Cập nhật lần cuối :
27/01/2026
Thuốc chống động kinh   Fosphenytoin sodium  
Dạng tiêm
Tính ổn định của các dung dịch Độ ổn định khi trộn lẫn Những yếu tố ảnh hưởng đến độ ổn định Khả năng tương thích Đường dùng Tài liệu tham khảo Pdf
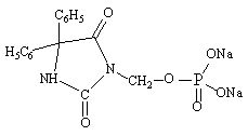
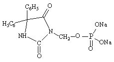
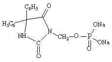
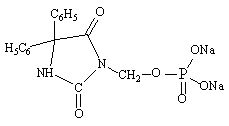
   Cấu trúc hóa học  

Tên thương mại   Tên thương mại     

Các tên thương mại được cung cấp và thành phần tá dược có thể khác nhau giữa các quốc gia và các hãng dược

Cerebryx Canada, Hoa Kỳ
Fosphen Ấn Độ
Fostoin Nhật
Pro - Epanutin Anh, Áo, Hà Lan, Iceland, Ireland, Luxembourg, Na Uy, Phần Lan, Thụy Điển, Đan Mạch
Prodilantin Áo, Ba Lan, Hà Lan, Hoa Kỳ, Hungary, Hy Lạp, Iceland, Ireland, Nhật, Phần Lan, Pháp, Đan Mạch
Sesquient Hoa Kỳ
Khả năng tương thích   Dạng tiêm   Khả năng tương thích : Fosphenytoin sodium              
Màn hình này cho biết khả năng tương thích hoặc không tương thích, trong trường hợp này là loại không tương thích (kết tủa, thay đổi màu sắc, sửa đổi nhũ tương, v.v.). Sự tương hợp được chỉ ra ở đây chủ yếu chỉ là vật lý, với độ ổn định hóa học của mỗi phân tử hiếm khi được đánh giá. Việc đánh giá các hỗn hợp này được nghiên cứu để xem xét khả năng sử dụng vị trí Y cho bệnh nhân. Những dữ liệu này không thể được sử dụng để tạo hỗn hợp trước trong túi hoặc ống tiêm. Loại thông tin này có sẵn trong màn hình "Độ ổn định trong hỗn hợp».
Phân tử Dung môi Mục lục
Tương thích
Dạng tiêm Fosphenytoin sodium 50 mg/ml
Dinh dưỡng đường tĩnh mạch (hỗn hợp 2 thành phần) 3379
Lượng mưa sau 4 giờ Không tương thích
Dạng tiêm Fosphenytoin sodium 20 mg/ml
Dạng tiêm Fenoldopam mesylate 80 µg/ml
NaCl 0,9% 1803
Độ đục trong 4 giờ Không tương thích
Dạng tiêm Fosphenytoin sodium 10 mg/ml
Dinh dưỡng đường tĩnh mạch (có lipids) 4370
Lượng mưa ngay lập tức Không tương thích
Dạng tiêm Fosphenytoin sodium 10 mg/ml
Dinh dưỡng đường tĩnh mạch (có lipids) 3967
Tương thích
Dạng tiêm Fosphenytoin sodium 37,5 mg/ml
Dạng tiêm Imipenem-Cilastatin / Relebactam 5 mg/ml
Glucose 5% 4433
Độ đục ngay lập tức Không tương thích
Dạng tiêm Fosphenytoin sodium 25 mg/ml
Dạng tiêm Isavuconazonium sulfate 1.5 mg/ml
Glucose 5% 3829
Tương thích
Dạng tiêm Fosphenytoin sodium
Glucose 5% 5074
Tương thích
Dạng tiêm Fosphenytoin sodium 37,5 mg/ml
Dạng tiêm Imipenem-Cilastatin / Relebactam 5 mg/ml
NaCl 0,9% 4433
Độ đục ngay lập tức Không tương thích
Dạng tiêm Fosphenytoin sodium 25 mg/ml
Dạng tiêm Isavuconazonium sulfate 1.5 mg/ml
NaCl 0,9% 3829
Tương thích
Dạng tiêm Fosphenytoin sodium
NaCl 0,9% 5074
Tương thích
Dạng tiêm Fosphenytoin sodium 15 mg/ml
Dạng tiêm Levetiracetam 5 mg/ml
NaCl 0,9% 4569
Tương thích
Dạng tiêm Fosphenytoin sodium 5 mg/ml
Dạng tiêm Lorazepam 1 mg/ml
NaCl 0,9% 1419
Lượng mưa ngay lập tức Không tương thích
Dạng tiêm Fosphenytoin sodium 5 mg/ml
Dạng tiêm Midazolam hydrochloride 2 mg/ml
NaCl 0,9% 1419
Tương thích
Dạng tiêm Fosphenytoin sodium 5 mg/ml
Dạng tiêm Phenobarbital sodium 65 mg/ml
NaCl 0,9% 1412
Tương thích
Dạng tiêm Fosphenytoin sodium 25 mg/ml
Dạng tiêm Plazomicin sulfate 24 mg/ml
NaCl 0,9% 4145
Tương thích
Dạng tiêm Fosphenytoin sodium 25 mg/ml
Dạng tiêm Sulbactam/durlobactam 15/15 mg/ml
NaCl 0,9% 4801
Tương thích
Dạng tiêm Fosphenytoin sodium 25 mg/ml
Dạng tiêm Tedizolid phosphate 0.8 mg/ml
NaCl 0,9% 3827
Tương thích
Dạng tiêm Fosphenytoin sodium
Dạng tiêm Valproic acid 2 & 20 mg/ml
NaCl 0,9% 4428
Tương thích
Dạng tiêm Fosphenytoin sodium
Dạng tiêm Valproic acid 2 & 20 mg/ml
Glucose 5% 4428

  Mentions Légales