Seneste opdatering :
27/01/2026
Antiepileptisk   Fosphenytoin sodium  
Injektion
Stabilitet i (vandige) opløsninger Stabilitet i blandinger Faktorer der påvirker stabiliteten Kompatibilitet Administrationsvej Bibliografi pdf
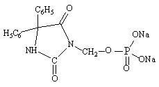
   Kemisk struktur  

Handelsnavn   Handelsnavn     

Handel navne er vejledende og hjælpestoffer sammensætning kan være forskellig afhængigt af landet og laboratorier

Cerebryx Canada, USA
Fosphen Indien
Fostoin Japan
Pro - Epanutin Danmark, Finland, Holland, Irland, Island, Luxemborg, Norge, Storbritanien, Sverige, Østrig
Prodilantin Danmark, Finland, Frankrig, Grækenland, Holland, Irland, Island, Japan, Polen, Ungarn, USA, Østrig
Sesquient USA
Kompatibilitet   Injektion   Kompatibilitet : Fosphenytoin sodium              
Denne skærm viser kompatibilitet eller uforenelighed med, i dette tilfælde typen af inkompatibilitet (udfældning, farveændring, ændring af en emulsion osv.). Kompatibiliteterne vist her er for det meste kun fysiske, idet den kemiske stabilitet af hvert molekyle sjældent vurderes. Evalueringen af disse blandinger blev undersøgt for at overveje muligheden for Y-sted-administration til patienten. Disse data kan ikke bruges til at fremstille blandinger på forhånd i poser eller sprøjter. Denne type information findes på skærmen "Stabilitet i blanding".
Molekyle Opløsningsmiddel Bibliografi
Kompatibel
Injektion Fosphenytoin sodium 50 mg/ml
Parenteral ernæring (lipid-fri) 3379
Nedbør efter 4 timer Uforenelig
Injektion Fosphenytoin sodium 20 mg/ml
Injektion Fenoldopam mesylate 80 µg/ml
0,9 % Natriumklorid 1803
Turbiditet på 4 timer Uforenelig
Injektion Fosphenytoin sodium 10 mg/ml
Parenteral ernæring (lipider) 4370
Umiddelbar nedbør Uforenelig
Injektion Fosphenytoin sodium 10 mg/ml
Parenteral ernæring (lipider) 3967
Kompatibel
Injektion Fosphenytoin sodium 37,5 mg/ml
Injektion Imipenem-Cilastatin / Relebactam 5 mg/ml
5 % Glukose 4433
Umiddelbar turbiditet Uforenelig
Injektion Fosphenytoin sodium 25 mg/ml
Injektion Isavuconazonium sulfate 1.5 mg/ml
5 % Glukose 3829
Kompatibel
Injektion Fosphenytoin sodium
5 % Glukose 5074
Kompatibel
Injektion Fosphenytoin sodium 37,5 mg/ml
Injektion Imipenem-Cilastatin / Relebactam 5 mg/ml
0,9 % Natriumklorid 4433
Umiddelbar turbiditet Uforenelig
Injektion Fosphenytoin sodium 25 mg/ml
Injektion Isavuconazonium sulfate 1.5 mg/ml
0,9 % Natriumklorid 3829
Kompatibel
Injektion Fosphenytoin sodium
0,9 % Natriumklorid 5074
Kompatibel
Injektion Fosphenytoin sodium 15 mg/ml
Injektion Levetiracetam 5 mg/ml
0,9 % Natriumklorid 4569
Kompatibel
Injektion Fosphenytoin sodium 5 mg/ml
Injektion Lorazepam 1 mg/ml
0,9 % Natriumklorid 1419
Umiddelbar nedbør Uforenelig
Injektion Fosphenytoin sodium 5 mg/ml
Injektion Midazolam hydrochloride 2 mg/ml
0,9 % Natriumklorid 1419
Kompatibel
Injektion Fosphenytoin sodium 5 mg/ml
Injektion Phenobarbital sodium 65 mg/ml
0,9 % Natriumklorid 1412
Kompatibel
Injektion Fosphenytoin sodium 25 mg/ml
Injektion Plazomicin sulfate 24 mg/ml
0,9 % Natriumklorid 4145
Kompatibel
Injektion Fosphenytoin sodium 25 mg/ml
Injektion Sulbactam/durlobactam 15/15 mg/ml
0,9 % Natriumklorid 4801
Kompatibel
Injektion Fosphenytoin sodium 25 mg/ml
Injektion Tedizolid phosphate 0.8 mg/ml
0,9 % Natriumklorid 3827
Kompatibel
Injektion Fosphenytoin sodium
Injektion Valproic acid 2 & 20 mg/ml
0,9 % Natriumklorid 4428
Kompatibel
Injektion Fosphenytoin sodium
Injektion Valproic acid 2 & 20 mg/ml
5 % Glukose 4428

  Mentions Légales