最新更新 :
27/01/2026
抗てんかん薬   Fosphenytoin sodium  
注射薬
溶媒内の安定性 混合時の安定性 安定性に影響する因子 互換性 投与経路 引用文献 PDF
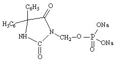
   化学構造  

商品名   商品名     

商品名、賦形剤は国、製薬会社ごとに異なることがあります

Cerebryx アメリカ, カナダ
Fosphen インド
Fostoin 日本
Pro - Epanutin アイスランド, アイルランド, イギリス, オランダ, オーストリア, スウェーデン, デンマーク, ノルウェー, フィンランド, ルクセンブルグ
Prodilantin アイスランド, アイルランド, アメリカ, オランダ, オーストリア, ギリシア, デンマーク, ハンガリー, フィンランド, フランス, ポーランド, 日本
Sesquient アメリカ
互換性   注射薬   互換性 : Fosphenytoin sodium              
This screen indicates the compatibilities or incompatibilities with, in this case, the type of incompatibility (precipitation, color change, modification of an emulsion, etc.). The compatibilities shown here are mostly physical only, with the chemical stability of each molecule rarely being assessed. The evaluation of these mixtures was studied to consider the possibility of Y-site administration to the patient. These data cannot be used for making mixtures in advance in bags or syringes. This type of information is available in the screen "Stability in mixture ».
化合物 溶媒 引用文献
対応
注射薬 Fosphenytoin sodium 50 mg/ml
非経口的栄養(二元混合物) 3379
4時間後の降水 非互換
注射薬 Fosphenytoin sodium 20 mg/ml
注射薬 Fenoldopam mesylate 80 µg/ml
NaCl 0,9% 1803
4時間で濁り 非互換
注射薬 Fosphenytoin sodium 10 mg/ml
非経口的栄養(脂肪含む) 4370
即時降水 非互換
注射薬 Fosphenytoin sodium 10 mg/ml
非経口的栄養(脂肪含む) 3967
対応
注射薬 Fosphenytoin sodium 37,5 mg/ml
注射薬 Imipenem-Cilastatin / Relebactam 5 mg/ml
グルコース5% 4433
すぐに濁り 非互換
注射薬 Fosphenytoin sodium 25 mg/ml
注射薬 Isavuconazonium sulfate 1.5 mg/ml
グルコース5% 3829
対応
注射薬 Fosphenytoin sodium
グルコース5% 5074
対応
注射薬 Fosphenytoin sodium 37,5 mg/ml
注射薬 Imipenem-Cilastatin / Relebactam 5 mg/ml
NaCl 0,9% 4433
すぐに濁り 非互換
注射薬 Fosphenytoin sodium 25 mg/ml
注射薬 Isavuconazonium sulfate 1.5 mg/ml
NaCl 0,9% 3829
対応
注射薬 Fosphenytoin sodium
NaCl 0,9% 5074
対応
注射薬 Fosphenytoin sodium 15 mg/ml
注射薬 Levetiracetam 5 mg/ml
NaCl 0,9% 4569
対応
注射薬 Fosphenytoin sodium 5 mg/ml
注射薬 Lorazepam 1 mg/ml
NaCl 0,9% 1419
即時降水 非互換
注射薬 Fosphenytoin sodium 5 mg/ml
注射薬 Midazolam hydrochloride 2 mg/ml
NaCl 0,9% 1419
対応
注射薬 Fosphenytoin sodium 5 mg/ml
注射薬 Phenobarbital sodium 65 mg/ml
NaCl 0,9% 1412
対応
注射薬 Fosphenytoin sodium 25 mg/ml
注射薬 Plazomicin sulfate 24 mg/ml
NaCl 0,9% 4145
対応
注射薬 Fosphenytoin sodium 25 mg/ml
注射薬 Sulbactam/durlobactam 15/15 mg/ml
NaCl 0,9% 4801
対応
注射薬 Fosphenytoin sodium 25 mg/ml
注射薬 Tedizolid phosphate 0.8 mg/ml
NaCl 0,9% 3827
対応
注射薬 Fosphenytoin sodium
注射薬 Valproic acid 2 & 20 mg/ml
NaCl 0,9% 4428
対応
注射薬 Fosphenytoin sodium
注射薬 Valproic acid 2 & 20 mg/ml
グルコース5% 4428

  Mentions Légales