viimane versioon :
27/01/2026
antiepileptikum   Fosphenytoin sodium  
Süsteravim
Stabiilsus lahustes Stabiilsust mõjutavad tegurid stabiilsust mõjutavad faktorid Sobimatus Manustamis viis Viited pdf
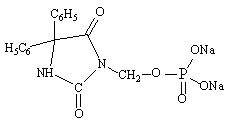
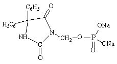
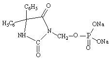
   keemiline struktuur  

Kaubanduslikud nimed erinevates maades   Kaubanduslikud nimed erinevates maades     

Preparaatide nimed on näitlikud ja abianete sisaldus võib erineda sõltuvalt riigist ja laborist

Cerebryx Ameerika ühendriigid, Kanada
Fosphen India
Fostoin Jaapan
Pro - Epanutin Austria, Holland, Iirimaa, Island, Luksemburg, Norra, Rootsi, Soome, Suurbritannia, Taani
Prodilantin Ameerika ühendriigid, Austria, Holland, Iirimaa, Island, Jaapan, Kreeka, Poola, Prantsusmaa, Soome, Taani, Ungari
Sesquient Ameerika ühendriigid
Sobimatus   Süsteravim   Sobimatus : Fosphenytoin sodium              
Sellel lehel kuvatakse sobimatusi ja sobimatuse tüüpi (sadenemine, värvuse muutus, emulsiooni modifitseerumine jne). Enamasti on siin lehel kuvatud füüsikalised sobimatused, kuna molekulide keemilist stabiilsust hinnatakse harva. Hinnatud on segude sobivust Y-liinis. Antud infot ei saa kasutada ravimite sobivuse hindamiseks juhul, kui ravimid on segatud süstaldes või infusioonikottides. See info on lehel « stabiilsus segudes ».
ingredient lahusti Viited
Ühilduv
Süsteravim Fosphenytoin sodium 50 mg/ml
Parenteraalse toitmise (lipiide tasuta) 3379
Sade 4 tunni pärast Sobimatu
Süsteravim Fosphenytoin sodium 20 mg/ml
Süsteravim Fenoldopam mesylate 80 µg/ml
naatriumkloriid 0.9% 1803
Hägusus 4 tunniga Sobimatu
Süsteravim Fosphenytoin sodium 10 mg/ml
Parenteraalse toitmise (lipiidide) 4370
Kohene sade Sobimatu
Süsteravim Fosphenytoin sodium 10 mg/ml
Parenteraalse toitmise (lipiidide) 3967
Ühilduv
Süsteravim Fosphenytoin sodium 37,5 mg/ml
Süsteravim Imipenem-Cilastatin / Relebactam 5 mg/ml
glükoos 5% 4433
Kohene hägusus Sobimatu
Süsteravim Fosphenytoin sodium 25 mg/ml
Süsteravim Isavuconazonium sulfate 1.5 mg/ml
glükoos 5% 3829
Ühilduv
Süsteravim Fosphenytoin sodium
glükoos 5% 5074
Ühilduv
Süsteravim Fosphenytoin sodium 37,5 mg/ml
Süsteravim Imipenem-Cilastatin / Relebactam 5 mg/ml
naatriumkloriid 0.9% 4433
Kohene hägusus Sobimatu
Süsteravim Fosphenytoin sodium 25 mg/ml
Süsteravim Isavuconazonium sulfate 1.5 mg/ml
naatriumkloriid 0.9% 3829
Ühilduv
Süsteravim Fosphenytoin sodium
naatriumkloriid 0.9% 5074
Ühilduv
Süsteravim Fosphenytoin sodium 15 mg/ml
Süsteravim Levetiracetam 5 mg/ml
naatriumkloriid 0.9% 4569
Ühilduv
Süsteravim Fosphenytoin sodium 5 mg/ml
Süsteravim Lorazepam 1 mg/ml
naatriumkloriid 0.9% 1419
Kohene sade Sobimatu
Süsteravim Fosphenytoin sodium 5 mg/ml
Süsteravim Midazolam hydrochloride 2 mg/ml
naatriumkloriid 0.9% 1419
Ühilduv
Süsteravim Fosphenytoin sodium 5 mg/ml
Süsteravim Phenobarbital sodium 65 mg/ml
naatriumkloriid 0.9% 1412
Ühilduv
Süsteravim Fosphenytoin sodium 25 mg/ml
Süsteravim Plazomicin sulfate 24 mg/ml
naatriumkloriid 0.9% 4145
Ühilduv
Süsteravim Fosphenytoin sodium 25 mg/ml
Süsteravim Sulbactam/durlobactam 15/15 mg/ml
naatriumkloriid 0.9% 4801
Ühilduv
Süsteravim Fosphenytoin sodium 25 mg/ml
Süsteravim Tedizolid phosphate 0.8 mg/ml
naatriumkloriid 0.9% 3827
Ühilduv
Süsteravim Fosphenytoin sodium
Süsteravim Valproic acid 2 & 20 mg/ml
naatriumkloriid 0.9% 4428
Ühilduv
Süsteravim Fosphenytoin sodium
Süsteravim Valproic acid 2 & 20 mg/ml
glükoos 5% 4428

  Mentions Légales