Pēdējā atjaunošana :
27/01/2026
Antiepileptiķis   Fosphenytoin sodium  
Injekcija
Šķīduma stabilitāte Maisījuma stabilitāte Stabilitāti ietekmējoši faktori Saderība Levadīšanas veids Literatūras saraksts pdf
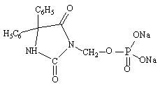
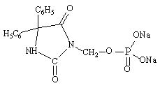
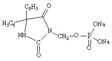
   Ķīmiskā uzbūve   

Oriģinālais nosaukums   Oriģinālais nosaukums     

Tirdzniecības nosaukumi ir apzīmējoši un palīgvielas var atšķirties dažādām valstīm un laboratorijām

Cerebryx Amerikas Savienotās Valstis, Kanāda
Fosphen Indija
Fostoin Japāna
Pro - Epanutin Austrija, Dānija, Holande, Īrija, Islande, Lielbritānija, Luksemburga, Norvēģija, Somija, Zviedrija
Prodilantin Amerikas Savienotās Valstis, Austrija, Dānija, Francija, Grieķija, Holande, Īrija, Islande, Japāna, Polija, Somija, Ungārija
Sesquient Amerikas Savienotās Valstis
Saderība   Injekcija   Saderība : Fosphenytoin sodium              
Šī tabula parāda zāļu saderību vai nesaderību, pēc iespējas arī nesaderības tipu (precipitācija, krāsas maiņa, emulsijas sadalīšanās utt). Parādītas šeit saderības ir pārsvarā tikai fizikālās, pēc iespējas tiek parādīta ķīmiskā stabilitāte katrai molekulai. Šo maisījumu analīze tikai veikta, lai izprastu iespējamību ievadīt zāles Y-savienojuma vietā sistēmā pacientam. Šie dati nevar tikt izmantoti, lai pagatavot zāļu maisījumus vēlākai lietošanai maisos vai šļircēs. Šī informācija ir pieejama sadaļā "Maisījuma stabilitāte".
Savienojums Šķīdinātājs Literatūras saraksts
Savietojams
Injekcija Fosphenytoin sodium 50 mg/ml
Parenterāla barošana (lipīdu-free) 3379
Nokrišņi pēc 4 stundām Nesavienojams
Injekcija Fosphenytoin sodium 20 mg/ml
Injekcija Fenoldopam mesylate 80 µg/ml
Nātrija hlorīds 0.9% 1803
Drumstumas per 4 valandas Nesavienojams
Injekcija Fosphenytoin sodium 10 mg/ml
Parenterāla barošana (ar lipīdiem) 4370
Tūlītēji nokrišņi Nesavienojams
Injekcija Fosphenytoin sodium 10 mg/ml
Parenterāla barošana (ar lipīdiem) 3967
Savietojams
Injekcija Fosphenytoin sodium 37,5 mg/ml
Injekcija Imipenem-Cilastatin / Relebactam 5 mg/ml
5% glikoze 4433
Tūlītēja duļķainība Nesavienojams
Injekcija Fosphenytoin sodium 25 mg/ml
Injekcija Isavuconazonium sulfate 1.5 mg/ml
5% glikoze 3829
Savietojams
Injekcija Fosphenytoin sodium
5% glikoze 5074
Savietojams
Injekcija Fosphenytoin sodium 37,5 mg/ml
Injekcija Imipenem-Cilastatin / Relebactam 5 mg/ml
Nātrija hlorīds 0.9% 4433
Tūlītēja duļķainība Nesavienojams
Injekcija Fosphenytoin sodium 25 mg/ml
Injekcija Isavuconazonium sulfate 1.5 mg/ml
Nātrija hlorīds 0.9% 3829
Savietojams
Injekcija Fosphenytoin sodium
Nātrija hlorīds 0.9% 5074
Savietojams
Injekcija Fosphenytoin sodium 15 mg/ml
Injekcija Levetiracetam 5 mg/ml
Nātrija hlorīds 0.9% 4569
Savietojams
Injekcija Fosphenytoin sodium 5 mg/ml
Injekcija Lorazepam 1 mg/ml
Nātrija hlorīds 0.9% 1419
Tūlītēji nokrišņi Nesavienojams
Injekcija Fosphenytoin sodium 5 mg/ml
Injekcija Midazolam hydrochloride 2 mg/ml
Nātrija hlorīds 0.9% 1419
Savietojams
Injekcija Fosphenytoin sodium 5 mg/ml
Injekcija Phenobarbital sodium 65 mg/ml
Nātrija hlorīds 0.9% 1412
Savietojams
Injekcija Fosphenytoin sodium 25 mg/ml
Injekcija Plazomicin sulfate 24 mg/ml
Nātrija hlorīds 0.9% 4145
Savietojams
Injekcija Fosphenytoin sodium 25 mg/ml
Injekcija Sulbactam/durlobactam 15/15 mg/ml
Nātrija hlorīds 0.9% 4801
Savietojams
Injekcija Fosphenytoin sodium 25 mg/ml
Injekcija Tedizolid phosphate 0.8 mg/ml
Nātrija hlorīds 0.9% 3827
Savietojams
Injekcija Fosphenytoin sodium
Injekcija Valproic acid 2 & 20 mg/ml
Nātrija hlorīds 0.9% 4428
Savietojams
Injekcija Fosphenytoin sodium
Injekcija Valproic acid 2 & 20 mg/ml
5% glikoze 4428

  Mentions Légales