Seneste opdatering :
03/03/2026
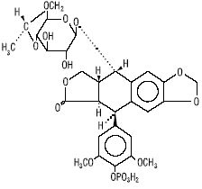
anticancer medicin   Etoposide phosphate  
Injektion
Stabilitet i (vandige) opløsninger Stabilitet i blandinger Faktorer der påvirker stabiliteten Kompatibilitet Administrationsvej Bibliografi pdf
   Kemisk struktur  

Handelsnavn   Handelsnavn     

Handel navne er vejledende og hjælpestoffer sammensætning kan være forskellig afhængigt af landet og laboratorier

Etopofos Grækenland, Sverige, Østrig
Etopophos Belgien, Bulgarien, Frankrig, Holland, Israel, Luxemborg, New Zealand, Polen, Schweiz, Storbritanien, Tyskland, USA
Kompatibilitet   Injektion   Kompatibilitet : Etoposide phosphate              
Denne skærm viser kompatibilitet eller uforenelighed med, i dette tilfælde typen af inkompatibilitet (udfældning, farveændring, ændring af en emulsion osv.). Kompatibiliteterne vist her er for det meste kun fysiske, idet den kemiske stabilitet af hvert molekyle sjældent vurderes. Evalueringen af disse blandinger blev undersøgt for at overveje muligheden for Y-sted-administration til patienten. Disse data kan ikke bruges til at fremstille blandinger på forhånd i poser eller sprøjter. Denne type information findes på skærmen "Stabilitet i blanding".
Molekyle Opløsningsmiddel Bibliografi
Kompatibel
Injektion Etoposide phosphate 5 mg/ml
Injektion Aciclovir sodium 7 mg/ml
5 % Glukose 1410
Kompatibel
Injektion Etoposide phosphate 5 mg/ml
Injektion Amikacin sulfate 5 mg/ml
5 % Glukose 1410
Kompatibel
Injektion Etoposide phosphate 5 mg/ml
Injektion Aminophylline 2.5 mg/ml
5 % Glukose 1410
Umiddelbar nedbør Uforenelig
Injektion Etoposide phosphate 5 mg/ml
Injektion Amphotericin B 0.6 mg/ml
5 % Glukose 1410
Kompatibel
Injektion Etoposide phosphate 5 mg/ml
Injektion Ampicillin sodium 20 mg/ml
5 % Glukose 1410
Kompatibel
Injektion Etoposide phosphate 5 mg/ml
Injektion Ampicillin sodium - sulbactam sodium 20/10 mg/ml
5 % Glukose 1410
Kompatibel
Injektion Etoposide phosphate 5 mg/ml
Injektion Anidulafungin 0.5 mg/ml
5 % Glukose 1982
Kompatibel
Injektion Etoposide phosphate 5 mg/ml
Injektion Aztreonam 40 mg/ml
5 % Glukose 1410
Kompatibel
Injektion Etoposide phosphate 5 mg/ml
Injektion Bleomycin sulfate 1 mg/ml
0,9 % Natriumklorid 1410
Kompatibel
Injektion Etoposide phosphate 5 mg/ml
Injektion Bumetanide 0.04 mg/ml
5 % Glukose 1410
Kompatibel
Injektion Etoposide phosphate 5 mg/ml
Injektion Buprenorphine hydrochloride 0.04 mg/ml
5 % Glukose 1410
Kompatibel
Injektion Etoposide phosphate 5 mg/ml
Injektion Butorphanol tartrate 0.04 mg/ml
5 % Glukose 1410
Uspecificeret inkompatibilitet Uforenelig
Injektion Etoposide phosphate
Injektion Calcium gluconate
3644
Kompatibel
Injektion Etoposide phosphate 5 mg/ml
Injektion Calcium gluconate 40 mg/ml
5 % Glukose 1410
Kompatibel
Injektion Etoposide phosphate 5 mg/ml
Injektion Carboplatin 5 mg/ml
5 % Glukose 1410
Kompatibel
Injektion Etoposide phosphate 5 mg/ml
Injektion Carmustine 1.5 mg/ml
5 % Glukose 1410
Kompatibel
Injektion Etoposide phosphate 5 mg/ml
Injektion Caspofungin acetate 0,7 mg/ml
0,9 % Natriumklorid 2247
Kompatibel
Injektion Etoposide phosphate 5 mg/ml
Injektion Cefazolin sodium 20 mg/ml
5 % Glukose 1410
Umiddelbar turbiditet Uforenelig
Injektion Etoposide phosphate 5 mg/ml
Injektion Cefepime dihydrochloride 20 mg/ml
5 % Glukose 1410
Kompatibel
Injektion Etoposide phosphate 5 mg/ml
Injektion Cefonicid sodium 20 mg/ml
5 % Glukose 1410
Kompatibel
Injektion Etoposide phosphate 5 mg/ml
Injektion Cefoperazone sodium 40 mg/ml
5 % Glukose 1410
Kompatibel
Injektion Etoposide phosphate 5 mg/ml
Injektion Cefotaxime sodium 20 mg/ml
5 % Glukose 1410
Kompatibel
Injektion Etoposide phosphate 5 mg/ml
Injektion Cefoxitin sodium 20 mg/ml
5 % Glukose 1410
Kompatibel
Injektion Etoposide phosphate 5 mg/ml
Injektion Ceftazidime 40 mg/ml
5 % Glukose 1410
Kompatibel
Injektion Etoposide phosphate 5 mg/ml
Injektion Ceftriaxone disodium 20 mg/ml
5 % Glukose 1410
Kompatibel
Injektion Etoposide phosphate
5 % Glukose 3655
Uforenelig
Injektion Etoposide phosphate
Injektion Calcium gluconate
4964
Kompatibel
Injektion Etoposide phosphate 5 mg/ml
Injektion Ceftizoxime sodium 20 mg/ml
5 % Glukose 1410
Kompatibel
Injektion Etoposide phosphate 5 mg/ml
Injektion Cefuroxime sodium 30 mg/ml
5 % Glukose 1410
Umiddelbar turbiditet Uforenelig
Injektion Etoposide phosphate 5 mg/ml
Injektion Chlorpromazine hydrochloride 2 mg/ml
5 % Glukose 1410
Kompatibel
Injektion Etoposide phosphate 5 mg/ml
Injektion Cimetidine hydrochloride 12 mg/ml
5 % Glukose 1410
Kompatibel
Injektion Etoposide phosphate 5 mg/ml
Injektion Ciprofloxacin lactate 1 mg/ml
5 % Glukose 1410
Kompatibel
Injektion Etoposide phosphate 5 mg/ml
Injektion Cisplatin 1 mg/ml
5 % Glukose 1410
Kompatibel
Injektion Etoposide phosphate 5 mg/ml
Injektion Clindamycin phosphate 10 mg/ml
5 % Glukose 1410
Kompatibel
Injektion Etoposide phosphate 5 mg/ml
Injektion Co-trimoxazole 0.8/4 mg/ml
5 % Glukose 1410
Kompatibel
Injektion Etoposide phosphate 5 mg/ml
Injektion Cyclophosphamide 10 mg/ml
5 % Glukose 1410
Kompatibel
Injektion Etoposide phosphate 5 mg/ml
Injektion Cytarabine 50 mg/ml
5 % Glukose 1410
Kompatibel
Injektion Etoposide phosphate 5 mg/ml
Injektion Dacarbazine 4 mg/ml
5 % Glukose 1410
Kompatibel
Injektion Etoposide phosphate 5 mg/ml
Injektion Dactinomycin 10 µg/ml
5 % Glukose 1410
Kompatibel
Injektion Etoposide phosphate 5 mg/ml
Injektion Daunorubicin hydrochloride 1 mg/ml
5 % Glukose 1410
Kompatibel
Injektion Etoposide phosphate 5 mg/ml
Injektion Dexamethasone sodium phosphate 1 mg/ml
5 % Glukose 1410
Kompatibel
Injektion Etoposide phosphate 5 mg/ml
Injektion Diphenhydramine hydrochloride 2 mg/ml
5 % Glukose 1410
Kompatibel
Injektion Etoposide phosphate 5 mg/ml
Injektion Dobutamine hydrochloride 4 mg/ml
5 % Glukose 1410
Kompatibel
Injektion Etoposide phosphate 5 mg/ml
Injektion Dopamine hydrochloride 3.2 mg/ml
5 % Glukose 1410
Kompatibel
Injektion Etoposide phosphate 5 mg/ml
Injektion Doripenem 5 mg/ml
0,9 % Natriumklorid 2262
Kompatibel
Injektion Etoposide phosphate 5 mg/ml
Injektion Doripenem 5 mg/ml
5 % Glukose 2262
Kompatibel
Injektion Etoposide phosphate 5 mg/ml
Injektion Doxorubicin hydrochloride 2 mg/ml
5 % Glukose 1410
Kompatibel
Injektion Etoposide phosphate 5 mg/ml
Injektion Doxycycline hyclate 1 mg/ml
5 % Glukose 1410
Kompatibel
Injektion Etoposide phosphate 5 mg/ml
Injektion Droperidol 0.4 mg/ml
5 % Glukose 1410
Kompatibel
Injektion Etoposide phosphate 5 mg/ml
Injektion Enalaprilate 0.1 mg/ml
5 % Glukose 1410
Kompatibel
Injektion Etoposide phosphate 5 mg/ml
Injektion Famotidine 2 mg/ml
5 % Glukose 1410
Kompatibel
Injektion Etoposide phosphate 5 mg/ml
Injektion Floxuridine 3 mg/ml
5 % Glukose 1410
Kompatibel
Injektion Etoposide phosphate 5 mg/ml
Injektion Fluconazole 2 mg/ml
5 % Glukose 1410
Kompatibel
Injektion Etoposide phosphate 5 mg/ml
Injektion Fludarabine phosphate 1 mg/ml
5 % Glukose 1410
Kompatibel
Injektion Etoposide phosphate 5 mg/ml
Injektion Fluorouracil 16 mg/ml
5 % Glukose 1410
Kompatibel
Injektion Etoposide phosphate 5 mg/ml
Injektion Folinate calcium 2 mg/ml
5 % Glukose 1410
Kompatibel
Injektion Etoposide phosphate 5 mg/ml
Injektion Furosemide 3 mg/ml
5 % Glukose 1410
Kompatibel
Injektion Etoposide phosphate 5 mg/ml
Injektion Gallium nitrate 0.4 mg/ml
5 % Glukose 1410
Kompatibel
Injektion Etoposide phosphate 5 mg/ml
Injektion Ganciclovir sodium 20 mg/ml
5 % Glukose 1410
Kompatibel
Injektion Etoposide phosphate 5 mg/ml
Injektion Gemcitabine hydrochloride 10 mg/ml
0,9 % Natriumklorid 1423
Kompatibel
Injektion Etoposide phosphate 5 mg/ml
Injektion Gentamicin sulfate 5 mg/ml
5 % Glukose 1410
Kompatibel
Injektion Etoposide phosphate 5 mg/ml
Injektion Granisetron hydrochloride 0.05 mg/ml
5 % Glukose 1410
Kompatibel
Injektion Etoposide phosphate 5 mg/ml
Injektion Haloperidol lactate 0.2 mg/ml
5 % Glukose 1410
Kompatibel
Injektion Etoposide phosphate 5 mg/ml
Injektion Heparin sodium 100 UI/ml
5 % Glukose 1410
Kompatibel
Injektion Etoposide phosphate 5 mg/ml
Injektion Hydrocortisone sodium succinate 1 mg/ml
5 % Glukose 1410
Kompatibel
Injektion Etoposide phosphate 5 mg/ml
Injektion Hydromorphone hydrochloride 0.5 mg/ml
5 % Glukose 1410
Kompatibel
Injektion Etoposide phosphate 5 mg/ml
Injektion Hydroxyzine dihydrochloride 4 mg/ml
5 % Glukose 1410
Kompatibel
Injektion Etoposide phosphate 5 mg/ml
Injektion Idarubicin hydrochloride 0.5 mg/ml
5 % Glukose 1410
Kompatibel
Injektion Etoposide phosphate 5 mg/ml
Injektion Ifosfamide 25 mg/ml
5 % Glukose 1410
Farveændring efter 4 timer Uforenelig
Injektion Etoposide phosphate 5 mg/ml
Injektion Imipenem - cilastatin sodium 10 mg/ml
0,9 % Natriumklorid 1410
Umiddelbar nedbør Uforenelig
Injektion Etoposide phosphate 5 mg/ml
Injektion Lansoprazole 0.55 mg/ml
0,9 % Natriumklorid 1625
Kompatibel
Injektion Etoposide phosphate 5 mg/ml
Injektion Linezolid 2 mg/ml
Ingen 1925
Kompatibel
Injektion Etoposide phosphate
0,9 % Natriumklorid 3655
Kompatibel
Injektion Etoposide phosphate 5 mg/ml
Injektion Lorazepam 0.5 mg/ml
5 % Glukose 1410
Uspecificeret inkompatibilitet Uforenelig
Injektion Etoposide phosphate
Injektion Magnesium sulfate
3838
Kompatibel
Injektion Etoposide phosphate 5 mg/ml
Injektion Magnesium sulfate 100 mg/ml
5 % Glukose 1410
Kompatibel
Injektion Etoposide phosphate 5 mg/ml
Injektion Mannitol 150 mg/ml
5 % Glukose 1410
Kompatibel
Injektion Etoposide phosphate 5 mg/ml
Injektion Mesna 10 mg/ml
5 % Glukose 1410
Kompatibel
Injektion Etoposide phosphate 5 mg/ml
Injektion Methotrexate sodium 15 mg/ml
5 % Glukose 1410
Umiddelbar turbiditet Uforenelig
Injektion Etoposide phosphate 5 mg/ml
Injektion Methylprednisolone sodium succinate 5 mg/ml
5 % Glukose 1410
Kompatibel
Injektion Etoposide phosphate 5 mg/ml
Injektion Metoclopramide hydrochloride 5 mg/ml
5 % Glukose 1410
Kompatibel
Injektion Etoposide phosphate 5 mg/ml
Injektion Metronidazole 5 mg/ml
5 % Glukose 1410
Kompatibel
Injektion Etoposide phosphate 5 mg/ml
Injektion Minocycline hydrochloride 0.2 mg/ml
5 % Glukose 1410
Farveændring efter 4 timer Uforenelig
Injektion Etoposide phosphate 5 mg/ml
Injektion Mitomycin 0.5 mg/ml
5 % Glukose 1410
Kompatibel
Injektion Etoposide phosphate 5 mg/ml
Injektion Mitoxantrone dihydrochloride 0.5 mg/ml
5 % Glukose 1410
Kompatibel
Injektion Etoposide phosphate 5 mg/ml
Injektion Morphine sulfate 1 mg/ml
5 % Glukose 1410
Kompatibel
Injektion Etoposide phosphate 5 mg/ml
Injektion Nalbuphine hydrochloride 10 mg/ml
5 % Glukose 1410
Kompatibel
Injektion Etoposide phosphate 5 mg/ml
Injektion Netilmicin sulfate 5 mg/ml
5 % Glukose 1410
Kompatibel
Injektion Etoposide phosphate 5 mg/ml
Injektion Ofloxacin 4 mg/ml
5 % Glukose 1410
Kompatibel
Injektion Etoposide phosphate 5 mg/ml
Injektion Ondansetron hydrochloride 1 mg/ml
5 % Glukose 1410
Kompatibel
Injektion Etoposide phosphate 5 mg/ml
Injektion Oxaliplatin 0,5 mg/ml
5 % Glukose 1662
Kompatibel
Injektion Etoposide phosphate 5 mg/ml
Injektion Paclitaxel 1.2 mg/ml
5 % Glukose 1410
Kompatibel
Injektion Etoposide phosphate 5 mg/ml
Injektion Pethidine hydrochloride 4 mg/ml
5 % Glukose 1410
Kompatibel
Injektion Etoposide phosphate 5 mg/ml
Injektion Piperacillin sodium 40 mg/ml
5 % Glukose 1410
Kompatibel
Injektion Etoposide phosphate 5 mg/ml
Injektion Piperacillin sodium / tazobactam 40/5 mg/ml
0,9 % Natriumklorid 1410
Kompatibel
Injektion Etoposide phosphate 5 mg/ml
Injektion Potassium chloride 100 mEq/l
5 % Glukose 1410
Umiddelbar turbiditet Uforenelig
Injektion Etoposide phosphate 5 mg/ml
Injektion Prochlorperazine edysilate 0.5 mg/ml
5 % Glukose 1410
Kompatibel
Injektion Etoposide phosphate 5 mg/ml
Injektion Promethazine hydrochloride 2 mg/ml
5 % Glukose 1410
Kompatibel
Injektion Etoposide phosphate 5 mg/ml
Injektion Ranitidine hydrochloride 2 mg/ml
5 % Glukose 1410
Kompatibel
Injektion Etoposide phosphate 5 mg/ml
Injektion Sodium bicarbonate 84 mg/ml
5 % Glukose 1410
Kompatibel
Injektion Etoposide phosphate 5 mg/ml
Injektion Streptozocin 40 mg/ml
5 % Glukose 1410
Farveændring efter 4 timer Uforenelig
Injektion Etoposide phosphate 5 mg/ml
Injektion Teniposide 0.1 mg/ml
0,9 % Natriumklorid 1410
Kompatibel
Injektion Etoposide phosphate 5 mg/ml
Injektion Thiotepa 1 mg/ml
5 % Glukose 1410
Kompatibel
Injektion Etoposide phosphate 5 mg/ml
Injektion Ticarcillin / clavulanic acid 31 mg/ml
5 % Glukose 1410
Kompatibel
Injektion Etoposide phosphate 5 mg/ml
Injektion Tobramycin sulfate 5 mg/ml
5 % Glukose 1410
Kompatibel
Injektion Etoposide phosphate 5 mg/ml
Injektion Vancomycin hydrochloride 10 mg/ml
5 % Glukose 1410
Kompatibel
Injektion Etoposide phosphate 5 mg/ml
Injektion Vinblastine sulfate 0.12 mg/ml
5 % Glukose 1410
Kompatibel
Injektion Etoposide phosphate 5 mg/ml
Injektion Vincristine sulfate 0.05 mg/ml
5 % Glukose 1410
Kompatibel
Injektion Etoposide phosphate 5 mg/ml
Injektion Zidovudine 4 mg/ml
5 % Glukose 1410

  Mentions Légales