آخر تحديث :
27/01/2026
المضادة للصرع   Fosphenytoin sodium  
حقن
الاستقرار في حلول استقرار مخاليط العوامل التي تؤثر على الاستقرار التوافق طريقة التعاطي مراجع pdf
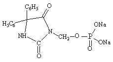
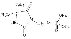
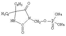
   التركيب الكيميائي  

حجز الاسم التجاري   حجز الاسم التجاري     

تحذير الأسماء التجاريه المختلفه قد تحتوي علي محتوي إضافات مختلفة حسب الدوله و المعمل

Cerebryx الولايات المتحدة, كندا
Fosphen الهند
Fostoin اليابان
Pro - Epanutin أيسلندا, الدنمارك, السويد, النرويج, النمسا, ايرلندا, بريطانيا العظمي, فنلندا, لوكسمبورغ, هولندا
Prodilantin أيسلندا, الدنمارك, النمسا, الولايات المتحدة, اليابان, ايرلندا, بولندا, فرنسا, فنلندا, هنغاريا, هولندا, يونان
Sesquient الولايات المتحدة
التوافق   حقن   التوافق : Fosphenytoin sodium              
This screen indicates the compatibilities or incompatibilities with, in this case, the type of incompatibility (precipitation, color change, modification of an emulsion, etc.). The compatibilities shown here are mostly physical only, with the chemical stability of each molecule rarely being assessed. The evaluation of these mixtures was studied to consider the possibility of Y-site administration to the patient. These data cannot be used for making mixtures in advance in bags or syringes. This type of information is available in the screen "Stability in mixture ».
مركب مذيب مراجع
kompatibel
حقن Fosphenytoin sodium 50 mg/ml
 التغذية الوريدية (خالية من الدهن) 3379
هطول الأمطار بعد 4 ساعات غير متوافق
حقن Fosphenytoin sodium 20 mg/ml
حقن Fenoldopam mesylate 80 µg/ml
كلوريد الصوديوم 0.9% 1803
العكارة في 4 ساعات غير متوافق
حقن Fosphenytoin sodium 10 mg/ml
التغذية الوريدية (مع الدهون) 4370
هطول فوري غير متوافق
حقن Fosphenytoin sodium 10 mg/ml
التغذية الوريدية (مع الدهون) 3967
kompatibel
حقن Fosphenytoin sodium 37,5 mg/ml
حقن Imipenem-Cilastatin / Relebactam 5 mg/ml
الجلوكوز %5 4433
التعكر الفوري غير متوافق
حقن Fosphenytoin sodium 25 mg/ml
حقن Isavuconazonium sulfate 1.5 mg/ml
الجلوكوز %5 3829
kompatibel
حقن Fosphenytoin sodium
الجلوكوز %5 5074
kompatibel
حقن Fosphenytoin sodium 37,5 mg/ml
حقن Imipenem-Cilastatin / Relebactam 5 mg/ml
كلوريد الصوديوم 0.9% 4433
التعكر الفوري غير متوافق
حقن Fosphenytoin sodium 25 mg/ml
حقن Isavuconazonium sulfate 1.5 mg/ml
كلوريد الصوديوم 0.9% 3829
kompatibel
حقن Fosphenytoin sodium
كلوريد الصوديوم 0.9% 5074
kompatibel
حقن Fosphenytoin sodium 15 mg/ml
حقن Levetiracetam 5 mg/ml
كلوريد الصوديوم 0.9% 4569
kompatibel
حقن Fosphenytoin sodium 5 mg/ml
حقن Lorazepam 1 mg/ml
كلوريد الصوديوم 0.9% 1419
هطول فوري غير متوافق
حقن Fosphenytoin sodium 5 mg/ml
حقن Midazolam hydrochloride 2 mg/ml
كلوريد الصوديوم 0.9% 1419
kompatibel
حقن Fosphenytoin sodium 5 mg/ml
حقن Phenobarbital sodium 65 mg/ml
كلوريد الصوديوم 0.9% 1412
kompatibel
حقن Fosphenytoin sodium 25 mg/ml
حقن Plazomicin sulfate 24 mg/ml
كلوريد الصوديوم 0.9% 4145
kompatibel
حقن Fosphenytoin sodium 25 mg/ml
حقن Sulbactam/durlobactam 15/15 mg/ml
كلوريد الصوديوم 0.9% 4801
kompatibel
حقن Fosphenytoin sodium 25 mg/ml
حقن Tedizolid phosphate 0.8 mg/ml
كلوريد الصوديوم 0.9% 3827
kompatibel
حقن Fosphenytoin sodium
حقن Valproic acid 2 & 20 mg/ml
كلوريد الصوديوم 0.9% 4428
kompatibel
حقن Fosphenytoin sodium
حقن Valproic acid 2 & 20 mg/ml
الجلوكوز %5 4428

  Mentions Légales