Son güncelleme :
27/01/2026
Antiepileptik   Fosphenytoin sodium  
Enjeksiyon
Çözeltilerin stabilitesi Karışımlardaki stabilitesi Stabiliteyi etkileyen faktörler Uyumluluk Uygulama yöntemi Kaynaklar pdf
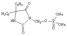
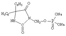
   Kimyasal yapı   

Ticari isim   Ticari isim     

Trade names are indicative and excipients composition can be different depending on the country and manufacturers

Cerebryx Amerika Birleşik Devletleri, Kanada
Fosphen Hindistan
Fostoin Japonya
Pro - Epanutin Avusturya, Büyük Britanya, Danimarka, Finlandiya, Hollanda, İrlanda, İsveç, İzlanda, Lüksemburg, Norveç
Prodilantin Amerika Birleşik Devletleri, Avusturya, Danimarka, Finlandiya, Fransa, Hollanda, İrlanda, İzlanda, Japonya, Macaristan, Polonya, Yunanistan
Sesquient Amerika Birleşik Devletleri
Uyumluluk   Enjeksiyon    Uyumluluk : Fosphenytoin sodium              
Bu ekran, bu durumda uyumsuzluk tipiyle (çökelme, renk değişimi, bir emülsiyonun modifikasyonu, vb.) Uyumlulukları veya uyumsuzlukları gösterir. Burada gösterilen uyumluluklar çoğunlukla yalnızca fizikseldir ve her molekülün kimyasal stabilitesi nadiren değerlendirilir. Bu karışımların değerlendirilmesi, hastaya Y bölgesi uygulama olasılığını göz önünde bulundurmak için çalışıldı. Bu veriler önceden torba veya şırıngalarda karışım yapmak için kullanılamaz. Bu tür bilgiler "Karışımda stabilite" ekranında mevcuttur.
Bileşik Çözücü Kaynaklar
Uyumlu
Enjeksiyon Fosphenytoin sodium 50 mg/ml
Parenteral beslenme (ikili karışım) 3379
4 saat sonra yağış uyumsuz
Enjeksiyon Fosphenytoin sodium 20 mg/ml
Enjeksiyon Fenoldopam mesylate 80 µg/ml
Sodyum klorür % 0,9 1803
4 saat içinde bulanıklık uyumsuz
Enjeksiyon Fosphenytoin sodium 10 mg/ml
Parenteral beslenme (Lipidler) 4370
Acil yağış uyumsuz
Enjeksiyon Fosphenytoin sodium 10 mg/ml
Parenteral beslenme (Lipidler) 3967
Uyumlu
Enjeksiyon Fosphenytoin sodium 37,5 mg/ml
Enjeksiyon Imipenem-Cilastatin / Relebactam 5 mg/ml
Glukoz %5 4433
Anında bulanıklık uyumsuz
Enjeksiyon Fosphenytoin sodium 25 mg/ml
Enjeksiyon Isavuconazonium sulfate 1.5 mg/ml
Glukoz %5 3829
Uyumlu
Enjeksiyon Fosphenytoin sodium
Glukoz %5 5074
Uyumlu
Enjeksiyon Fosphenytoin sodium 37,5 mg/ml
Enjeksiyon Imipenem-Cilastatin / Relebactam 5 mg/ml
Sodyum klorür % 0,9 4433
Anında bulanıklık uyumsuz
Enjeksiyon Fosphenytoin sodium 25 mg/ml
Enjeksiyon Isavuconazonium sulfate 1.5 mg/ml
Sodyum klorür % 0,9 3829
Uyumlu
Enjeksiyon Fosphenytoin sodium
Sodyum klorür % 0,9 5074
Uyumlu
Enjeksiyon Fosphenytoin sodium 15 mg/ml
Enjeksiyon Levetiracetam 5 mg/ml
Sodyum klorür % 0,9 4569
Uyumlu
Enjeksiyon Fosphenytoin sodium 5 mg/ml
Enjeksiyon Lorazepam 1 mg/ml
Sodyum klorür % 0,9 1419
Acil yağış uyumsuz
Enjeksiyon Fosphenytoin sodium 5 mg/ml
Enjeksiyon Midazolam hydrochloride 2 mg/ml
Sodyum klorür % 0,9 1419
Uyumlu
Enjeksiyon Fosphenytoin sodium 5 mg/ml
Enjeksiyon Phenobarbital sodium 65 mg/ml
Sodyum klorür % 0,9 1412
Uyumlu
Enjeksiyon Fosphenytoin sodium 25 mg/ml
Enjeksiyon Plazomicin sulfate 24 mg/ml
Sodyum klorür % 0,9 4145
Uyumlu
Enjeksiyon Fosphenytoin sodium 25 mg/ml
Enjeksiyon Sulbactam/durlobactam 15/15 mg/ml
Sodyum klorür % 0,9 4801
Uyumlu
Enjeksiyon Fosphenytoin sodium 25 mg/ml
Enjeksiyon Tedizolid phosphate 0.8 mg/ml
Sodyum klorür % 0,9 3827
Uyumlu
Enjeksiyon Fosphenytoin sodium
Enjeksiyon Valproic acid 2 & 20 mg/ml
Sodyum klorür % 0,9 4428
Uyumlu
Enjeksiyon Fosphenytoin sodium
Enjeksiyon Valproic acid 2 & 20 mg/ml
Glukoz %5 4428

  Mentions Légales