最新更新 :
27/04/2026
抗生素   Daptomycin  
注射液
溶液稳定性 混合物稳定性 影响稳定性的因素 兼容性 用药途径 引用文献 PDF
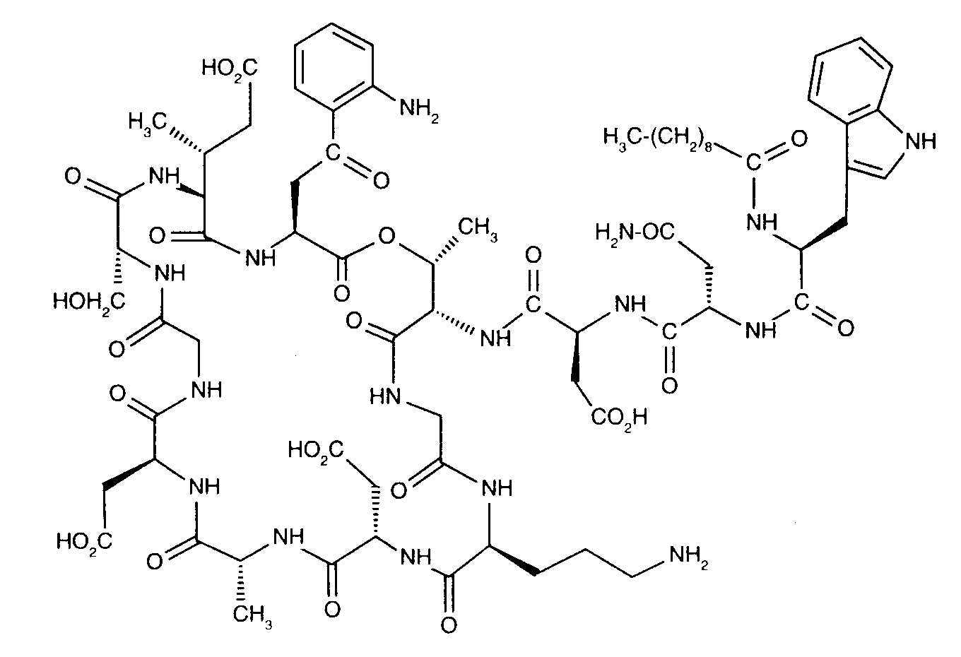
   化学式  

商品名   商品名     

商品名仅供参考, 药品所用的辅料可能依国家或厂商不同有所不同。

Cubicin 丹麦, 冰岛, 加拿大, 匈牙利, 印度, 哥伦比亚, 土耳其, 墨西哥, 奥地利, 委内瑞拉, 希腊, 德国, 意大利, 挪威, 新西蘭, 日本, 智利, 法国, 波兰, 澳大利亚, 爱尔兰, 瑞典, 瑞士, 罗马尼亚, 美国, 芬兰, 英国, 荷兰, 葡萄牙, 西班牙, 阿根廷, 马来西亚
Daptomicina 意大利, 西班牙, 阿根廷
Daptomicine 匈牙利, 德国, 挪威, 芬兰, 英国
Exfuno 巴西, 智利
Stenkivar 尼日利亞
Trisk 巴西
兼容性   注射液   兼容性 : Daptomycin              
This screen indicates the compatibilities or incompatibilities with, in this case, the type of incompatibility (precipitation, color change, modification of an emulsion, etc.). The compatibilities shown here are mostly physical only, with the chemical stability of each molecule rarely being assessed. The evaluation of these mixtures was studied to consider the possibility of Y-site administration to the patient. These data cannot be used for making mixtures in advance in bags or syringes. This type of information is available in the screen "Stability in mixture ».
分子 溶剂 引用文献
兼容
注射液 Daptomycin
注射液 Aztreonam
2271
立即沉澱 不相容
注射液 Daptomycin 6.1 mg/ml
注射液 Blinatumomab 0.125 & 0.375 µg/ml
NaCl 0,9% 3976
未指定的不兼容性 不相容
注射液 Daptomycin
葡萄糖5% 2271
化學不穩定性 不相容
注射液 Daptomycin
葡萄糖5% 3439
兼容
注射液 Daptomycin 16,7 mg/ml
注射液 Aztreonam 16,7 mg/ml
NaCl 0,9% 1937
兼容
注射液 Daptomycin
NaCl 0,9% 2271
兼容
注射液 Daptomycin 10 mg/ml
注射液 Caspofungin acetate 0,7 mg/ml
NaCl 0,9% 2247
未指定的不兼容性 不相容
注射液 Daptomycin
NaCl 0,45% 葡萄糖 2,5% 2271
兼容
注射液 Daptomycin 21 mg/ml
注射液 Cefepime dihydrochloride 83.3 mg/ml
葡萄糖5% 4254
兼容
注射液 Daptomycin 21 mg/ml
注射液 Cefepime dihydrochloride 83.3 mg/ml
NaCl 0,9% 4254
兼容
注射液 Daptomycin 20 mg/ml
注射液 Cefiderocol sulfate tosylate 20 mg/mL
葡萄糖5% 4528
兼容
注射液 Daptomycin 20 mg/ml
注射液 Cefiderocol sulfate tosylate 20 mg/mL
NaCl 0,9% 4528
兼容
注射液 Daptomycin
注射液 Ceftazidime
2271
兼容
注射液 Daptomycin 16,7 mg/ml
注射液 Ceftazidime 16,7 mg/ml
NaCl 0,9% 1937
兼容
注射液 Daptomycin 10 mg/ml
注射液 Ceftolozane / tazobactam 10/5 mg/ml
NaCl 0,9% 3828
兼容
注射液 Daptomycin
注射液 Ceftriaxone disodium
2271
兼容
注射液 Daptomycin 16,7 mg/ml
注射液 Ceftriaxone disodium 16,7 mg/ml
NaCl 0,9% 1937
兼容
注射液 Daptomycin 18,2 mg/ml
注射液 Dopamine hydrochloride 3,6 mg/ml
NaCl 0,9% 1937
兼容
注射液 Daptomycin 6,3 mg/ml
注射液 Fluconazole 1,3 mg/ml
NaCl 0,9% 1937
兼容
注射液 Daptomycin
注射液 Fluconazole
2271
兼容
注射液 Daptomycin 19,2 mg/ml
注射液 Gentamicin sulfate 1,5 mg/ml
NaCl 0,9% 1937
兼容
注射液 Daptomycin
注射液 Gentamicin sulfate
2271
未指定的不兼容性 不相容
注射液 Daptomycin
NaCl 0,45% 葡萄糖 5% 2271
兼容
注射液 Daptomycin
注射液 Dopamine hydrochloride
2271
兼容
注射液 Daptomycin 10 mg/ml
注射液 Doripenem 5 mg/ml
葡萄糖5% 2262
兼容
注射液 Daptomycin 10 mg/ml
注射液 Doripenem 5 mg/ml
NaCl 0,9% 2262
立即渾濁 不相容
注射液 Daptomycin 20 mg/ml
注射液 Fosfomycin 30 mg/ml
NaCl 0,9% 4055
兼容
注射液 Daptomycin 19,6 mg/ml
注射液 Heparin sodium 98 UI/ml
NaCl 0,9% 1937
兼容
注射液 Daptomycin
注射液 Heparin sodium
2271
兼容
注射液 Daptomycin 10 mg/ml
注射液 Isavuconazonium sulfate 1.5 mg/ml
NaCl 0,9% 3829
兼容
注射液 Daptomycin 14,3 mg/ml
注射液 Levofloxacine 7,1 mg/ml
NaCl 0,9% 1937
兼容
注射液 Daptomycin
注射液 Levofloxacine
2271
兼容
注射液 Daptomycin 16,7 mg/ml
注射液 Lidocaine hydrochloride 3,3 mg/ml
NaCl 0,9% 1937
兼容
注射液 Daptomycin
注射液 Lidocaine hydrochloride
2271
立即渾濁 不相容
注射液 Daptomycin 20 mg/ml
注射液 Plazomicin sulfate 24 mg/ml
NaCl 0,9% 4145
兼容
注射液 Daptomycin
注射液 Posaconazole
4380
兼容
注射液 Daptomycin 5 mg/ml
注射液 Sodium bicarbonate 40 mg/ml
无 3122
一小時渾濁 不相容
注射液 Daptomycin 20 mg/ml
注射液 Sulbactam/durlobactam 15/15 mg/ml
NaCl 0,9% 4801
兼容
注射液 Daptomycin 10 mg/ml
注射液 Tedizolid phosphate 0.8 mg/ml
NaCl 0,9% 3827
兼容
注射液 Daptomycin 21 mg/ml
注射液 Thiamine hydrochloride 0.2 mg/ml
NaCl 0,9% 4254
化學不穩定性 不相容
注射液 Daptomycin
葡萄糖10% 3439

  Mentions Légales