Dernière mise à jour :
27/04/2026
Antibiotique   Daptomycin  
injectable
Stabilité des solutions Stabilité en mélange Facteur influençant la stabilité Compatibilités Voie d’administration Bibliographie pdf
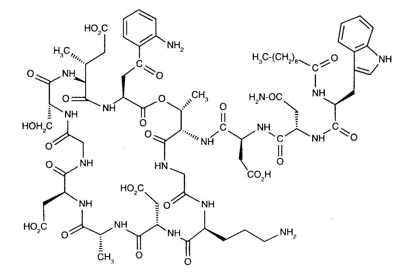
   Structure chimique  

Noms commerciaux   Noms commerciaux     

Les noms commerciaux sont donnés à titre indicatif et la composition en excipients peut être différente selon les pays et selon les laboratoires

Cubicin Allemagne, Argentine, Australie, Autriche, Canada, Chili, Colombie, Danemark, Espagne, Etats Unis d’Amérique, Finlande, France, Grande Bretagne, Grèce, Hongrie, Inde, Irlande, Islande, Italie, Japon, Malaisie, Mexique, Norvège, Nouvelle Zélande, Pays bas, Pologne, Portugal, Roumanie, Suède, Suisse, Turquie, Vénézuela
Daptomicina Argentine, Espagne, Italie
Daptomicine Allemagne, Finlande, Grande Bretagne, Hongrie, Norvège
Exfuno Brésil, Chili
Stenkivar Nigeria
Trisk Brésil
Compatibilités   injectable   Compatibilités : Daptomycin              
Cet écran indique les compatibilités ou incompatibilités avec, dans ce cas, le type d'incompatibilité (précipitation, changement de couleur, modification d'une émulsion, etc.). Les compatibilités présentées ici sont pour la plupart uniquement physiques, la stabilité chimique de chaque molécule étant rarement évaluée. L'évaluation de ces mélanges a été étudiée pour envisager la possibilité d'une administration en site Y au patient. Ces données ne peuvent pas être utilisées pour préparer des mélanges à l'avance dans des poches de perfusion ou des seringues. Ce type d'informations est disponible dans l'écran « Stabilité en mélange ».
Molécule Solvant Bibliographie
Compatible
injectable Daptomycin
injectable Aztreonam
2271
Précipitation immédiate Incompatible
injectable Daptomycin 6.1 mg/ml
injectable Blinatumomab 0.125 & 0.375 µg/ml
Chlorure de sodium 0,9% 3976
Incompatibilité non précisée Incompatible
injectable Daptomycin
Glucose 5% 2271
Instabilité chimique Incompatible
injectable Daptomycin
Glucose 5% 3439
Compatible
injectable Daptomycin 16,7 mg/ml
injectable Aztreonam 16,7 mg/ml
Chlorure de sodium 0,9% 1937
Compatible
injectable Daptomycin
Chlorure de sodium 0,9% 2271
Compatible
injectable Daptomycin 10 mg/ml
injectable Caspofungin acetate 0,7 mg/ml
Chlorure de sodium 0,9% 2247
Incompatibilité non précisée Incompatible
injectable Daptomycin
NaCl 0,45% Glucose 2,5% 2271
Compatible
injectable Daptomycin 21 mg/ml
injectable Cefepime dihydrochloride 83.3 mg/ml
Glucose 5% 4254
Compatible
injectable Daptomycin 21 mg/ml
injectable Cefepime dihydrochloride 83.3 mg/ml
Chlorure de sodium 0,9% 4254
Compatible
injectable Daptomycin 20 mg/ml
injectable Cefiderocol sulfate tosylate 20 mg/mL
Glucose 5% 4528
Compatible
injectable Daptomycin 20 mg/ml
injectable Cefiderocol sulfate tosylate 20 mg/mL
Chlorure de sodium 0,9% 4528
Compatible
injectable Daptomycin
injectable Ceftazidime
2271
Compatible
injectable Daptomycin 16,7 mg/ml
injectable Ceftazidime 16,7 mg/ml
Chlorure de sodium 0,9% 1937
Compatible
injectable Daptomycin 10 mg/ml
injectable Ceftolozane / tazobactam 10/5 mg/ml
Chlorure de sodium 0,9% 3828
Compatible
injectable Daptomycin
injectable Ceftriaxone disodium
2271
Compatible
injectable Daptomycin 16,7 mg/ml
injectable Ceftriaxone disodium 16,7 mg/ml
Chlorure de sodium 0,9% 1937
Compatible
injectable Daptomycin 18,2 mg/ml
injectable Dopamine hydrochloride 3,6 mg/ml
Chlorure de sodium 0,9% 1937
Compatible
injectable Daptomycin 6,3 mg/ml
injectable Fluconazole 1,3 mg/ml
Chlorure de sodium 0,9% 1937
Compatible
injectable Daptomycin
injectable Fluconazole
2271
Compatible
injectable Daptomycin 19,2 mg/ml
injectable Gentamicin sulfate 1,5 mg/ml
Chlorure de sodium 0,9% 1937
Compatible
injectable Daptomycin
injectable Gentamicin sulfate
2271
Incompatibilité non précisée Incompatible
injectable Daptomycin
NaCl 0,45% Glucose 5% 2271
Compatible
injectable Daptomycin
injectable Dopamine hydrochloride
2271
Compatible
injectable Daptomycin 10 mg/ml
injectable Doripenem 5 mg/ml
Glucose 5% 2262
Compatible
injectable Daptomycin 10 mg/ml
injectable Doripenem 5 mg/ml
Chlorure de sodium 0,9% 2262
Turbidité immédiate Incompatible
injectable Daptomycin 20 mg/ml
injectable Fosfomycin 30 mg/ml
Chlorure de sodium 0,9% 4055
Compatible
injectable Daptomycin 19,6 mg/ml
injectable Heparin sodium 98 UI/ml
Chlorure de sodium 0,9% 1937
Compatible
injectable Daptomycin
injectable Heparin sodium
2271
Compatible
injectable Daptomycin 10 mg/ml
injectable Isavuconazonium sulfate 1.5 mg/ml
Chlorure de sodium 0,9% 3829
Compatible
injectable Daptomycin 14,3 mg/ml
injectable Levofloxacine 7,1 mg/ml
Chlorure de sodium 0,9% 1937
Compatible
injectable Daptomycin
injectable Levofloxacine
2271
Compatible
injectable Daptomycin 16,7 mg/ml
injectable Lidocaine hydrochloride 3,3 mg/ml
Chlorure de sodium 0,9% 1937
Compatible
injectable Daptomycin
injectable Lidocaine hydrochloride
2271
Turbidité immédiate Incompatible
injectable Daptomycin 20 mg/ml
injectable Plazomicin sulfate 24 mg/ml
Chlorure de sodium 0,9% 4145
Compatible
injectable Daptomycin
injectable Posaconazole
4380
Compatible
injectable Daptomycin 5 mg/ml
injectable Sodium bicarbonate 40 mg/ml
Aucun 3122
Turbidité en 1 heure Incompatible
injectable Daptomycin 20 mg/ml
injectable Sulbactam/durlobactam 15/15 mg/ml
Chlorure de sodium 0,9% 4801
Compatible
injectable Daptomycin 10 mg/ml
injectable Tedizolid phosphate 0.8 mg/ml
Chlorure de sodium 0,9% 3827
Compatible
injectable Daptomycin 21 mg/ml
injectable Thiamine hydrochloride 0.2 mg/ml
Chlorure de sodium 0,9% 4254
Instabilité chimique Incompatible
injectable Daptomycin
Glucose 10% 3439

  Mentions Légales