Viimeisin päivitys :
27/01/2026
Epilepsialääkkeet   Fosphenytoin sodium  
Injektioneste
Stabilius liuoksessa Stabilius seoksissa Tekijät, jotka vaikuttavat stabiliuteen Yhteensopivuus Antotapa Viitteet pdf
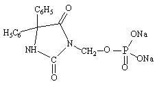
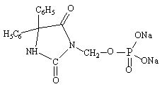
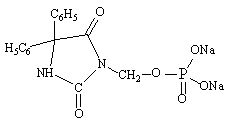
   Kemiallinen rakenne  

Kauppanimi   Kauppanimi     

Trade names are indicative and excipients composition can be different depending on the country and manufacturers

Cerebryx Kanada, Yhdysvallat
Fosphen Intia
Fostoin Japani
Pro - Epanutin Hollanti, Irlanti, Islanti, Iso-Britannia, Itävalta, Luxemburg, Norja, Ruotsi, Suomi, Tanska
Prodilantin Hollanti, Irlanti, Islanti, Itävalta, Japani, Kreikka, Puola, Ranska, Suomi, Tanska, Unkari, Yhdysvallat
Sesquient Yhdysvallat
Yhteensopivuus   Injektioneste   Yhteensopivuus : Fosphenytoin sodium              
Tämä näyttö osoittaa yhteensopivuuden tai yhteensopimattomuuden yhteensopimattomuuden tyypin kanssa (saostuminen, värinmuutos, emulsiomuutos jne.). Tässä esitetty yhteensopivuus on useimmissa tapauksissa vain fysikaalinen, ja kunkin molekyylin kemiallista stabiilisuutta arvioidaan harvoin. Näiden seosten arviointia tutkittiin mahdollisuuden antaa Y-kohta potilaalle. Näitä tietoja ei voida käyttää seosten valmistamiseen etukäteen pusseissa tai ruiskuissa. Tämäntyyppiset tiedot ovat saatavilla "Stabiilisuus seoksessa" -näytössä.
Yhdiste Liuotin Viitteet
Yhteensopiva
Injektioneste Fosphenytoin sodium 50 mg/ml
Parenteraalisesti (rasva-free) 3379
Sade 4 tunnin kuluttua yhteensopimaton
Injektioneste Fosphenytoin sodium 20 mg/ml
Injektioneste Fenoldopam mesylate 80 µg/ml
Natriumkloridi 0,9% 1803
Sameus 4 tunnissa yhteensopimaton
Injektioneste Fosphenytoin sodium 10 mg/ml
Parenteraalinen (lipidien) 4370
Välittömät sateet yhteensopimaton
Injektioneste Fosphenytoin sodium 10 mg/ml
Parenteraalinen (lipidien) 3967
Yhteensopiva
Injektioneste Fosphenytoin sodium 37,5 mg/ml
Injektioneste Imipenem-Cilastatin / Relebactam 5 mg/ml
Glukoosi 5% 4433
Välitön sameus yhteensopimaton
Injektioneste Fosphenytoin sodium 25 mg/ml
Injektioneste Isavuconazonium sulfate 1.5 mg/ml
Glukoosi 5% 3829
Yhteensopiva
Injektioneste Fosphenytoin sodium
Glukoosi 5% 5074
Yhteensopiva
Injektioneste Fosphenytoin sodium 37,5 mg/ml
Injektioneste Imipenem-Cilastatin / Relebactam 5 mg/ml
Natriumkloridi 0,9% 4433
Välitön sameus yhteensopimaton
Injektioneste Fosphenytoin sodium 25 mg/ml
Injektioneste Isavuconazonium sulfate 1.5 mg/ml
Natriumkloridi 0,9% 3829
Yhteensopiva
Injektioneste Fosphenytoin sodium
Natriumkloridi 0,9% 5074
Yhteensopiva
Injektioneste Fosphenytoin sodium 15 mg/ml
Injektioneste Levetiracetam 5 mg/ml
Natriumkloridi 0,9% 4569
Yhteensopiva
Injektioneste Fosphenytoin sodium 5 mg/ml
Injektioneste Lorazepam 1 mg/ml
Natriumkloridi 0,9% 1419
Välittömät sateet yhteensopimaton
Injektioneste Fosphenytoin sodium 5 mg/ml
Injektioneste Midazolam hydrochloride 2 mg/ml
Natriumkloridi 0,9% 1419
Yhteensopiva
Injektioneste Fosphenytoin sodium 5 mg/ml
Injektioneste Phenobarbital sodium 65 mg/ml
Natriumkloridi 0,9% 1412
Yhteensopiva
Injektioneste Fosphenytoin sodium 25 mg/ml
Injektioneste Plazomicin sulfate 24 mg/ml
Natriumkloridi 0,9% 4145
Yhteensopiva
Injektioneste Fosphenytoin sodium 25 mg/ml
Injektioneste Sulbactam/durlobactam 15/15 mg/ml
Natriumkloridi 0,9% 4801
Yhteensopiva
Injektioneste Fosphenytoin sodium 25 mg/ml
Injektioneste Tedizolid phosphate 0.8 mg/ml
Natriumkloridi 0,9% 3827
Yhteensopiva
Injektioneste Fosphenytoin sodium
Injektioneste Valproic acid 2 & 20 mg/ml
Natriumkloridi 0,9% 4428
Yhteensopiva
Injektioneste Fosphenytoin sodium
Injektioneste Valproic acid 2 & 20 mg/ml
Glukoosi 5% 4428

  Mentions Légales