最新更新 :
27/01/2026
抗癫痫药   Fosphenytoin sodium  
注射液
溶液稳定性 混合物稳定性 影响稳定性的因素 兼容性 用药途径 引用文献 PDF
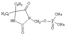
   化学式  

商品名   商品名     

商品名仅供参考, 药品所用的辅料可能依国家或厂商不同有所不同。

Cerebryx 加拿大, 美国
Fosphen 印度
Fostoin 日本
Pro - Epanutin 丹麦, 冰岛, 卢森堡, 奥地利, 挪威, 爱尔兰, 瑞典, 芬兰, 英国, 荷兰
Prodilantin 丹麦, 冰岛, 匈牙利, 奥地利, 希腊, 日本, 法国, 波兰, 爱尔兰, 美国, 芬兰, 荷兰
Sesquient 美国
兼容性   注射液   兼容性 : Fosphenytoin sodium              
This screen indicates the compatibilities or incompatibilities with, in this case, the type of incompatibility (precipitation, color change, modification of an emulsion, etc.). The compatibilities shown here are mostly physical only, with the chemical stability of each molecule rarely being assessed. The evaluation of these mixtures was studied to consider the possibility of Y-site administration to the patient. These data cannot be used for making mixtures in advance in bags or syringes. This type of information is available in the screen "Stability in mixture ».
分子 溶剂 引用文献
兼容
注射液 Fosphenytoin sodium 50 mg/ml
肠外营养(二种混合物) 3379
4小時後出現沉澱 不相容
注射液 Fosphenytoin sodium 20 mg/ml
注射液 Fenoldopam mesylate 80 µg/ml
NaCl 0,9% 1803
4小時內渾濁 不相容
注射液 Fosphenytoin sodium 10 mg/ml
肠外营养(含脂肪) 4370
立即沉澱 不相容
注射液 Fosphenytoin sodium 10 mg/ml
肠外营养(含脂肪) 3967
兼容
注射液 Fosphenytoin sodium 37,5 mg/ml
注射液 Imipenem-Cilastatin / Relebactam 5 mg/ml
葡萄糖5% 4433
立即渾濁 不相容
注射液 Fosphenytoin sodium 25 mg/ml
注射液 Isavuconazonium sulfate 1.5 mg/ml
葡萄糖5% 3829
兼容
注射液 Fosphenytoin sodium
葡萄糖5% 5074
兼容
注射液 Fosphenytoin sodium 37,5 mg/ml
注射液 Imipenem-Cilastatin / Relebactam 5 mg/ml
NaCl 0,9% 4433
立即渾濁 不相容
注射液 Fosphenytoin sodium 25 mg/ml
注射液 Isavuconazonium sulfate 1.5 mg/ml
NaCl 0,9% 3829
兼容
注射液 Fosphenytoin sodium
NaCl 0,9% 5074
兼容
注射液 Fosphenytoin sodium 15 mg/ml
注射液 Levetiracetam 5 mg/ml
NaCl 0,9% 4569
兼容
注射液 Fosphenytoin sodium 5 mg/ml
注射液 Lorazepam 1 mg/ml
NaCl 0,9% 1419
立即沉澱 不相容
注射液 Fosphenytoin sodium 5 mg/ml
注射液 Midazolam hydrochloride 2 mg/ml
NaCl 0,9% 1419
兼容
注射液 Fosphenytoin sodium 5 mg/ml
注射液 Phenobarbital sodium 65 mg/ml
NaCl 0,9% 1412
兼容
注射液 Fosphenytoin sodium 25 mg/ml
注射液 Plazomicin sulfate 24 mg/ml
NaCl 0,9% 4145
兼容
注射液 Fosphenytoin sodium 25 mg/ml
注射液 Sulbactam/durlobactam 15/15 mg/ml
NaCl 0,9% 4801
兼容
注射液 Fosphenytoin sodium 25 mg/ml
注射液 Tedizolid phosphate 0.8 mg/ml
NaCl 0,9% 3827
兼容
注射液 Fosphenytoin sodium
注射液 Valproic acid 2 & 20 mg/ml
NaCl 0,9% 4428
兼容
注射液 Fosphenytoin sodium
注射液 Valproic acid 2 & 20 mg/ml
葡萄糖5% 4428

  Mentions Légales