viimane versioon :
27/04/2026
antibiootikum   Daptomycin  
Süsteravim
Stabiilsus lahustes Stabiilsust mõjutavad tegurid stabiilsust mõjutavad faktorid Sobimatus Manustamis viis Viited pdf
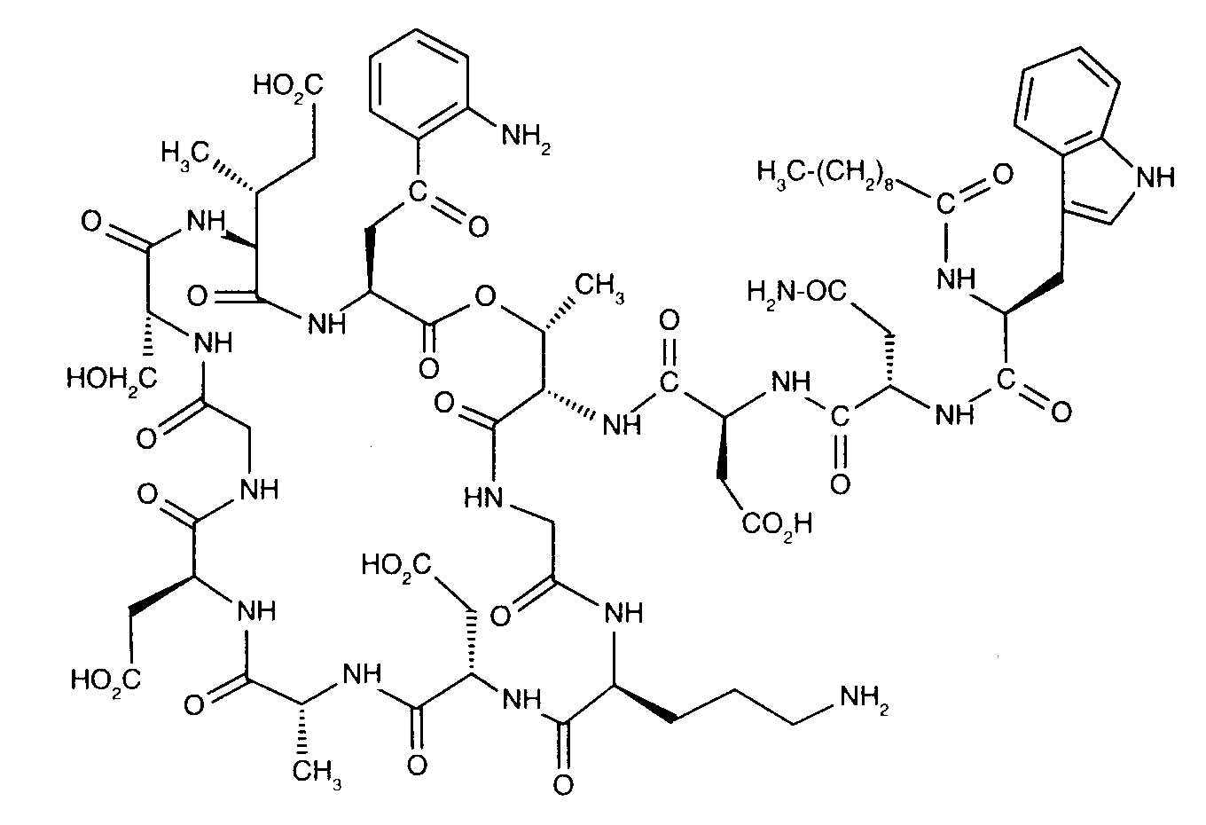
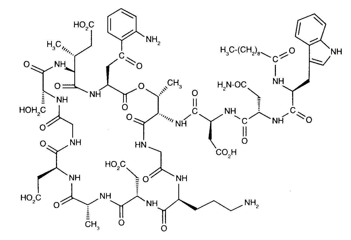
   keemiline struktuur  

Kaubanduslikud nimed erinevates maades   Kaubanduslikud nimed erinevates maades     

Preparaatide nimed on näitlikud ja abianete sisaldus võib erineda sõltuvalt riigist ja laborist

Cubicin Ameerika ühendriigid, Argentiina, Austraalia, Austria, Hispaania, Holland, Iirimaa, India, Island, Itaalia, Jaapan, Kanada, Kolumbia, Kreeka, Malaisia, Mehhiko, Norra, Poola, Portugal, Prantsusmaa, Rootsi, Rumeenia, Saksamaa, Soome, Suurbritannia, Sveits, Taani, Tšiili, Türgi, Ungari, uus-Meremaa, Venetsueela
Daptomicina Argentiina, Hispaania, Itaalia
Daptomicine Norra, Saksamaa, Soome, Suurbritannia, Ungari
Exfuno Brasiilia, Tšiili
Stenkivar Nigeeria
Trisk Brasiilia
Stabiilsust mõjutavad tegurid   Süsteravim   Stabiilsust mõjutavad tegurid : Daptomycin     
konteiner lahusti kontsentratsioon ingredient temperatuur ladustamine Stabiilsuse kestus Viited
süstal  polüpropüleenist Ringer laktaat 5 mg/ml
Süsteravim   Daptomycin   
Süsteravim   Heparin sodium 100 UI/ml
-20°C
14 päev
kaitsta valguse eest 3665
Tõenduspõhisuse tase B
süstal  polüpropüleenist Ringer laktaat 5 mg/ml
Süsteravim   Daptomycin   
Süsteravim   Heparin sodium 100 UI/ml
4°C
14 päev
pole täpsustatud 3665
Tõenduspõhisuse tase B
pole täpsustatud naatriumkloriid 0.9% 16,7 mg/ml
Süsteravim   Daptomycin   
Süsteravim   Aztreonam 16,7 mg/ml
22°C-28°C
2 Tund
pole täpsustatud 1937
Tõenduspõhisuse tase C+
pole täpsustatud naatriumkloriid 0.9% 16,7 mg/ml
Süsteravim   Daptomycin   
Süsteravim   Ceftazidime 16,7 mg/ml
22°C-28°C
2 Tund
pole täpsustatud 1937
Tõenduspõhisuse tase C+
pole täpsustatud naatriumkloriid 0.9% 16,7 mg/ml
Süsteravim   Daptomycin   
Süsteravim   Ceftriaxone disodium 16,7 mg/ml
22°C-28°C
2 Tund
pole täpsustatud 1937
Tõenduspõhisuse tase C+
pole täpsustatud naatriumkloriid 0.9% 16,7 mg/ml
Süsteravim   Daptomycin   
Süsteravim   Lidocaine hydrochloride 3,3 mg/ml
22°C-28°C
2 Tund
pole täpsustatud 1937
Tõenduspõhisuse tase C+
pole täpsustatud naatriumkloriid 0.9% 18,2 mg/ml
Süsteravim   Daptomycin   
Süsteravim   Dopamine hydrochloride 3,6 mg/ml
22°C-28°C
2 Tund
pole täpsustatud 1937
Tõenduspõhisuse tase C+
pole täpsustatud naatriumkloriid 0.9% 19,2 mg/ml
Süsteravim   Daptomycin   
Süsteravim   Gentamicin sulfate 1,5 mg/ml
22°C-28°C
2 Tund
pole täpsustatud 1937
Tõenduspõhisuse tase C+
pole täpsustatud naatriumkloriid 0.9% 6,3 mg/ml
Süsteravim   Daptomycin   
Süsteravim   Fluconazole 1,3 mg/ml
22°C-28°C
2 Tund
pole täpsustatud 1937
Tõenduspõhisuse tase C+
pole täpsustatud naatriumkloriid 0.9% 19,6 mg/ml
Süsteravim   Daptomycin   
Süsteravim   Heparin sodium 5000 UI/ml
22°C-28°C
2 Tund
pole täpsustatud 1937
Tõenduspõhisuse tase C+
pole täpsustatud naatriumkloriid 0.9% 14,3 mg/ml
Süsteravim   Daptomycin   
Süsteravim   Levofloxacine 7,1 mg/ml
22°C-28°C
2 Tund
pole täpsustatud 1937
Tõenduspõhisuse tase C+

  Mentions Légales