Poslední aktualizace :
27/01/2026
Antiepileptikum   Fosphenytoin sodium  
injekce
Stabilita roztoků Stabilita směsí Faktory ovlivňující stabilitu Kompatibilita Způsoby aplikace Odkazy pdf
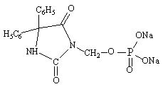
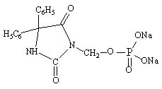
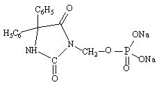
   Chemický vzorec  

Obchodní název   Obchodní název     

Trade names are indicative and excipients composition can be different depending on the country and manufacturers

Cerebryx Kanada, USA
Fosphen Indie
Fostoin Japonsko
Pro - Epanutin Dánsko, Finsko, Irsko, Island, Lucembursko, Nizozemsko, Norsko, Rakousko, Švédsko, Velká Británie
Prodilantin Dánsko, Finsko, Francie, Irsko, Island, Japonsko, MaÔarsko, Nizozemsko, Polsko, Rakousko, USA, ÿecko
Sesquient USA
Kompatibilita   injekce   Kompatibilita : Fosphenytoin sodium              
Tato obrazovka ukazuje kompatibilitu nebo nekompatibilitu s, v tomto případě, typem nekompatibility (srážení, změna barvy, modifikace emulze atd.). Zde uvedené kompatibility jsou většinou pouze fyzikální, přičemž chemická stabilita každé molekuly je zřídka hodnocena. Hodnocení těchto směsí bylo studováno, aby se zvážila možnost podání Y-místa pacientovi. Tyto údaje nelze použít k přípravě směsí předem v pytlích nebo stříkačkách. Tento typ informací je k dispozici na obrazovce „Stabilita ve směsi“.
SlouËenina RozpouötÏdlo Odkazy
Kompatibilní
injekce Fosphenytoin sodium 50 mg/ml
Parenterální výživa (binární směs) 3379
Srážky po 4 hodinách Nekompatibilní
injekce Fosphenytoin sodium 20 mg/ml
injekce Fenoldopam mesylate 80 µg/ml
Chlorid sodný 0,9% 1803
Zákal za 4 hodiny Nekompatibilní
injekce Fosphenytoin sodium 10 mg/ml
Parenterální výživa (lipidy) 4370
Okamžité srážení Nekompatibilní
injekce Fosphenytoin sodium 10 mg/ml
Parenterální výživa (lipidy) 3967
Kompatibilní
injekce Fosphenytoin sodium 37,5 mg/ml
injekce Imipenem-Cilastatin / Relebactam 5 mg/ml
GlukÛza 5% 4433
Okamžitá zákal Nekompatibilní
injekce Fosphenytoin sodium 25 mg/ml
injekce Isavuconazonium sulfate 1.5 mg/ml
GlukÛza 5% 3829
Kompatibilní
injekce Fosphenytoin sodium
GlukÛza 5% 5074
Kompatibilní
injekce Fosphenytoin sodium 37,5 mg/ml
injekce Imipenem-Cilastatin / Relebactam 5 mg/ml
Chlorid sodný 0,9% 4433
Okamžitá zákal Nekompatibilní
injekce Fosphenytoin sodium 25 mg/ml
injekce Isavuconazonium sulfate 1.5 mg/ml
Chlorid sodný 0,9% 3829
Kompatibilní
injekce Fosphenytoin sodium
Chlorid sodný 0,9% 5074
Kompatibilní
injekce Fosphenytoin sodium 15 mg/ml
injekce Levetiracetam 5 mg/ml
Chlorid sodný 0,9% 4569
Kompatibilní
injekce Fosphenytoin sodium 5 mg/ml
injekce Lorazepam 1 mg/ml
Chlorid sodný 0,9% 1419
Okamžité srážení Nekompatibilní
injekce Fosphenytoin sodium 5 mg/ml
injekce Midazolam hydrochloride 2 mg/ml
Chlorid sodný 0,9% 1419
Kompatibilní
injekce Fosphenytoin sodium 5 mg/ml
injekce Phenobarbital sodium 65 mg/ml
Chlorid sodný 0,9% 1412
Kompatibilní
injekce Fosphenytoin sodium 25 mg/ml
injekce Plazomicin sulfate 24 mg/ml
Chlorid sodný 0,9% 4145
Kompatibilní
injekce Fosphenytoin sodium 25 mg/ml
injekce Sulbactam/durlobactam 15/15 mg/ml
Chlorid sodný 0,9% 4801
Kompatibilní
injekce Fosphenytoin sodium 25 mg/ml
injekce Tedizolid phosphate 0.8 mg/ml
Chlorid sodný 0,9% 3827
Kompatibilní
injekce Fosphenytoin sodium
injekce Valproic acid 2 & 20 mg/ml
Chlorid sodný 0,9% 4428
Kompatibilní
injekce Fosphenytoin sodium
injekce Valproic acid 2 & 20 mg/ml
GlukÛza 5% 4428

  Mentions Légales