Letztes “update” :
27/01/2026
Antiepileptikum   Fosphenytoin sodium  
Injektion
Stabilität der Lösung Gemengestabilität Stabilitätbeeinflussende Faktoren Kompatibilitäten Applikationsart Literaturverzeichnis pdf
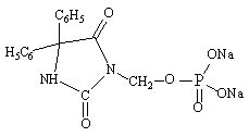
   Chemische Struktur  

Handelsmarke   Handelsmarke     

Handelsnamen sind als beispielhaft anzusehen. Sonstige Bestandteile können je nach Hersteller oder Land verschieden sein

Cerebryx Kanada, Vereinigte Staaten von Amerika
Fosphen Indien
Fostoin Japan
Pro - Epanutin Dänemark, Finnland, Großbritannien, Irland, Island, Luxemburg, Niederlande, Norwegen, Österreich, Schweden
Prodilantin Dänemark, Finnland, Frankreich, Griechenland, Irland, Island, Japan, Niederlande, Österreich, Polen, Ungarn, Vereinigte Staaten von Amerika
Sesquient Vereinigte Staaten von Amerika
Kompatibilitäten   Injektion   Kompatibilitäten : Fosphenytoin sodium              
Dieser Bildschirm zeigt die Kompatibilitäten oder Inkompatibilitäten mit der Art der Inkompatibilität (hier: Ausfällung, Farbänderung, Modifikation einer Emulsion usw.) an. Die hier gezeigten Kompatibilitäten sind meist nur physikalisch, wobei die chemische Stabilität jedes Moleküls selten bewertet wird. Die Bewertung dieser Gemische wurde untersucht, um die Möglichkeit einer Verabreichung über eine Y-Verbindung zu berücksichtigen. Diese Daten können daher nicht zur Herstellung von Mischungen im Voraus in Beuteln oder Spritzen verwendet werden. Sie finden diese Informationen auf dem Bildschirm "Stabilität in Mischung».
Molekül Lösungsmittel Literaturverzeichnis
kompatibel
Injektion Fosphenytoin sodium 50 mg/ml
Parenterale Ernährung (Lipid-frei) 3379
Niederschlag nach 4 Stunden nicht kompatibel
Injektion Fosphenytoin sodium 20 mg/ml
Injektion Fenoldopam mesylate 80 µg/ml
0,9% Natriumchlorid 1803
Trübung in 4 Stunden nicht kompatibel
Injektion Fosphenytoin sodium 10 mg/ml
Parenterale Ernährung (mit Lipiden) 4370
Sofortiger Niederschlag nicht kompatibel
Injektion Fosphenytoin sodium 10 mg/ml
Parenterale Ernährung (mit Lipiden) 3967
kompatibel
Injektion Fosphenytoin sodium 37,5 mg/ml
Injektion Imipenem-Cilastatin / Relebactam 5 mg/ml
5% Glucose 4433
Sofortige Trübung nicht kompatibel
Injektion Fosphenytoin sodium 25 mg/ml
Injektion Isavuconazonium sulfate 1.5 mg/ml
5% Glucose 3829
kompatibel
Injektion Fosphenytoin sodium
5% Glucose 5074
kompatibel
Injektion Fosphenytoin sodium 37,5 mg/ml
Injektion Imipenem-Cilastatin / Relebactam 5 mg/ml
0,9% Natriumchlorid 4433
Sofortige Trübung nicht kompatibel
Injektion Fosphenytoin sodium 25 mg/ml
Injektion Isavuconazonium sulfate 1.5 mg/ml
0,9% Natriumchlorid 3829
kompatibel
Injektion Fosphenytoin sodium
0,9% Natriumchlorid 5074
kompatibel
Injektion Fosphenytoin sodium 15 mg/ml
Injektion Levetiracetam 5 mg/ml
0,9% Natriumchlorid 4569
kompatibel
Injektion Fosphenytoin sodium 5 mg/ml
Injektion Lorazepam 1 mg/ml
0,9% Natriumchlorid 1419
Sofortiger Niederschlag nicht kompatibel
Injektion Fosphenytoin sodium 5 mg/ml
Injektion Midazolam hydrochloride 2 mg/ml
0,9% Natriumchlorid 1419
kompatibel
Injektion Fosphenytoin sodium 5 mg/ml
Injektion Phenobarbital sodium 65 mg/ml
0,9% Natriumchlorid 1412
kompatibel
Injektion Fosphenytoin sodium 25 mg/ml
Injektion Plazomicin sulfate 24 mg/ml
0,9% Natriumchlorid 4145
kompatibel
Injektion Fosphenytoin sodium 25 mg/ml
Injektion Sulbactam/durlobactam 15/15 mg/ml
0,9% Natriumchlorid 4801
kompatibel
Injektion Fosphenytoin sodium 25 mg/ml
Injektion Tedizolid phosphate 0.8 mg/ml
0,9% Natriumchlorid 3827
kompatibel
Injektion Fosphenytoin sodium
Injektion Valproic acid 2 & 20 mg/ml
0,9% Natriumchlorid 4428
kompatibel
Injektion Fosphenytoin sodium
Injektion Valproic acid 2 & 20 mg/ml
5% Glucose 4428

  Mentions Légales