Viimeisin päivitys :
27/01/2026
Antibiootit   Daptomycin  
Injektioneste
Stabilius liuoksessa Stabilius seoksissa Tekijät, jotka vaikuttavat stabiliuteen Yhteensopivuus Antotapa Viitteet pdf
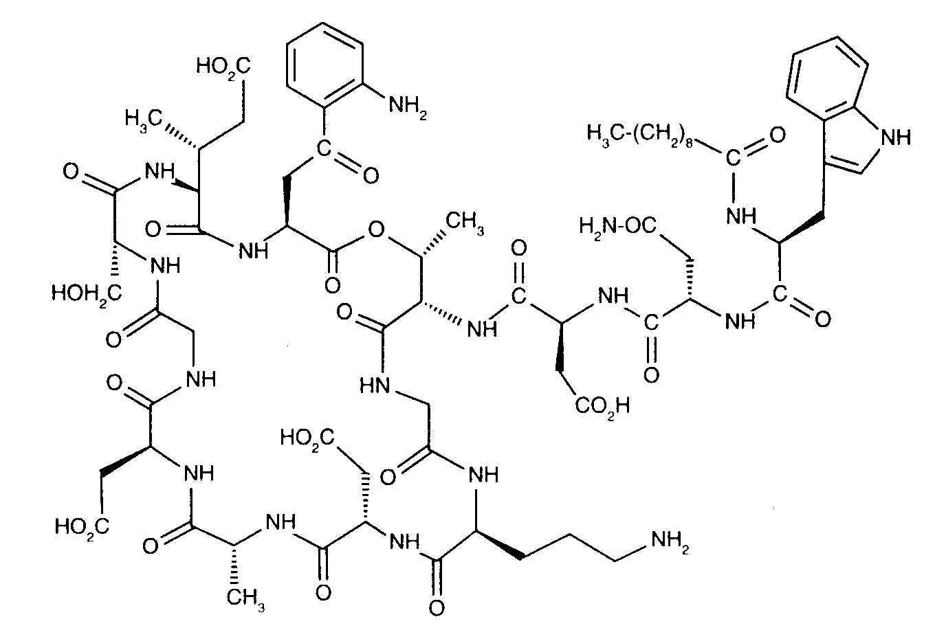
   Kemiallinen rakenne  

Kauppanimi   Kauppanimi     

Trade names are indicative and excipients composition can be different depending on the country and manufacturers

Cubicin Argentiina, Australia, Chile, Espanja, Hollanti, Intia, Irlanti, Islanti, Iso-Britannia, Italia, Itävalta, Japani, Kanada, Kolumbia, Kreikka, Malesia, Meksiko, New Zealand, Norja, Portugali, Puola, Ranska, Romania, Ruotsi, Saksa, Suomi, Sveitsi, Tanska, Turkki, Unkari, Venezuela, Yhdysvallat
Daptomicina Argentiina, Espanja, Italia
Daptomicine Iso-Britannia, Norja, Saksa, Suomi, Unkari
Exfuno Brasilia, Chile
Stenkivar Nigeria
Trisk Brasilia
Yhteensopivuus   Injektioneste   Yhteensopivuus : Daptomycin              
Tämä näyttö osoittaa yhteensopivuuden tai yhteensopimattomuuden yhteensopimattomuuden tyypin kanssa (saostuminen, värinmuutos, emulsiomuutos jne.). Tässä esitetty yhteensopivuus on useimmissa tapauksissa vain fysikaalinen, ja kunkin molekyylin kemiallista stabiilisuutta arvioidaan harvoin. Näiden seosten arviointia tutkittiin mahdollisuuden antaa Y-kohta potilaalle. Näitä tietoja ei voida käyttää seosten valmistamiseen etukäteen pusseissa tai ruiskuissa. Tämäntyyppiset tiedot ovat saatavilla "Stabiilisuus seoksessa" -näytössä.
Yhdiste Liuotin Viitteet
Yhteensopiva
Injektioneste Daptomycin
Injektioneste Aztreonam
2271
Välittömät sateet yhteensopimaton
Injektioneste Daptomycin 6.1 mg/ml
Injektioneste Blinatumomab 0.125 & 0.375 µg/ml
Natriumkloridi 0,9% 3976
Määrittelemätön yhteensopimattomuus yhteensopimaton
Injektioneste Daptomycin
Glukoosi 5% 2271
Kemiallinen epävakaus yhteensopimaton
Injektioneste Daptomycin
Glukoosi 5% 3439
Yhteensopiva
Injektioneste Daptomycin 16,7 mg/ml
Injektioneste Aztreonam 16,7 mg/ml
Natriumkloridi 0,9% 1937
Yhteensopiva
Injektioneste Daptomycin
Natriumkloridi 0,9% 2271
Yhteensopiva
Injektioneste Daptomycin 10 mg/ml
Injektioneste Caspofungin acetate 0,7 mg/ml
Natriumkloridi 0,9% 2247
Määrittelemätön yhteensopimattomuus yhteensopimaton
Injektioneste Daptomycin
NaCl 0,45% Glukoosi2,5% 2271
Yhteensopiva
Injektioneste Daptomycin 21 mg/ml
Injektioneste Cefepime dihydrochloride 83.3 mg/ml
Glukoosi 5% 4254
Yhteensopiva
Injektioneste Daptomycin 21 mg/ml
Injektioneste Cefepime dihydrochloride 83.3 mg/ml
Natriumkloridi 0,9% 4254
Yhteensopiva
Injektioneste Daptomycin 20 mg/ml
Injektioneste Cefiderocol sulfate tosylate 20 mg/mL
Glukoosi 5% 4528
Yhteensopiva
Injektioneste Daptomycin 20 mg/ml
Injektioneste Cefiderocol sulfate tosylate 20 mg/mL
Natriumkloridi 0,9% 4528
Yhteensopiva
Injektioneste Daptomycin
Injektioneste Ceftazidime
2271
Yhteensopiva
Injektioneste Daptomycin 16,7 mg/ml
Injektioneste Ceftazidime 16,7 mg/ml
Natriumkloridi 0,9% 1937
Yhteensopiva
Injektioneste Daptomycin 10 mg/ml
Injektioneste Ceftolozane / tazobactam 10/5 mg/ml
Natriumkloridi 0,9% 3828
Yhteensopiva
Injektioneste Daptomycin
Injektioneste Ceftriaxone disodium
2271
Yhteensopiva
Injektioneste Daptomycin 16,7 mg/ml
Injektioneste Ceftriaxone disodium 16,7 mg/ml
Natriumkloridi 0,9% 1937
Yhteensopiva
Injektioneste Daptomycin 18,2 mg/ml
Injektioneste Dopamine hydrochloride 3,6 mg/ml
Natriumkloridi 0,9% 1937
Yhteensopiva
Injektioneste Daptomycin 6,3 mg/ml
Injektioneste Fluconazole 1,3 mg/ml
Natriumkloridi 0,9% 1937
Yhteensopiva
Injektioneste Daptomycin
Injektioneste Fluconazole
2271
Yhteensopiva
Injektioneste Daptomycin 19,2 mg/ml
Injektioneste Gentamicin sulfate 1,5 mg/ml
Natriumkloridi 0,9% 1937
Yhteensopiva
Injektioneste Daptomycin
Injektioneste Gentamicin sulfate
2271
Määrittelemätön yhteensopimattomuus yhteensopimaton
Injektioneste Daptomycin
Natriumkloridi 0,45% Glukoosi 5% 2271
Yhteensopiva
Injektioneste Daptomycin
Injektioneste Dopamine hydrochloride
2271
Yhteensopiva
Injektioneste Daptomycin 10 mg/ml
Injektioneste Doripenem 5 mg/ml
Glukoosi 5% 2262
Yhteensopiva
Injektioneste Daptomycin 10 mg/ml
Injektioneste Doripenem 5 mg/ml
Natriumkloridi 0,9% 2262
Välitön sameus yhteensopimaton
Injektioneste Daptomycin 20 mg/ml
Injektioneste Fosfomycin 30 mg/ml
Natriumkloridi 0,9% 4055
Yhteensopiva
Injektioneste Daptomycin 19,6 mg/ml
Injektioneste Heparin sodium 98 UI/ml
Natriumkloridi 0,9% 1937
Yhteensopiva
Injektioneste Daptomycin
Injektioneste Heparin sodium
2271
Yhteensopiva
Injektioneste Daptomycin 10 mg/ml
Injektioneste Isavuconazonium sulfate 1.5 mg/ml
Natriumkloridi 0,9% 3829
Yhteensopiva
Injektioneste Daptomycin 14,3 mg/ml
Injektioneste Levofloxacine 7,1 mg/ml
Natriumkloridi 0,9% 1937
Yhteensopiva
Injektioneste Daptomycin
Injektioneste Levofloxacine
2271
Yhteensopiva
Injektioneste Daptomycin 16,7 mg/ml
Injektioneste Lidocaine hydrochloride 3,3 mg/ml
Natriumkloridi 0,9% 1937
Yhteensopiva
Injektioneste Daptomycin
Injektioneste Lidocaine hydrochloride
2271
Välitön sameus yhteensopimaton
Injektioneste Daptomycin 20 mg/ml
Injektioneste Plazomicin sulfate 24 mg/ml
Natriumkloridi 0,9% 4145
Yhteensopiva
Injektioneste Daptomycin
Injektioneste Posaconazole
4380
Yhteensopiva
Injektioneste Daptomycin 5 mg/ml
Injektioneste Sodium bicarbonate 40 mg/ml
Ei mikään 3122
Sameus tunnissa yhteensopimaton
Injektioneste Daptomycin 20 mg/ml
Injektioneste Sulbactam/durlobactam 15/15 mg/ml
Natriumkloridi 0,9% 4801
Yhteensopiva
Injektioneste Daptomycin 10 mg/ml
Injektioneste Tedizolid phosphate 0.8 mg/ml
Natriumkloridi 0,9% 3827
Yhteensopiva
Injektioneste Daptomycin 21 mg/ml
Injektioneste Thiamine hydrochloride 0.2 mg/ml
Natriumkloridi 0,9% 4254
Kemiallinen epävakaus yhteensopimaton
Injektioneste Daptomycin
Glukoosi 10% 3439

  Mentions Légales