Última actualización :
27/01/2026
Antiepiléptico   Fosphenytoin sodium  
Inyectables
Estabilidad en solucion Estabilidad en mezcla Factores que influyen sobre la estabilidad Compatibilidades método de inyección Bibliografía pdf
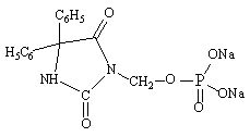
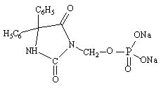
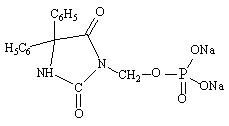
   Estructura química  

Nombre comercial   Nombre comercial     

Los nombres comerciales son orientativos y los excipientes de la formulación pueden ser distintos dependiendo del país y del laboratorio fabricante.

Cerebryx Canadá, Estados Unidos de América
Fosphen India
Fostoin Japón
Pro - Epanutin Austria, Dinamarca, Finlandia, Gran Bretaña, Irlanda, Islandia, Luxemburgo, Noruega, Países Bajos, Suecia
Prodilantin Austria, Dinamarca, Estados Unidos de América, Finlandia, Francia, Grecia, Hungría, Irlanda, Islandia, Japón, Países Bajos, Polonia
Sesquient Estados Unidos de América
Compatibilidades   Inyectables   Compatibilidades : Fosphenytoin sodium              
Esta pantalla muestra las compatibilidades o incompatibilidades, así como el tipo de incompatibilidad (precipitación, cambio de color, modificación de una emulsión, etc). Las compatibilidades que se recogen aquí son fundamentalmente físicas, mostrando raramente la estabilidad química de la molécula. La evaluación de estas mezclas se estudió con el fin de de comprobar la posibilidad de administración en Y al paciente. Estos datos no pueden utilizarse en el caso de la preparación de mezclas dentro de bolsas o jeringas. Este tipo de información está disponible en la pantalla “Estabilidad en mezcla”.
Molécula Solvente Bibliografía
Compatible
Inyectables Fosphenytoin sodium 50 mg/ml
Nutrición parenteral (libre de lípidos) 3379
Precipitación después de 4 horas. Incompatible
Inyectables Fosphenytoin sodium 20 mg/ml
Inyectables Fenoldopam mesylate 80 µg/ml
Cloruro de sodio 0,9% 1803
Turbidez en 4 horas Incompatible
Inyectables Fosphenytoin sodium 10 mg/ml
Nutrición parenteral (con lípidos) 4370
Precipitación inmediata Incompatible
Inyectables Fosphenytoin sodium 10 mg/ml
Nutrición parenteral (con lípidos) 3967
Compatible
Inyectables Fosphenytoin sodium 37,5 mg/ml
Inyectables Imipenem-Cilastatin / Relebactam 5 mg/ml
Glucosa 5% 4433
Turbidez inmediata Incompatible
Inyectables Fosphenytoin sodium 25 mg/ml
Inyectables Isavuconazonium sulfate 1.5 mg/ml
Glucosa 5% 3829
Compatible
Inyectables Fosphenytoin sodium
Glucosa 5% 5074
Compatible
Inyectables Fosphenytoin sodium 37,5 mg/ml
Inyectables Imipenem-Cilastatin / Relebactam 5 mg/ml
Cloruro de sodio 0,9% 4433
Turbidez inmediata Incompatible
Inyectables Fosphenytoin sodium 25 mg/ml
Inyectables Isavuconazonium sulfate 1.5 mg/ml
Cloruro de sodio 0,9% 3829
Compatible
Inyectables Fosphenytoin sodium
Cloruro de sodio 0,9% 5074
Compatible
Inyectables Fosphenytoin sodium 15 mg/ml
Inyectables Levetiracetam 5 mg/ml
Cloruro de sodio 0,9% 4569
Compatible
Inyectables Fosphenytoin sodium 5 mg/ml
Inyectables Lorazepam 1 mg/ml
Cloruro de sodio 0,9% 1419
Precipitación inmediata Incompatible
Inyectables Fosphenytoin sodium 5 mg/ml
Inyectables Midazolam hydrochloride 2 mg/ml
Cloruro de sodio 0,9% 1419
Compatible
Inyectables Fosphenytoin sodium 5 mg/ml
Inyectables Phenobarbital sodium 65 mg/ml
Cloruro de sodio 0,9% 1412
Compatible
Inyectables Fosphenytoin sodium 25 mg/ml
Inyectables Plazomicin sulfate 24 mg/ml
Cloruro de sodio 0,9% 4145
Compatible
Inyectables Fosphenytoin sodium 25 mg/ml
Inyectables Sulbactam/durlobactam 15/15 mg/ml
Cloruro de sodio 0,9% 4801
Compatible
Inyectables Fosphenytoin sodium 25 mg/ml
Inyectables Tedizolid phosphate 0.8 mg/ml
Cloruro de sodio 0,9% 3827
Compatible
Inyectables Fosphenytoin sodium
Inyectables Valproic acid 2 & 20 mg/ml
Cloruro de sodio 0,9% 4428
Compatible
Inyectables Fosphenytoin sodium
Inyectables Valproic acid 2 & 20 mg/ml
Glucosa 5% 4428

  Mentions Légales