Seneste opdatering :
27/01/2026
Antibiotisk   Daptomycin  
Injektion
Stabilitet i (vandige) opløsninger Stabilitet i blandinger Faktorer der påvirker stabiliteten Kompatibilitet Administrationsvej Bibliografi pdf
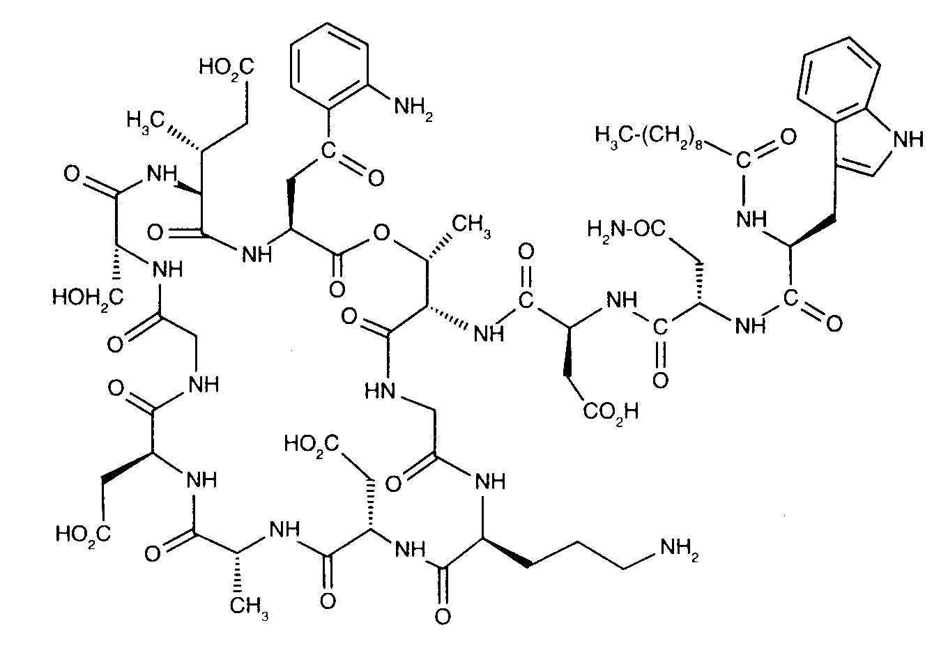
   Kemisk struktur  

Handelsnavn   Handelsnavn     

Handel navne er vejledende og hjælpestoffer sammensætning kan være forskellig afhængigt af landet og laboratorier

Cubicin Argentina, Australien, Canada, Chile, Colombia, Danmark, Finland, Frankrig, Grækenland, Holland, Indien, Irland, Island, Italien, Japan, Malaysia, Mexico, New Zealand, Norge, Polen, Portugal, Rumænien, Schweiz, Spanien, Storbritanien, Sverige, Tyrkiet, Tyskland, Ungarn, USA, Venezuela, Østrig
Daptomicina Argentina, Italien, Spanien
Daptomicine Finland, Norge, Storbritanien, Tyskland, Ungarn
Exfuno Brasilien, Chile
Stenkivar Nigeria
Trisk Brasilien
Kompatibilitet   Injektion   Kompatibilitet : Daptomycin              
Denne skærm viser kompatibilitet eller uforenelighed med, i dette tilfælde typen af inkompatibilitet (udfældning, farveændring, ændring af en emulsion osv.). Kompatibiliteterne vist her er for det meste kun fysiske, idet den kemiske stabilitet af hvert molekyle sjældent vurderes. Evalueringen af disse blandinger blev undersøgt for at overveje muligheden for Y-sted-administration til patienten. Disse data kan ikke bruges til at fremstille blandinger på forhånd i poser eller sprøjter. Denne type information findes på skærmen "Stabilitet i blanding".
Molekyle Opløsningsmiddel Bibliografi
Kompatibel
Injektion Daptomycin
Injektion Aztreonam
2271
Umiddelbar nedbør Uforenelig
Injektion Daptomycin 6.1 mg/ml
Injektion Blinatumomab 0.125 & 0.375 µg/ml
0,9 % Natriumklorid 3976
Uspecificeret inkompatibilitet Uforenelig
Injektion Daptomycin
5 % Glukose 2271
Kemisk ustabilitet Uforenelig
Injektion Daptomycin
5 % Glukose 3439
Kompatibel
Injektion Daptomycin 16,7 mg/ml
Injektion Aztreonam 16,7 mg/ml
0,9 % Natriumklorid 1937
Kompatibel
Injektion Daptomycin
0,9 % Natriumklorid 2271
Kompatibel
Injektion Daptomycin 10 mg/ml
Injektion Caspofungin acetate 0,7 mg/ml
0,9 % Natriumklorid 2247
Uspecificeret inkompatibilitet Uforenelig
Injektion Daptomycin
NaCl 0,45% Glukose 2,5% 2271
Kompatibel
Injektion Daptomycin 21 mg/ml
Injektion Cefepime dihydrochloride 83.3 mg/ml
5 % Glukose 4254
Kompatibel
Injektion Daptomycin 21 mg/ml
Injektion Cefepime dihydrochloride 83.3 mg/ml
0,9 % Natriumklorid 4254
Kompatibel
Injektion Daptomycin 20 mg/ml
Injektion Cefiderocol sulfate tosylate 20 mg/mL
5 % Glukose 4528
Kompatibel
Injektion Daptomycin 20 mg/ml
Injektion Cefiderocol sulfate tosylate 20 mg/mL
0,9 % Natriumklorid 4528
Kompatibel
Injektion Daptomycin
Injektion Ceftazidime
2271
Kompatibel
Injektion Daptomycin 16,7 mg/ml
Injektion Ceftazidime 16,7 mg/ml
0,9 % Natriumklorid 1937
Kompatibel
Injektion Daptomycin 10 mg/ml
Injektion Ceftolozane / tazobactam 10/5 mg/ml
0,9 % Natriumklorid 3828
Kompatibel
Injektion Daptomycin
Injektion Ceftriaxone disodium
2271
Kompatibel
Injektion Daptomycin 16,7 mg/ml
Injektion Ceftriaxone disodium 16,7 mg/ml
0,9 % Natriumklorid 1937
Kompatibel
Injektion Daptomycin 18,2 mg/ml
Injektion Dopamine hydrochloride 3,6 mg/ml
0,9 % Natriumklorid 1937
Kompatibel
Injektion Daptomycin 6,3 mg/ml
Injektion Fluconazole 1,3 mg/ml
0,9 % Natriumklorid 1937
Kompatibel
Injektion Daptomycin
Injektion Fluconazole
2271
Kompatibel
Injektion Daptomycin 19,2 mg/ml
Injektion Gentamicin sulfate 1,5 mg/ml
0,9 % Natriumklorid 1937
Kompatibel
Injektion Daptomycin
Injektion Gentamicin sulfate
2271
Uspecificeret inkompatibilitet Uforenelig
Injektion Daptomycin
0,45 % NaCl - 5 % Glukose 2271
Kompatibel
Injektion Daptomycin
Injektion Dopamine hydrochloride
2271
Kompatibel
Injektion Daptomycin 10 mg/ml
Injektion Doripenem 5 mg/ml
5 % Glukose 2262
Kompatibel
Injektion Daptomycin 10 mg/ml
Injektion Doripenem 5 mg/ml
0,9 % Natriumklorid 2262
Umiddelbar turbiditet Uforenelig
Injektion Daptomycin 20 mg/ml
Injektion Fosfomycin 30 mg/ml
0,9 % Natriumklorid 4055
Kompatibel
Injektion Daptomycin 19,6 mg/ml
Injektion Heparin sodium 98 UI/ml
0,9 % Natriumklorid 1937
Kompatibel
Injektion Daptomycin
Injektion Heparin sodium
2271
Kompatibel
Injektion Daptomycin 10 mg/ml
Injektion Isavuconazonium sulfate 1.5 mg/ml
0,9 % Natriumklorid 3829
Kompatibel
Injektion Daptomycin 14,3 mg/ml
Injektion Levofloxacine 7,1 mg/ml
0,9 % Natriumklorid 1937
Kompatibel
Injektion Daptomycin
Injektion Levofloxacine
2271
Kompatibel
Injektion Daptomycin 16,7 mg/ml
Injektion Lidocaine hydrochloride 3,3 mg/ml
0,9 % Natriumklorid 1937
Kompatibel
Injektion Daptomycin
Injektion Lidocaine hydrochloride
2271
Umiddelbar turbiditet Uforenelig
Injektion Daptomycin 20 mg/ml
Injektion Plazomicin sulfate 24 mg/ml
0,9 % Natriumklorid 4145
Kompatibel
Injektion Daptomycin
Injektion Posaconazole
4380
Kompatibel
Injektion Daptomycin 5 mg/ml
Injektion Sodium bicarbonate 40 mg/ml
Ingen 3122
Turbiditet på en time Uforenelig
Injektion Daptomycin 20 mg/ml
Injektion Sulbactam/durlobactam 15/15 mg/ml
0,9 % Natriumklorid 4801
Kompatibel
Injektion Daptomycin 10 mg/ml
Injektion Tedizolid phosphate 0.8 mg/ml
0,9 % Natriumklorid 3827
Kompatibel
Injektion Daptomycin 21 mg/ml
Injektion Thiamine hydrochloride 0.2 mg/ml
0,9 % Natriumklorid 4254
Kemisk ustabilitet Uforenelig
Injektion Daptomycin
10% Glucose 3439

  Mentions Légales