Utolsó frissítés :
03/03/2026
Antiepileptikum   Fosphenytoin sodium  
Injekció
Az oldatok stabilitása A keverékek stabilitása Stabilitást befolyásoló tényezők Kompatibilitás Az alkalmazás módja Irodalom pdf
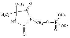
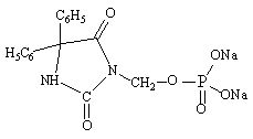
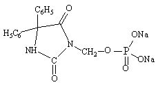
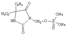
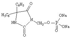
   Kémiai szerkezet   

Kereskedelmi név   Kereskedelmi név     

A kereskedelmi név meghatározó jelentőségű: a készítmények összetétele országonként, előállítóként eltérő lehet

Cerebryx Amerikai Egyesült Államok, Kanada
Fosphen India
Fostoin Japán
Pro - Epanutin Ausztria, Dánia, Finnország, Hollandia, Írország, Izland, Luxemburg, Nagy-Britannia, Norvégia, Svédország
Prodilantin Amerikai Egyesült Államok, Ausztria, Dánia, Finnország, Franciaország, Görögország, Hollandia, Írország, Izland, Japán, Lengyelország, Magyarország
Sesquient Amerikai Egyesült Államok
A keverékek stabilitása   Injekció   A keverékek stabilitása : Fosphenytoin sodium     
Csomagolás Oldószer Koncentráció Vegyület Hőmérséklet Tárolás A stabilitás időtartama Irodalom
Üveg 0,9% nátrium-klorid 5 mg/ml
Injekció   Fosphenytoin sodium   
Injekció   Lorazepam 1 mg/ml
25°C
8 Óra
Nincs meghatározva 1419
Üveg 0,9% nátrium-klorid 5 mg/ml
Injekció   Fosphenytoin sodium   
Injekció   Phenobarbital sodium 65 mg/ml
25°C
8 Óra
Nincs meghatározva 1412

  Mentions Légales