zadnja posodobitev :
27/01/2026
Antiepileptik   Fosphenytoin sodium  
Brizgalka
Stabilnost raztopine Stabilnost mešanice Faktorji, ki vplivajo na stabilnost Kompatibilnost način aplikacije Viri pdf
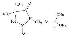
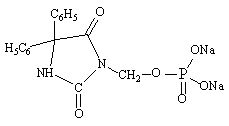
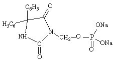
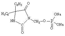
   Kemična formula  

Lastniško ime   Lastniško ime     

Sestava pomožnih snovi je med paralelami lahko različna

Cerebryx Kanada, Združene države Amerike
Fosphen Indija
Fostoin Japonska
Pro - Epanutin Avstrija, Danska, Finska, Irska, Islandija, Luksemburg, Nizozemska, Norveška, Švedska, Velika Britanija
Prodilantin Avstrija, Danska, Finska, Francija, Grčija, Irska, Islandija, Japonska, Madžarska, Nizozemska, Poljska, Združene države Amerike
Sesquient Združene države Amerike
Kompatibilnost   Brizgalka   Kompatibilnost : Fosphenytoin sodium              
Ta zaslon prikazuje združljivost ali nezdružljivost s, v tem primeru, vrsto nezdružljivosti (padavine, sprememba barve, sprememba emulzije itd.). Tu prikazane združljivosti so večinoma samo fizične, pri čemer se kemijska stabilnost vsake molekule redko ocenjuje. Vrednotenje teh zmesi so preučevali, da bi preučili možnost pacientovega dajanja na mestu Y. Teh podatkov ni mogoče uporabiti za pripravo mešanic v vrečkah ali brizgah. Ta vrsta informacij je na voljo na zaslonu "Obstojnost v mešanici".
Sestava Topilo Viri
Združljivo
Brizgalka Fosphenytoin sodium 50 mg/ml
Parenteralna prehrana (binarno zmes) 3379
Padavine po 4 urah Nezdružljivo
Brizgalka Fosphenytoin sodium 20 mg/ml
Brizgalka Fenoldopam mesylate 80 µg/ml
Natrijev klorid 0,9% 1803
Motnost v 4 urah Nezdružljivo
Brizgalka Fosphenytoin sodium 10 mg/ml
Parenteralna prehrana (z lipidi) 4370
Takoj padavine Nezdružljivo
Brizgalka Fosphenytoin sodium 10 mg/ml
Parenteralna prehrana (z lipidi) 3967
Združljivo
Brizgalka Fosphenytoin sodium 37,5 mg/ml
Brizgalka Imipenem-Cilastatin / Relebactam 5 mg/ml
Glukoza 5% 4433
Takojšnja motnost Nezdružljivo
Brizgalka Fosphenytoin sodium 25 mg/ml
Brizgalka Isavuconazonium sulfate 1.5 mg/ml
Glukoza 5% 3829
Združljivo
Brizgalka Fosphenytoin sodium
Glukoza 5% 5074
Združljivo
Brizgalka Fosphenytoin sodium 37,5 mg/ml
Brizgalka Imipenem-Cilastatin / Relebactam 5 mg/ml
Natrijev klorid 0,9% 4433
Takojšnja motnost Nezdružljivo
Brizgalka Fosphenytoin sodium 25 mg/ml
Brizgalka Isavuconazonium sulfate 1.5 mg/ml
Natrijev klorid 0,9% 3829
Združljivo
Brizgalka Fosphenytoin sodium
Natrijev klorid 0,9% 5074
Združljivo
Brizgalka Fosphenytoin sodium 15 mg/ml
Brizgalka Levetiracetam 5 mg/ml
Natrijev klorid 0,9% 4569
Združljivo
Brizgalka Fosphenytoin sodium 5 mg/ml
Brizgalka Lorazepam 1 mg/ml
Natrijev klorid 0,9% 1419
Takoj padavine Nezdružljivo
Brizgalka Fosphenytoin sodium 5 mg/ml
Brizgalka Midazolam hydrochloride 2 mg/ml
Natrijev klorid 0,9% 1419
Združljivo
Brizgalka Fosphenytoin sodium 5 mg/ml
Brizgalka Phenobarbital sodium 65 mg/ml
Natrijev klorid 0,9% 1412
Združljivo
Brizgalka Fosphenytoin sodium 25 mg/ml
Brizgalka Plazomicin sulfate 24 mg/ml
Natrijev klorid 0,9% 4145
Združljivo
Brizgalka Fosphenytoin sodium 25 mg/ml
Brizgalka Sulbactam/durlobactam 15/15 mg/ml
Natrijev klorid 0,9% 4801
Združljivo
Brizgalka Fosphenytoin sodium 25 mg/ml
Brizgalka Tedizolid phosphate 0.8 mg/ml
Natrijev klorid 0,9% 3827
Združljivo
Brizgalka Fosphenytoin sodium
Brizgalka Valproic acid 2 & 20 mg/ml
Natrijev klorid 0,9% 4428
Združljivo
Brizgalka Fosphenytoin sodium
Brizgalka Valproic acid 2 & 20 mg/ml
Glukoza 5% 4428

  Mentions Légales