Zadnji put ažurirano :
27/01/2026
antiepileptik   Fosphenytoin sodium  
injekcija
Stabilizacija rješenja Stabilnost mješavine Stabilizacijski faktor Kompatibilnosti način davanja lijeka Bibliografija pdf
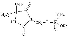
   Kemijska struktura  

Nekomercijalni   Nekomercijalni     

Zaštićeni nazivi su indikativni i sastav ekscipijensa može biti različit ovisno o državi i laboratorijima

Cerebryx Kanada, S A D
Fosphen Indija
Fostoin Japan
Pro - Epanutin Austrija, Danska, Finska, Irska, Island, Luksemburg, Nizozemska, Norveška, Švedska, Velika Britanija
Prodilantin Austrija, Danska, Finska, Francuska, Grčka, Irska, Island, Japan, Madžarska, Nizozemska, Poljska, S A D
Sesquient S A D
Kompatibilnosti   injekcija   Kompatibilnosti : Fosphenytoin sodium              
Ovdje su prikazane kompatibilnosti ili nekompatibilnosti s tipom nekompatibilnosti (taloženje, promjena boje, modifikacija emulzije itd.) u ovom slučaju. Kompatibilnosti prikazane ovdje najčešće su fizikalne dok se kemijska stabilnost molekule rijetko procjenjuje. Procjena ovih mikstura je proučavana kako bi se razmotrila mogućnost primjene lijeka putem Y-mjesta. Ovi se podaci ne smiju koristiti za pripremu mikstura unaprijed u vrećicama ili štrcaljkama. Ova vrsta informacije se može pronaći u odjeljku « stabilnost u miksturama ».
molekula sredstvo za rastapanje Bibliografija
Kompatibilan
injekcija Fosphenytoin sodium 50 mg/ml
Parenteralna prehrana (bezlipidna) 3379
Padavine nakon 4 sata inkompatibilan
injekcija Fosphenytoin sodium 20 mg/ml
injekcija Fenoldopam mesylate 80 µg/ml
natrijumkorid 0,9% 1803
Zamućenost u 4 sata inkompatibilan
injekcija Fosphenytoin sodium 10 mg/ml
Parenteralna prehrana (lipidima) 4370
Neposredne oborine inkompatibilan
injekcija Fosphenytoin sodium 10 mg/ml
Parenteralna prehrana (lipidima) 3967
Kompatibilan
injekcija Fosphenytoin sodium 37,5 mg/ml
injekcija Imipenem-Cilastatin / Relebactam 5 mg/ml
glukoza 5% 4433
Neposredna zamućenost inkompatibilan
injekcija Fosphenytoin sodium 25 mg/ml
injekcija Isavuconazonium sulfate 1.5 mg/ml
glukoza 5% 3829
Kompatibilan
injekcija Fosphenytoin sodium
glukoza 5% 5074
Kompatibilan
injekcija Fosphenytoin sodium 37,5 mg/ml
injekcija Imipenem-Cilastatin / Relebactam 5 mg/ml
natrijumkorid 0,9% 4433
Neposredna zamućenost inkompatibilan
injekcija Fosphenytoin sodium 25 mg/ml
injekcija Isavuconazonium sulfate 1.5 mg/ml
natrijumkorid 0,9% 3829
Kompatibilan
injekcija Fosphenytoin sodium
natrijumkorid 0,9% 5074
Kompatibilan
injekcija Fosphenytoin sodium 15 mg/ml
injekcija Levetiracetam 5 mg/ml
natrijumkorid 0,9% 4569
Kompatibilan
injekcija Fosphenytoin sodium 5 mg/ml
injekcija Lorazepam 1 mg/ml
natrijumkorid 0,9% 1419
Neposredne oborine inkompatibilan
injekcija Fosphenytoin sodium 5 mg/ml
injekcija Midazolam hydrochloride 2 mg/ml
natrijumkorid 0,9% 1419
Kompatibilan
injekcija Fosphenytoin sodium 5 mg/ml
injekcija Phenobarbital sodium 65 mg/ml
natrijumkorid 0,9% 1412
Kompatibilan
injekcija Fosphenytoin sodium 25 mg/ml
injekcija Plazomicin sulfate 24 mg/ml
natrijumkorid 0,9% 4145
Kompatibilan
injekcija Fosphenytoin sodium 25 mg/ml
injekcija Sulbactam/durlobactam 15/15 mg/ml
natrijumkorid 0,9% 4801
Kompatibilan
injekcija Fosphenytoin sodium 25 mg/ml
injekcija Tedizolid phosphate 0.8 mg/ml
natrijumkorid 0,9% 3827
Kompatibilan
injekcija Fosphenytoin sodium
injekcija Valproic acid 2 & 20 mg/ml
natrijumkorid 0,9% 4428
Kompatibilan
injekcija Fosphenytoin sodium
injekcija Valproic acid 2 & 20 mg/ml
glukoza 5% 4428

  Mentions Légales