mL
Sodium chloride 0,9% 4528
съвместим
Инжекция/Инжекционен Daptomycin
Инжекция/Инжекционен Ceftazidime
2271
съвместим
Инжекция/Инжекционен Daptomycin 16,7 mg/ml
Инжекция/Инжекционен Ceftazidime 16,7 mg/ml
Sodium chloride 0,9% 1937
съвместим
Инжекция/Инжекционен Daptomycin 10 mg/ml
Инжекция/Инжекционен Ceftolozane / tazobactam 10/5 mg/ml
Sodium chloride 0,9% 3828
съвместим
Инжекция/Инжекционен Daptomycin
Инжекция/Инжекционен Ceftriaxone disodium
2271
съвместим
Инжекция/Инжекционен Daptomycin 16,7 mg/ml
Инжекция/Инжекционен Ceftriaxone disodium 16,7 mg/ml
Sodium chloride 0,9% 1937
съвместим
Инжекция/Инжекционен Daptomycin 18,2 mg/ml
Инжекция/Инжекционен Dopamine hydrochloride 3,6 mg/ml
Sodium chloride 0,9% 1937
съвместим
Инжекция/Инжекционен Daptomycin 6,3 mg/ml
Инжекция/Инжекционен Fluconazole 1,3 mg/ml
Sodium chloride 0,9% 1937
съвместим
Инжекция/Инжекционен Daptomycin
Инжекция/Инжекционен Fluconazole
2271
съвместим
Инжекция/Инжекционен Daptomycin 19,2 mg/ml
Инжекция/Инжекционен Gentamicin sulfate 1,5 mg/ml
Sodium chloride 0,9% 1937
съвместим
Инжекция/Инжекционен Daptomycin
Инжекция/Инжекционен Gentamicin sulfate
2271
Неопределена несъвместимост Несъвместим
Инжекция/Инжекционен Daptomycin
NaCl 0,45% Glucose 5% 2271
съвместим
Инжекция/Инжекционен Daptomycin
Инжекция/Инжекционен Dopamine hydrochloride
2271
съвместим
Инжекция/Инжекционен Daptomycin 10 mg/ml
Инжекция/Инжекционен Doripenem 5 mg/ml
Glucose 5% 2262
съвместим
Инжекция/Инжекционен Daptomycin 10 mg/ml
Инжекция/Инжекционен Doripenem 5 mg/ml
Sodium chloride 0,9% 2262
Незабавна мътност Несъвместим
Инжекция/Инжекционен Daptomycin 20 mg/ml
Инжекция/Инжекционен Fosfomycin 30 mg/ml
Sodium chloride 0,9% 4055
съвместим
Инжекция/Инжекционен Daptomycin 19,6 mg/ml
Инжекция/Инжекционен Heparin sodium 98 UI/ml
Sodium chloride 0,9% 1937
съвместим
Инжекция/Инжекционен Daptomycin
Инжекция/Инжекционен Heparin sodium
2271
съвместим
Инжекция/Инжекционен Daptomycin 10 mg/ml
Инжекция/Инжекционен Isavuconazonium sulfate 1.5 mg/ml
Sodium chloride 0,9% 3829
съвместим
Инжекция/Инжекционен Daptomycin 14,3 mg/ml
Инжекция/Инжекционен Levofloxacine 7,1 mg/ml
Sodium chloride 0,9% 1937
съвместим
Инжекция/Инжекционен Daptomycin
Инжекция/Инжекционен Levofloxacine
2271
съвместим
Инжекция/Инжекционен Daptomycin 16,7 mg/ml
Инжекция/Инжекционен Lidocaine hydrochloride 3,3 mg/ml
Sodium chloride 0,9% 1937
съвместим
Инжекция/Инжекционен Daptomycin
Инжекция/Инжекционен Lidocaine hydrochloride
2271
Незабавна мътност Несъвместим
Инжекция/Инжекционен Daptomycin 20 mg/ml
Инжекция/Инжекционен Plazomicin sulfate 24 mg/ml
Sodium chloride 0,9% 4145
съвместим
Инжекция/Инжекционен Daptomycin
Инжекция/Инжекционен Posaconazole
4380
съвместим
Инжекция/Инжекционен Daptomycin 5 mg/ml
Инжекция/Инжекционен Sodium bicarbonate 40 mg/ml
Няма 3122
Мътност за един час Несъвместим
Инжекция/Инжекционен Daptomycin 20 mg/ml
Инжекция/Инжекционен Sulbactam/durlobactam 15/15 mg/ml
Sodium chloride 0,9% 4801
съвместим
Инжекция/Инжекционен Daptomycin 10 mg/ml
Инжекция/Инжекционен Tedizolid phosphate 0.8 mg/ml
Sodium chloride 0,9% 3827
съвместим
Инжекция/Инжекционен Daptomycin 21 mg/ml
Инжекция/Инжекционен Thiamine hydrochloride 0.2 mg/ml
Sodium chloride 0,9% 4254
Химическа нестабилност Несъвместим
Инжекция/Инжекционен Daptomycin
Glucose 10% 3439

  Mentions Légales