Utolsó frissítés :
27/01/2026
Antiepileptikum   Fosphenytoin sodium  
Injekció
Az oldatok stabilitása A keverékek stabilitása Stabilitást befolyásoló tényezők Kompatibilitás Az alkalmazás módja Irodalom pdf
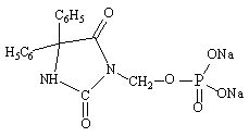
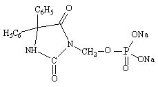
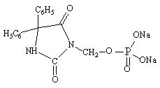
   Kémiai szerkezet   

Kereskedelmi név   Kereskedelmi név     

A kereskedelmi név meghatározó jelentőségű: a készítmények összetétele országonként, előállítóként eltérő lehet

Cerebryx Amerikai Egyesült Államok, Kanada
Fosphen India
Fostoin Japán
Pro - Epanutin Ausztria, Dánia, Finnország, Hollandia, Írország, Izland, Luxemburg, Nagy-Britannia, Norvégia, Svédország
Prodilantin Amerikai Egyesült Államok, Ausztria, Dánia, Finnország, Franciaország, Görögország, Hollandia, Írország, Izland, Japán, Lengyelország, Magyarország
Sesquient Amerikai Egyesült Államok
Kompatibilitás   Injekció   Kompatibilitás : Fosphenytoin sodium              
Ovdje su prikazane kompatibilnosti ili nekompatibilnosti s tipom nekompatibilnosti (taloženje, promjena boje, modifikacija emulzije itd.) u ovom slučaju. Kompatibilnosti prikazane ovdje najčešće su fizikalne dok se kemijska stabilnost molekule rijetko procjenjuje. Procjena ovih mikstura je proučavana kako bi se razmotrila mogućnost primjene lijeka putem Y-mjesta. Ovi se podaci ne smiju koristiti za pripremu mikstura unaprijed u vrećicama ili štrcaljkama. Ova vrsta informacije se može pronaći u odjeljku « stabilnost u miksturama ».
Vegyület Oldószer Irodalom
Összeegyeztethető
Injekció Fosphenytoin sodium 50 mg/ml
Parenterális táplálás (lipid-mentes) 3379
Csapadék 4 óra után Összeegyeztethetetlen
Injekció Fosphenytoin sodium 20 mg/ml
Injekció Fenoldopam mesylate 80 µg/ml
0,9% nátrium-klorid 1803
Zavarosság 4 óra alatt Összeegyeztethetetlen
Injekció Fosphenytoin sodium 10 mg/ml
Parenterális táplálás (lipid) 4370
Azonnali csapadék Összeegyeztethetetlen
Injekció Fosphenytoin sodium 10 mg/ml
Parenterális táplálás (lipid) 3967
Összeegyeztethető
Injekció Fosphenytoin sodium 37,5 mg/ml
Injekció Imipenem-Cilastatin / Relebactam 5 mg/ml
5% glükóz 4433
Azonnali zavarosság Összeegyeztethetetlen
Injekció Fosphenytoin sodium 25 mg/ml
Injekció Isavuconazonium sulfate 1.5 mg/ml
5% glükóz 3829
Összeegyeztethető
Injekció Fosphenytoin sodium
5% glükóz 5074
Összeegyeztethető
Injekció Fosphenytoin sodium 37,5 mg/ml
Injekció Imipenem-Cilastatin / Relebactam 5 mg/ml
0,9% nátrium-klorid 4433
Azonnali zavarosság Összeegyeztethetetlen
Injekció Fosphenytoin sodium 25 mg/ml
Injekció Isavuconazonium sulfate 1.5 mg/ml
0,9% nátrium-klorid 3829
Összeegyeztethető
Injekció Fosphenytoin sodium
0,9% nátrium-klorid 5074
Összeegyeztethető
Injekció Fosphenytoin sodium 15 mg/ml
Injekció Levetiracetam 5 mg/ml
0,9% nátrium-klorid 4569
Összeegyeztethető
Injekció Fosphenytoin sodium 5 mg/ml
Injekció Lorazepam 1 mg/ml
0,9% nátrium-klorid 1419
Azonnali csapadék Összeegyeztethetetlen
Injekció Fosphenytoin sodium 5 mg/ml
Injekció Midazolam hydrochloride 2 mg/ml
0,9% nátrium-klorid 1419
Összeegyeztethető
Injekció Fosphenytoin sodium 5 mg/ml
Injekció Phenobarbital sodium 65 mg/ml
0,9% nátrium-klorid 1412
Összeegyeztethető
Injekció Fosphenytoin sodium 25 mg/ml
Injekció Plazomicin sulfate 24 mg/ml
0,9% nátrium-klorid 4145
Összeegyeztethető
Injekció Fosphenytoin sodium 25 mg/ml
Injekció Sulbactam/durlobactam 15/15 mg/ml
0,9% nátrium-klorid 4801
Összeegyeztethető
Injekció Fosphenytoin sodium 25 mg/ml
Injekció Tedizolid phosphate 0.8 mg/ml
0,9% nátrium-klorid 3827
Összeegyeztethető
Injekció Fosphenytoin sodium
Injekció Valproic acid 2 & 20 mg/ml
0,9% nátrium-klorid 4428
Összeegyeztethető
Injekció Fosphenytoin sodium
Injekció Valproic acid 2 & 20 mg/ml
5% glükóz 4428

  Mentions Légales