Последно актуализиране :
27/04/2026
Антиепилептик   Fosphenytoin sodium  
Инжекция/Инжекционен
Стабилност на разтвори Стабилност на смеси Фактори, повлияващи стабилността Съвместимост Път на въвеждане Библиография Pdf
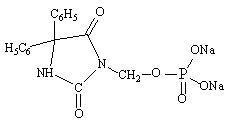
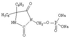
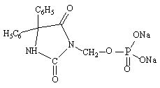
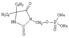
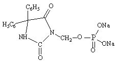
   Химична структура  

Търговско наименование   Търговско наименование     

Търговските имена са примерни и съставът на помощните вещества може да бъде различен в зависимост от държавата и лабораториите

Cerebryx Канада, Съединени Американски щати / САЩ
Fosphen Индия
Fostoin Япония
Pro - Epanutin Австрия, Великобритания, Дания, Ирландия, Исландия, Люксенбург, Норвегия, Финландия, Холандия, Швеция
Prodilantin Австрия, Гърция, Дания, Ирландия, Исландия, Полша, Съединени Американски щати / САЩ, Унгария, Финландия, Франция, Холандия, Япония
Sesquient Съединени Американски щати / САЩ
Съвместимост   Инжекция/Инжекционен   Съвместимост : Fosphenytoin sodium              
Този екран показва съвместимостта или несъвместимостта с, в този случай, вида на несъвместимостта (утаяване, промяна на цвета, модификация на емулсия и др.). Показаните тук съвместимости са предимно физически, като рядко се оценява химическата стабилност на всяка молекула. Оценката на тези смеси беше проучена, за да се разгледа възможността за приложение на Y-място на пациента. Тези данни не могат да се използват за предварително приготвяне на смеси в торбички или спринцовки. Този тип информация е достъпна на екрана "Стабилност в сместа".
Състав / молекула Разтворител Библиография
съвместим
Инжекция/Инжекционен Fosphenytoin sodium 50 mg/ml
Парентерално хранене (липидите безплатно) 3379
Валежи след 4 часа Несъвместим
Инжекция/Инжекционен Fosphenytoin sodium 20 mg/ml
Инжекция/Инжекционен Fenoldopam mesylate 80 µg/ml
Sodium chloride 0,9% 1803
Мътност за 4 часа Несъвместим
Инжекция/Инжекционен Fosphenytoin sodium 10 mg/ml
Парентерално хранене (с липиди) 4370
Незабавни валежи Несъвместим
Инжекция/Инжекционен Fosphenytoin sodium 10 mg/ml
Парентерално хранене (с липиди) 3967
съвместим
Инжекция/Инжекционен Fosphenytoin sodium 37,5 mg/ml
Инжекция/Инжекционен Imipenem-Cilastatin / Relebactam 5 mg/ml
Glucose 5% 4433
Незабавна мътност Несъвместим
Инжекция/Инжекционен Fosphenytoin sodium 25 mg/ml
Инжекция/Инжекционен Isavuconazonium sulfate 1.5 mg/ml
Glucose 5% 3829
съвместим
Инжекция/Инжекционен Fosphenytoin sodium
Glucose 5% 5074
съвместим
Инжекция/Инжекционен Fosphenytoin sodium 37,5 mg/ml
Инжекция/Инжекционен Imipenem-Cilastatin / Relebactam 5 mg/ml
Sodium chloride 0,9% 4433
Незабавна мътност Несъвместим
Инжекция/Инжекционен Fosphenytoin sodium 25 mg/ml
Инжекция/Инжекционен Isavuconazonium sulfate 1.5 mg/ml
Sodium chloride 0,9% 3829
съвместим
Инжекция/Инжекционен Fosphenytoin sodium
Sodium chloride 0,9% 5074
съвместим
Инжекция/Инжекционен Fosphenytoin sodium 15 mg/ml
Инжекция/Инжекционен Levetiracetam 5 mg/ml
Sodium chloride 0,9% 4569
съвместим
Инжекция/Инжекционен Fosphenytoin sodium 5 mg/ml
Инжекция/Инжекционен Lorazepam 1 mg/ml
Sodium chloride 0,9% 1419
Незабавни валежи Несъвместим
Инжекция/Инжекционен Fosphenytoin sodium 5 mg/ml
Инжекция/Инжекционен Midazolam hydrochloride 2 mg/ml
Sodium chloride 0,9% 1419
съвместим
Инжекция/Инжекционен Fosphenytoin sodium 5 mg/ml
Инжекция/Инжекционен Phenobarbital sodium 65 mg/ml
Sodium chloride 0,9% 1412
съвместим
Инжекция/Инжекционен Fosphenytoin sodium 25 mg/ml
Инжекция/Инжекционен Plazomicin sulfate 24 mg/ml
Sodium chloride 0,9% 4145
съвместим
Инжекция/Инжекционен Fosphenytoin sodium 25 mg/ml
Инжекция/Инжекционен Sulbactam/durlobactam 15/15 mg/ml
Sodium chloride 0,9% 4801
съвместим
Инжекция/Инжекционен Fosphenytoin sodium 25 mg/ml
Инжекция/Инжекционен Tedizolid phosphate 0.8 mg/ml
Sodium chloride 0,9% 3827
съвместим
Инжекция/Инжекционен Fosphenytoin sodium
Инжекция/Инжекционен Valproic acid 2 & 20 mg/ml
Sodium chloride 0,9% 4428
съвместим
Инжекция/Инжекционен Fosphenytoin sodium
Инжекция/Инжекционен Valproic acid 2 & 20 mg/ml
Glucose 5% 4428

  Mentions Légales