Laatste update :
27/01/2026
Anti-epilepticum   Fosphenytoin sodium  
injecteerbaar geneesmiddel
Stabiliteit in oplossing Stabiliteit in mengsels Factoren die de stabiliteit beïnvloeden Verenigbaarheden Toedieningswijze Literatuur pdf
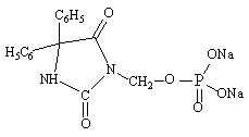
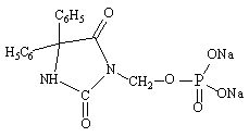
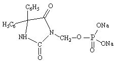
   Molecuulstructuur  

Merknamen in verschillende landen   Merknamen in verschillende landen     

Handelsnamen zijn slechts een indicatie; de samenstelling van hulpstoffen kan per land variëren afhankelijk van de fabrikant

Cerebryx Canada, USA
Fosphen Indië
Fostoin Japan
Pro - Epanutin Denemarken, Finland, Groot Britannië, Ierland, IJsland, Luxemburg, Nederland, Noorwegen, Oostenrijk, Zweden
Prodilantin Denemarken, Finland, Frankrijk, Griekenland, Hongarije, Ierland, IJsland, Japan, Nederland, Oostenrijk, Polen, USA
Sesquient USA
Verenigbaarheden   injecteerbaar geneesmiddel   Verenigbaarheden : Fosphenytoin sodium              
In dit scherm worden de verenigbaarheden en onverenigbaarheden weergegeven. In het geval van een onverenigbaarheid wordt ook het type (neerslag, kleurverandering, modificatie van een emulsie, etc) weergegeven. De weergegeven verenigbaarheden zijn meestal alleen op uiterlijk beoordeeld, er heeft zelden een chemische beoordeling van iedere component plaatsgevonden. De verenigbaarheden betreffen gelijktijdige toediening aan de patient middels de Y-site. De data kan niet gebruikt worden in de beoordeling van verenigbaarheden van componenten in infuuszakken of spuiten. Die informatie is te vinden onder ‘stabiliteit in mengsels’.
Stof Oplosmiddel Literatuur
Verenigbaar
injecteerbaar geneesmiddel Fosphenytoin sodium 50 mg/ml
Parenterale voeding (zonder vet) 3379
Neerslag na 4 uur Onverenigbaar
injecteerbaar geneesmiddel Fosphenytoin sodium 20 mg/ml
injecteerbaar geneesmiddel Fenoldopam mesylate 80 µg/ml
Natriumchloride 0,9% 1803
Troebelheid in 4 uur Onverenigbaar
injecteerbaar geneesmiddel Fosphenytoin sodium 10 mg/ml
Parenterale voeding (met lipiden) 4370
Onmiddellijke neerslag Onverenigbaar
injecteerbaar geneesmiddel Fosphenytoin sodium 10 mg/ml
Parenterale voeding (met lipiden) 3967
Verenigbaar
injecteerbaar geneesmiddel Fosphenytoin sodium 37,5 mg/ml
injecteerbaar geneesmiddel Imipenem-Cilastatin / Relebactam 5 mg/ml
Glucose 5% 4433
Onmiddellijke troebelheid Onverenigbaar
injecteerbaar geneesmiddel Fosphenytoin sodium 25 mg/ml
injecteerbaar geneesmiddel Isavuconazonium sulfate 1.5 mg/ml
Glucose 5% 3829
Verenigbaar
injecteerbaar geneesmiddel Fosphenytoin sodium
Glucose 5% 5074
Verenigbaar
injecteerbaar geneesmiddel Fosphenytoin sodium 37,5 mg/ml
injecteerbaar geneesmiddel Imipenem-Cilastatin / Relebactam 5 mg/ml
Natriumchloride 0,9% 4433
Onmiddellijke troebelheid Onverenigbaar
injecteerbaar geneesmiddel Fosphenytoin sodium 25 mg/ml
injecteerbaar geneesmiddel Isavuconazonium sulfate 1.5 mg/ml
Natriumchloride 0,9% 3829
Verenigbaar
injecteerbaar geneesmiddel Fosphenytoin sodium
Natriumchloride 0,9% 5074
Verenigbaar
injecteerbaar geneesmiddel Fosphenytoin sodium 15 mg/ml
injecteerbaar geneesmiddel Levetiracetam 5 mg/ml
Natriumchloride 0,9% 4569
Verenigbaar
injecteerbaar geneesmiddel Fosphenytoin sodium 5 mg/ml
injecteerbaar geneesmiddel Lorazepam 1 mg/ml
Natriumchloride 0,9% 1419
Onmiddellijke neerslag Onverenigbaar
injecteerbaar geneesmiddel Fosphenytoin sodium 5 mg/ml
injecteerbaar geneesmiddel Midazolam hydrochloride 2 mg/ml
Natriumchloride 0,9% 1419
Verenigbaar
injecteerbaar geneesmiddel Fosphenytoin sodium 5 mg/ml
injecteerbaar geneesmiddel Phenobarbital sodium 65 mg/ml
Natriumchloride 0,9% 1412
Verenigbaar
injecteerbaar geneesmiddel Fosphenytoin sodium 25 mg/ml
injecteerbaar geneesmiddel Plazomicin sulfate 24 mg/ml
Natriumchloride 0,9% 4145
Verenigbaar
injecteerbaar geneesmiddel Fosphenytoin sodium 25 mg/ml
injecteerbaar geneesmiddel Sulbactam/durlobactam 15/15 mg/ml
Natriumchloride 0,9% 4801
Verenigbaar
injecteerbaar geneesmiddel Fosphenytoin sodium 25 mg/ml
injecteerbaar geneesmiddel Tedizolid phosphate 0.8 mg/ml
Natriumchloride 0,9% 3827
Verenigbaar
injecteerbaar geneesmiddel Fosphenytoin sodium
injecteerbaar geneesmiddel Valproic acid 2 & 20 mg/ml
Natriumchloride 0,9% 4428
Verenigbaar
injecteerbaar geneesmiddel Fosphenytoin sodium
injecteerbaar geneesmiddel Valproic acid 2 & 20 mg/ml
Glucose 5% 4428

  Mentions Légales