Última actualização :
27/01/2026
Antiepiléptico   Fosphenytoin sodium  
injetável
Estabilidade em soluções simples Estabilidade em misturas Factores que afectam a sua estabilidade Compatibilidade Método de administração Bibliografía pdf
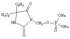
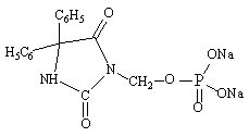
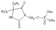
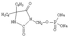
   estrutura química  

Nomes comerciais nos diversos países   Nomes comerciais nos diversos países     

OS NOMES COMERCIAIS SÃO INDICATIVOS E OS EXCIPIENTES DA FORMULAÇÃO PODEM SER DIFERENTES CONFORME O PAÍS E FABRICANTE.

Cerebryx Canadá, Estados Unidos de América
Fosphen Índia
Fostoin Japón
Pro - Epanutin Austria, Dinamarca, Finlandia, Gran-bretanha, Irlanda, Islandia, Luxemburgo, Noruega, Países Baixos, Suècia
Prodilantin Austria, Dinamarca, Estados Unidos de América, Finlandia, França, Grècia, Hungria, Irlanda, Islandia, Japón, Países Baixos, Polonia
Sesquient Estados Unidos de América
Compatibilidade   injetável   Compatibilidade : Fosphenytoin sodium              
Este ecrã indica as compatibilidades ou incompatibilidades com, neste caso, o tipo de incompatibilidade (precipitação, mudança de cor, modificação de uma emulsão, etc.). As compatibilidades mostradas aqui são principalmente físicas, com a estabilidade química de cada molécula raramente sendo avaliada. A avaliação dessas misturas foi estudada para considerar a possibilidade de administração do local Y ao paciente. Estes dados não podem ser usados para fazer misturas antecipadamente em sacos ou seringas. Este tipo de informação está disponível na tela “Estabilidade na mistura».
molécula Solvente Bibliografia
Compatível
injetável Fosphenytoin sodium 50 mg/ml
Nutrição parenterica (mistura binária) 3379
Precipitação após 4 horas Incompatível
injetável Fosphenytoin sodium 20 mg/ml
injetável Fenoldopam mesylate 80 µg/ml
cloreto de sódio 0,9% 1803
Turbidez em 4 horas Incompatível
injetável Fosphenytoin sodium 10 mg/ml
Nutrição parenteral (com lípidos) 4370
Precipitação imediata Incompatível
injetável Fosphenytoin sodium 10 mg/ml
Nutrição parenteral (com lípidos) 3967
Compatível
injetável Fosphenytoin sodium 37,5 mg/ml
injetável Imipenem-Cilastatin / Relebactam 5 mg/ml
Glucose 5% 4433
Turvação imediata Incompatível
injetável Fosphenytoin sodium 25 mg/ml
injetável Isavuconazonium sulfate 1.5 mg/ml
Glucose 5% 3829
Compatível
injetável Fosphenytoin sodium
Glucose 5% 5074
Compatível
injetável Fosphenytoin sodium 37,5 mg/ml
injetável Imipenem-Cilastatin / Relebactam 5 mg/ml
cloreto de sódio 0,9% 4433
Turvação imediata Incompatível
injetável Fosphenytoin sodium 25 mg/ml
injetável Isavuconazonium sulfate 1.5 mg/ml
cloreto de sódio 0,9% 3829
Compatível
injetável Fosphenytoin sodium
cloreto de sódio 0,9% 5074
Compatível
injetável Fosphenytoin sodium 15 mg/ml
injetável Levetiracetam 5 mg/ml
cloreto de sódio 0,9% 4569
Compatível
injetável Fosphenytoin sodium 5 mg/ml
injetável Lorazepam 1 mg/ml
cloreto de sódio 0,9% 1419
Precipitação imediata Incompatível
injetável Fosphenytoin sodium 5 mg/ml
injetável Midazolam hydrochloride 2 mg/ml
cloreto de sódio 0,9% 1419
Compatível
injetável Fosphenytoin sodium 5 mg/ml
injetável Phenobarbital sodium 65 mg/ml
cloreto de sódio 0,9% 1412
Compatível
injetável Fosphenytoin sodium 25 mg/ml
injetável Plazomicin sulfate 24 mg/ml
cloreto de sódio 0,9% 4145
Compatível
injetável Fosphenytoin sodium 25 mg/ml
injetável Sulbactam/durlobactam 15/15 mg/ml
cloreto de sódio 0,9% 4801
Compatível
injetável Fosphenytoin sodium 25 mg/ml
injetável Tedizolid phosphate 0.8 mg/ml
cloreto de sódio 0,9% 3827
Compatível
injetável Fosphenytoin sodium
injetável Valproic acid 2 & 20 mg/ml
cloreto de sódio 0,9% 4428
Compatível
injetável Fosphenytoin sodium
injetável Valproic acid 2 & 20 mg/ml
Glucose 5% 4428

  Mentions Légales