Ostatnia aktualizacja :
18/03/2026
środek przeciwpadaczkowy   Fosphenytoin sodium  
Injekcje
Trwałość roztworów Trwałość w mieszaninie Czynnik wpływający na trwałość Zgodność Sposób podania Bibliografia pdf
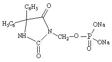
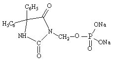
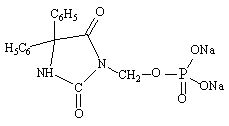
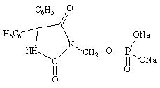
   Struktura chemiczna  

Nazwa handlowa   Nazwa handlowa     

Trade names are indicative and excipients composition can be different depending on the country and manufacturers

Cerebryx Kanada, Stany Zjednoczone Ameryki
Fosphen Indie
Fostoin Japonia
Pro - Epanutin Austria, Dania, Finlandia, Holandia, Irlandia, Islandia, Luksemburg, Norwegia, Szwecja, Wielka Brytania
Prodilantin Austria, Dania, Finlandia, Francja , Grecja, Holandia, Irlandia, Islandia, Japonia, Polska, Stany Zjednoczone Ameryki, Węgry
Sesquient Stany Zjednoczone Ameryki
Zgodność   Injekcje   Zgodność : Fosphenytoin sodium              
Ekran ten wskazuje na kompatybilności lub niezgodności z, w tym przypadku, rodzajem niezgodności (strącanie, zmiana koloru, modyfikacja emulsji, itp.). Przedstawione tutaj kompatybilności są głównie fizyczne, a stabilność chemiczna każdej cząsteczki jest rzadko oceniana. Ocenę tych mieszanin badano w celu rozważenia możliwości podania pacjentowi w miejscu Y. Dane te nie mogą być wykorzystywane do sporządzania mieszanin z wyprzedzeniem w workach lub strzykawkach. Tego typu informacje są dostępne na ekranie „Stabilność w mieszaninie”.
Związek Rozpuszczalnik Bibliografia
Zgodny
Injekcje Fosphenytoin sodium 50 mg/ml
Odżywianie pozajelitowe (mieszanina binarny) 3379
Opady po 4 godzinach Niekompatybilny
Injekcje Fosphenytoin sodium 20 mg/ml
Injekcje Fenoldopam mesylate 80 µg/ml
Chlorek sodu 0,9% 1803
Zmętnienie w 4 godziny Niekompatybilny
Injekcje Fosphenytoin sodium 10 mg/ml
Żywienie pozajelitowe (lipidami) 4370
Natychmiastowe opady Niekompatybilny
Injekcje Fosphenytoin sodium 10 mg/ml
Żywienie pozajelitowe (lipidami) 3967
Zgodny
Injekcje Fosphenytoin sodium 37,5 mg/ml
Injekcje Imipenem-Cilastatin / Relebactam 5 mg/ml
Glukoza 5% 4433
Natychmiastowe zmętnienie Niekompatybilny
Injekcje Fosphenytoin sodium 25 mg/ml
Injekcje Isavuconazonium sulfate 1.5 mg/ml
Glukoza 5% 3829
Zgodny
Injekcje Fosphenytoin sodium
Glukoza 5% 5074
Zgodny
Injekcje Fosphenytoin sodium 37,5 mg/ml
Injekcje Imipenem-Cilastatin / Relebactam 5 mg/ml
Chlorek sodu 0,9% 4433
Natychmiastowe zmętnienie Niekompatybilny
Injekcje Fosphenytoin sodium 25 mg/ml
Injekcje Isavuconazonium sulfate 1.5 mg/ml
Chlorek sodu 0,9% 3829
Zgodny
Injekcje Fosphenytoin sodium
Chlorek sodu 0,9% 5074
Zgodny
Injekcje Fosphenytoin sodium 15 mg/ml
Injekcje Levetiracetam 5 mg/ml
Chlorek sodu 0,9% 4569
Zgodny
Injekcje Fosphenytoin sodium 5 mg/ml
Injekcje Lorazepam 1 mg/ml
Chlorek sodu 0,9% 1419
Natychmiastowe opady Niekompatybilny
Injekcje Fosphenytoin sodium 5 mg/ml
Injekcje Midazolam hydrochloride 2 mg/ml
Chlorek sodu 0,9% 1419
Zgodny
Injekcje Fosphenytoin sodium 5 mg/ml
Injekcje Phenobarbital sodium 65 mg/ml
Chlorek sodu 0,9% 1412
Zgodny
Injekcje Fosphenytoin sodium 25 mg/ml
Injekcje Plazomicin sulfate 24 mg/ml
Chlorek sodu 0,9% 4145
Zgodny
Injekcje Fosphenytoin sodium 25 mg/ml
Injekcje Sulbactam/durlobactam 15/15 mg/ml
Chlorek sodu 0,9% 4801
Zgodny
Injekcje Fosphenytoin sodium 25 mg/ml
Injekcje Tedizolid phosphate 0.8 mg/ml
Chlorek sodu 0,9% 3827
Zgodny
Injekcje Fosphenytoin sodium
Injekcje Valproic acid 2 & 20 mg/ml
Chlorek sodu 0,9% 4428
Zgodny
Injekcje Fosphenytoin sodium
Injekcje Valproic acid 2 & 20 mg/ml
Glukoza 5% 4428

  Mentions Légales