Poslední aktualizace :
27/04/2026
rakovina drog   Etoposide phosphate  
injekce
Stabilita roztoků Stabilita směsí Faktory ovlivňující stabilitu Kompatibilita Způsoby aplikace Odkazy pdf
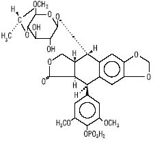
   Chemický vzorec  

Obchodní název   Obchodní název     

Trade names are indicative and excipients composition can be different depending on the country and manufacturers

Etopofos Rakousko, Švédsko, ÿecko
Etopophos Belgie, Bulharsko, Francie, Izrael, Lucembursko, NÏmecko, Nizozemsko, nový Zéland, Polsko, Švýcarsko, USA, Velká Británie
Kompatibilita   injekce   Kompatibilita : Etoposide phosphate              
Tato obrazovka ukazuje kompatibilitu nebo nekompatibilitu s, v tomto případě, typem nekompatibility (srážení, změna barvy, modifikace emulze atd.). Zde uvedené kompatibility jsou většinou pouze fyzikální, přičemž chemická stabilita každé molekuly je zřídka hodnocena. Hodnocení těchto směsí bylo studováno, aby se zvážila možnost podání Y-místa pacientovi. Tyto údaje nelze použít k přípravě směsí předem v pytlích nebo stříkačkách. Tento typ informací je k dispozici na obrazovce „Stabilita ve směsi“.
SlouËenina RozpouötÏdlo Odkazy
Kompatibilní
injekce Etoposide phosphate 5 mg/ml
injekce Aciclovir sodium 7 mg/ml
GlukÛza 5% 1410
Kompatibilní
injekce Etoposide phosphate 5 mg/ml
injekce Amikacin sulfate 5 mg/ml
GlukÛza 5% 1410
Kompatibilní
injekce Etoposide phosphate 5 mg/ml
injekce Aminophylline 2.5 mg/ml
GlukÛza 5% 1410
Okamžité srážení Nekompatibilní
injekce Etoposide phosphate 5 mg/ml
injekce Amphotericin B 0.6 mg/ml
GlukÛza 5% 1410
Kompatibilní
injekce Etoposide phosphate 5 mg/ml
injekce Ampicillin sodium 20 mg/ml
GlukÛza 5% 1410
Kompatibilní
injekce Etoposide phosphate 5 mg/ml
injekce Ampicillin sodium - sulbactam sodium 20/10 mg/ml
GlukÛza 5% 1410
Kompatibilní
injekce Etoposide phosphate 5 mg/ml
injekce Anidulafungin 0.5 mg/ml
GlukÛza 5% 1982
Kompatibilní
injekce Etoposide phosphate 5 mg/ml
injekce Aztreonam 40 mg/ml
GlukÛza 5% 1410
Kompatibilní
injekce Etoposide phosphate 5 mg/ml
injekce Bleomycin sulfate 1 mg/ml
Chlorid sodný 0,9% 1410
Kompatibilní
injekce Etoposide phosphate 5 mg/ml
injekce Bumetanide 0.04 mg/ml
GlukÛza 5% 1410
Kompatibilní
injekce Etoposide phosphate 5 mg/ml
injekce Buprenorphine hydrochloride 0.04 mg/ml
GlukÛza 5% 1410
Kompatibilní
injekce Etoposide phosphate 5 mg/ml
injekce Butorphanol tartrate 0.04 mg/ml
GlukÛza 5% 1410
Nespecifikovaná nekompatibilita Nekompatibilní
injekce Etoposide phosphate
injekce Calcium gluconate
3644
Kompatibilní
injekce Etoposide phosphate 5 mg/ml
injekce Calcium gluconate 40 mg/ml
GlukÛza 5% 1410
Kompatibilní
injekce Etoposide phosphate 5 mg/ml
injekce Carboplatin 5 mg/ml
GlukÛza 5% 1410
Kompatibilní
injekce Etoposide phosphate 5 mg/ml
injekce Carmustine 1.5 mg/ml
GlukÛza 5% 1410
Kompatibilní
injekce Etoposide phosphate 5 mg/ml
injekce Caspofungin acetate 0,7 mg/ml
Chlorid sodný 0,9% 2247
Kompatibilní
injekce Etoposide phosphate 5 mg/ml
injekce Cefazolin sodium 20 mg/ml
GlukÛza 5% 1410
Okamžitá zákal Nekompatibilní
injekce Etoposide phosphate 5 mg/ml
injekce Cefepime dihydrochloride 20 mg/ml
GlukÛza 5% 1410
Kompatibilní
injekce Etoposide phosphate 5 mg/ml
injekce Cefonicid sodium 20 mg/ml
GlukÛza 5% 1410
Kompatibilní
injekce Etoposide phosphate 5 mg/ml
injekce Cefoperazone sodium 40 mg/ml
GlukÛza 5% 1410
Kompatibilní
injekce Etoposide phosphate 5 mg/ml
injekce Cefotaxime sodium 20 mg/ml
GlukÛza 5% 1410
Kompatibilní
injekce Etoposide phosphate 5 mg/ml
injekce Cefoxitin sodium 20 mg/ml
GlukÛza 5% 1410
Kompatibilní
injekce Etoposide phosphate 5 mg/ml
injekce Ceftazidime 40 mg/ml
GlukÛza 5% 1410
Kompatibilní
injekce Etoposide phosphate 5 mg/ml
injekce Ceftriaxone disodium 20 mg/ml
GlukÛza 5% 1410
Kompatibilní
injekce Etoposide phosphate
GlukÛza 5% 3655
Nekompatibilní
injekce Etoposide phosphate
injekce Calcium gluconate
4964
Kompatibilní
injekce Etoposide phosphate 5 mg/ml
injekce Ceftizoxime sodium 20 mg/ml
GlukÛza 5% 1410
Kompatibilní
injekce Etoposide phosphate 5 mg/ml
injekce Cefuroxime sodium 30 mg/ml
GlukÛza 5% 1410
Okamžitá zákal Nekompatibilní
injekce Etoposide phosphate 5 mg/ml
injekce Chlorpromazine hydrochloride 2 mg/ml
GlukÛza 5% 1410
Kompatibilní
injekce Etoposide phosphate 5 mg/ml
injekce Cimetidine hydrochloride 12 mg/ml
GlukÛza 5% 1410
Kompatibilní
injekce Etoposide phosphate 5 mg/ml
injekce Ciprofloxacin lactate 1 mg/ml
GlukÛza 5% 1410
Kompatibilní
injekce Etoposide phosphate 5 mg/ml
injekce Cisplatin 1 mg/ml
GlukÛza 5% 1410
Kompatibilní
injekce Etoposide phosphate 5 mg/ml
injekce Clindamycin phosphate 10 mg/ml
GlukÛza 5% 1410
Kompatibilní
injekce Etoposide phosphate 5 mg/ml
injekce Co-trimoxazole 0.8/4 mg/ml
GlukÛza 5% 1410
Kompatibilní
injekce Etoposide phosphate 5 mg/ml
injekce Cyclophosphamide 10 mg/ml
GlukÛza 5% 1410
Kompatibilní
injekce Etoposide phosphate 5 mg/ml
injekce Cytarabine 50 mg/ml
GlukÛza 5% 1410
Kompatibilní
injekce Etoposide phosphate 5 mg/ml
injekce Dacarbazine 4 mg/ml
GlukÛza 5% 1410
Kompatibilní
injekce Etoposide phosphate 5 mg/ml
injekce Dactinomycin 10 µg/ml
GlukÛza 5% 1410
Kompatibilní
injekce Etoposide phosphate 5 mg/ml
injekce Daunorubicin hydrochloride 1 mg/ml
GlukÛza 5% 1410
Kompatibilní
injekce Etoposide phosphate 5 mg/ml
injekce Dexamethasone sodium phosphate 1 mg/ml
GlukÛza 5% 1410
Kompatibilní
injekce Etoposide phosphate 5 mg/ml
injekce Diphenhydramine hydrochloride 2 mg/ml
GlukÛza 5% 1410
Kompatibilní
injekce Etoposide phosphate 5 mg/ml
injekce Dobutamine hydrochloride 4 mg/ml
GlukÛza 5% 1410
Kompatibilní
injekce Etoposide phosphate 5 mg/ml
injekce Dopamine hydrochloride 3.2 mg/ml
GlukÛza 5% 1410
Kompatibilní
injekce Etoposide phosphate 5 mg/ml
injekce Doripenem 5 mg/ml
Chlorid sodný 0,9% 2262
Kompatibilní
injekce Etoposide phosphate 5 mg/ml
injekce Doripenem 5 mg/ml
GlukÛza 5% 2262
Kompatibilní
injekce Etoposide phosphate 5 mg/ml
injekce Doxorubicin hydrochloride 2 mg/ml
GlukÛza 5% 1410
Kompatibilní
injekce Etoposide phosphate 5 mg/ml
injekce Doxycycline hyclate 1 mg/ml
GlukÛza 5% 1410
Kompatibilní
injekce Etoposide phosphate 5 mg/ml
injekce Droperidol 0.4 mg/ml
GlukÛza 5% 1410
Kompatibilní
injekce Etoposide phosphate 5 mg/ml
injekce Enalaprilate 0.1 mg/ml
GlukÛza 5% 1410
Kompatibilní
injekce Etoposide phosphate 5 mg/ml
injekce Famotidine 2 mg/ml
GlukÛza 5% 1410
Kompatibilní
injekce Etoposide phosphate 5 mg/ml
injekce Floxuridine 3 mg/ml
GlukÛza 5% 1410
Kompatibilní
injekce Etoposide phosphate 5 mg/ml
injekce Fluconazole 2 mg/ml
GlukÛza 5% 1410
Kompatibilní
injekce Etoposide phosphate 5 mg/ml
injekce Fludarabine phosphate 1 mg/ml
GlukÛza 5% 1410
Kompatibilní
injekce Etoposide phosphate 5 mg/ml
injekce Fluorouracil 16 mg/ml
GlukÛza 5% 1410
Kompatibilní
injekce Etoposide phosphate 5 mg/ml
injekce Folinate calcium 2 mg/ml
GlukÛza 5% 1410
Kompatibilní
injekce Etoposide phosphate 5 mg/ml
injekce Furosemide 3 mg/ml
GlukÛza 5% 1410
Kompatibilní
injekce Etoposide phosphate 5 mg/ml
injekce Gallium nitrate 0.4 mg/ml
GlukÛza 5% 1410
Kompatibilní
injekce Etoposide phosphate 5 mg/ml
injekce Ganciclovir sodium 20 mg/ml
GlukÛza 5% 1410
Kompatibilní
injekce Etoposide phosphate 5 mg/ml
injekce Gemcitabine hydrochloride 10 mg/ml
Chlorid sodný 0,9% 1423
Kompatibilní
injekce Etoposide phosphate 5 mg/ml
injekce Gentamicin sulfate 5 mg/ml
GlukÛza 5% 1410
Kompatibilní
injekce Etoposide phosphate 5 mg/ml
injekce Granisetron hydrochloride 0.05 mg/ml
GlukÛza 5% 1410
Kompatibilní
injekce Etoposide phosphate 5 mg/ml
injekce Haloperidol lactate 0.2 mg/ml
GlukÛza 5% 1410
Kompatibilní
injekce Etoposide phosphate 5 mg/ml
injekce Heparin sodium 100 UI/ml
GlukÛza 5% 1410
Kompatibilní
injekce Etoposide phosphate 5 mg/ml
injekce Hydrocortisone sodium succinate 1 mg/ml
GlukÛza 5% 1410
Kompatibilní
injekce Etoposide phosphate 5 mg/ml
injekce Hydromorphone hydrochloride 0.5 mg/ml
GlukÛza 5% 1410
Kompatibilní
injekce Etoposide phosphate 5 mg/ml
injekce Hydroxyzine dihydrochloride 4 mg/ml
GlukÛza 5% 1410
Kompatibilní
injekce Etoposide phosphate 5 mg/ml
injekce Idarubicin hydrochloride 0.5 mg/ml
GlukÛza 5% 1410
Kompatibilní
injekce Etoposide phosphate 5 mg/ml
injekce Ifosfamide 25 mg/ml
GlukÛza 5% 1410
Změna barvy po 4 hodinách Nekompatibilní
injekce Etoposide phosphate 5 mg/ml
injekce Imipenem - cilastatin sodium 10 mg/ml
Chlorid sodný 0,9% 1410
Okamžité srážení Nekompatibilní
injekce Etoposide phosphate 5 mg/ml
injekce Lansoprazole 0.55 mg/ml
Chlorid sodný 0,9% 1625
Kompatibilní
injekce Etoposide phosphate 5 mg/ml
injekce Linezolid 2 mg/ml
Žádné 1925
Kompatibilní
injekce Etoposide phosphate
Chlorid sodný 0,9% 3655
Kompatibilní
injekce Etoposide phosphate 5 mg/ml
injekce Lorazepam 0.5 mg/ml
GlukÛza 5% 1410
Nespecifikovaná nekompatibilita Nekompatibilní
injekce Etoposide phosphate
injekce Magnesium sulfate
3838
Kompatibilní
injekce Etoposide phosphate 5 mg/ml
injekce Magnesium sulfate 100 mg/ml
GlukÛza 5% 1410
Kompatibilní
injekce Etoposide phosphate 5 mg/ml
injekce Mannitol 150 mg/ml
GlukÛza 5% 1410
Kompatibilní
injekce Etoposide phosphate 5 mg/ml
injekce Mesna 10 mg/ml
GlukÛza 5% 1410
Kompatibilní
injekce Etoposide phosphate 5 mg/ml
injekce Methotrexate sodium 15 mg/ml
GlukÛza 5% 1410
Okamžitá zákal Nekompatibilní
injekce Etoposide phosphate 5 mg/ml
injekce Methylprednisolone sodium succinate 5 mg/ml
GlukÛza 5% 1410
Kompatibilní
injekce Etoposide phosphate 5 mg/ml
injekce Metoclopramide hydrochloride 5 mg/ml
GlukÛza 5% 1410
Kompatibilní
injekce Etoposide phosphate 5 mg/ml
injekce Metronidazole 5 mg/ml
GlukÛza 5% 1410
Kompatibilní
injekce Etoposide phosphate 5 mg/ml
injekce Minocycline hydrochloride 0.2 mg/ml
GlukÛza 5% 1410
Změna barvy po 4 hodinách Nekompatibilní
injekce Etoposide phosphate 5 mg/ml
injekce Mitomycin 0.5 mg/ml
GlukÛza 5% 1410
Kompatibilní
injekce Etoposide phosphate 5 mg/ml
injekce Mitoxantrone dihydrochloride 0.5 mg/ml
GlukÛza 5% 1410
Kompatibilní
injekce Etoposide phosphate 5 mg/ml
injekce Morphine sulfate 1 mg/ml
GlukÛza 5% 1410
Kompatibilní
injekce Etoposide phosphate 5 mg/ml
injekce Nalbuphine hydrochloride 10 mg/ml
GlukÛza 5% 1410
Kompatibilní
injekce Etoposide phosphate 5 mg/ml
injekce Netilmicin sulfate 5 mg/ml
GlukÛza 5% 1410
Kompatibilní
injekce Etoposide phosphate 5 mg/ml
injekce Ofloxacin 4 mg/ml
GlukÛza 5% 1410
Kompatibilní
injekce Etoposide phosphate 5 mg/ml
injekce Ondansetron hydrochloride 1 mg/ml
GlukÛza 5% 1410
Kompatibilní
injekce Etoposide phosphate 5 mg/ml
injekce Oxaliplatin 0,5 mg/ml
GlukÛza 5% 1662
Kompatibilní
injekce Etoposide phosphate 5 mg/ml
injekce Paclitaxel 1.2 mg/ml
GlukÛza 5% 1410
Kompatibilní
injekce Etoposide phosphate 5 mg/ml
injekce Pethidine hydrochloride 4 mg/ml
GlukÛza 5% 1410
Kompatibilní
injekce Etoposide phosphate 5 mg/ml
injekce Piperacillin sodium 40 mg/ml
GlukÛza 5% 1410
Kompatibilní
injekce Etoposide phosphate 5 mg/ml
injekce Piperacillin sodium / tazobactam 40/5 mg/ml
Chlorid sodný 0,9% 1410
Kompatibilní
injekce Etoposide phosphate 5 mg/ml
injekce Potassium chloride 100 mEq/l
GlukÛza 5% 1410
Okamžitá zákal Nekompatibilní
injekce Etoposide phosphate 5 mg/ml
injekce Prochlorperazine edysilate 0.5 mg/ml
GlukÛza 5% 1410
Kompatibilní
injekce Etoposide phosphate 5 mg/ml
injekce Promethazine hydrochloride 2 mg/ml
GlukÛza 5% 1410
Kompatibilní
injekce Etoposide phosphate 5 mg/ml
injekce Ranitidine hydrochloride 2 mg/ml
GlukÛza 5% 1410
Kompatibilní
injekce Etoposide phosphate 5 mg/ml
injekce Sodium bicarbonate 84 mg/ml
GlukÛza 5% 1410
Kompatibilní
injekce Etoposide phosphate 5 mg/ml
injekce Streptozocin 40 mg/ml
GlukÛza 5% 1410
Změna barvy po 4 hodinách Nekompatibilní
injekce Etoposide phosphate 5 mg/ml
injekce Teniposide 0.1 mg/ml
Chlorid sodný 0,9% 1410
Kompatibilní
injekce Etoposide phosphate 5 mg/ml
injekce Thiotepa 1 mg/ml
GlukÛza 5% 1410
Kompatibilní
injekce Etoposide phosphate 5 mg/ml
injekce Ticarcillin / clavulanic acid 31 mg/ml
GlukÛza 5% 1410
Kompatibilní
injekce Etoposide phosphate 5 mg/ml
injekce Tobramycin sulfate 5 mg/ml
GlukÛza 5% 1410
Kompatibilní
injekce Etoposide phosphate 5 mg/ml
injekce Vancomycin hydrochloride 10 mg/ml
GlukÛza 5% 1410
Kompatibilní
injekce Etoposide phosphate 5 mg/ml
injekce Vinblastine sulfate 0.12 mg/ml
GlukÛza 5% 1410
Kompatibilní
injekce Etoposide phosphate 5 mg/ml
injekce Vincristine sulfate 0.05 mg/ml
GlukÛza 5% 1410
Kompatibilní
injekce Etoposide phosphate 5 mg/ml
injekce Zidovudine 4 mg/ml
GlukÛza 5% 1410

  Mentions Légales