Poslední aktualizace :
27/04/2026
vėžio narkotikų   Etoposide phosphate  
Įpurškimas
Tirpalų stabilumas Mišinių stabilumas Stabilumą lemiantys veiksniai Suderinamumas Leidimo būdai Bibliografija pdf
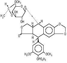
   Cheminė sandara  

Prekinis pavadinimas   Prekinis pavadinimas     

Trade names are indicative and excipients composition can be different depending on the country and manufacturers

Etopofos Austrija, Graikija, Švedija
Etopophos Belgija, Bulgarija, Didžioji Britanija, Israël, Jungtinės Amerikos Valstijos, Lenkija, Liuksemburgas, Naujojoje Zelandijoje, Olandija, Prancūzija, Šveicarija, Vokietija
Suderinamumas   Įpurškimas   Suderinamumas : Etoposide phosphate              
explication_incompatibilite_molecules
Molekulė Tirpiklis Nuorodos
Suderinamas
Įpurškimas Etoposide phosphate 5 mg/ml
Įpurškimas Aciclovir sodium 7 mg/ml
Gliukozė 5% 1410
Suderinamas
Įpurškimas Etoposide phosphate 5 mg/ml
Įpurškimas Amikacin sulfate 5 mg/ml
Gliukozė 5% 1410
Suderinamas
Įpurškimas Etoposide phosphate 5 mg/ml
Įpurškimas Aminophylline 2.5 mg/ml
Gliukozė 5% 1410
Nedelsiant krituliai Nesuderinamas
Įpurškimas Etoposide phosphate 5 mg/ml
Įpurškimas Amphotericin B 0.6 mg/ml
Gliukozė 5% 1410
Suderinamas
Įpurškimas Etoposide phosphate 5 mg/ml
Įpurškimas Ampicillin sodium 20 mg/ml
Gliukozė 5% 1410
Suderinamas
Įpurškimas Etoposide phosphate 5 mg/ml
Įpurškimas Ampicillin sodium - sulbactam sodium 20/10 mg/ml
Gliukozė 5% 1410
Suderinamas
Įpurškimas Etoposide phosphate 5 mg/ml
Įpurškimas Anidulafungin 0.5 mg/ml
Gliukozė 5% 1982
Suderinamas
Įpurškimas Etoposide phosphate 5 mg/ml
Įpurškimas Aztreonam 40 mg/ml
Gliukozė 5% 1410
Suderinamas
Įpurškimas Etoposide phosphate 5 mg/ml
Įpurškimas Bleomycin sulfate 1 mg/ml
Natrio chloridas 0,9% 1410
Suderinamas
Įpurškimas Etoposide phosphate 5 mg/ml
Įpurškimas Bumetanide 0.04 mg/ml
Gliukozė 5% 1410
Suderinamas
Įpurškimas Etoposide phosphate 5 mg/ml
Įpurškimas Buprenorphine hydrochloride 0.04 mg/ml
Gliukozė 5% 1410
Suderinamas
Įpurškimas Etoposide phosphate 5 mg/ml
Įpurškimas Butorphanol tartrate 0.04 mg/ml
Gliukozė 5% 1410
Nepatikslintas nesuderinamumas Nesuderinamas
Įpurškimas Etoposide phosphate
Įpurškimas Calcium gluconate
3644
Suderinamas
Įpurškimas Etoposide phosphate 5 mg/ml
Įpurškimas Calcium gluconate 40 mg/ml
Gliukozė 5% 1410
Suderinamas
Įpurškimas Etoposide phosphate 5 mg/ml
Įpurškimas Carboplatin 5 mg/ml
Gliukozė 5% 1410
Suderinamas
Įpurškimas Etoposide phosphate 5 mg/ml
Įpurškimas Carmustine 1.5 mg/ml
Gliukozė 5% 1410
Suderinamas
Įpurškimas Etoposide phosphate 5 mg/ml
Įpurškimas Caspofungin acetate 0,7 mg/ml
Natrio chloridas 0,9% 2247
Suderinamas
Įpurškimas Etoposide phosphate 5 mg/ml
Įpurškimas Cefazolin sodium 20 mg/ml
Gliukozė 5% 1410
Tiesioginis drumstumas Nesuderinamas
Įpurškimas Etoposide phosphate 5 mg/ml
Įpurškimas Cefepime dihydrochloride 20 mg/ml
Gliukozė 5% 1410
Suderinamas
Įpurškimas Etoposide phosphate 5 mg/ml
Įpurškimas Cefonicid sodium 20 mg/ml
Gliukozė 5% 1410
Suderinamas
Įpurškimas Etoposide phosphate 5 mg/ml
Įpurškimas Cefoperazone sodium 40 mg/ml
Gliukozė 5% 1410
Suderinamas
Įpurškimas Etoposide phosphate 5 mg/ml
Įpurškimas Cefotaxime sodium 20 mg/ml
Gliukozė 5% 1410
Suderinamas
Įpurškimas Etoposide phosphate 5 mg/ml
Įpurškimas Cefoxitin sodium 20 mg/ml
Gliukozė 5% 1410
Suderinamas
Įpurškimas Etoposide phosphate 5 mg/ml
Įpurškimas Ceftazidime 40 mg/ml
Gliukozė 5% 1410
Suderinamas
Įpurškimas Etoposide phosphate 5 mg/ml
Įpurškimas Ceftriaxone disodium 20 mg/ml
Gliukozė 5% 1410
Suderinamas
Įpurškimas Etoposide phosphate
Gliukozė 5% 3655
Nesuderinamas
Įpurškimas Etoposide phosphate
Įpurškimas Calcium gluconate
4964
Suderinamas
Įpurškimas Etoposide phosphate 5 mg/ml
Įpurškimas Ceftizoxime sodium 20 mg/ml
Gliukozė 5% 1410
Suderinamas
Įpurškimas Etoposide phosphate 5 mg/ml
Įpurškimas Cefuroxime sodium 30 mg/ml
Gliukozė 5% 1410
Tiesioginis drumstumas Nesuderinamas
Įpurškimas Etoposide phosphate 5 mg/ml
Įpurškimas Chlorpromazine hydrochloride 2 mg/ml
Gliukozė 5% 1410
Suderinamas
Įpurškimas Etoposide phosphate 5 mg/ml
Įpurškimas Cimetidine hydrochloride 12 mg/ml
Gliukozė 5% 1410
Suderinamas
Įpurškimas Etoposide phosphate 5 mg/ml
Įpurškimas Ciprofloxacin lactate 1 mg/ml
Gliukozė 5% 1410
Suderinamas
Įpurškimas Etoposide phosphate 5 mg/ml
Įpurškimas Cisplatin 1 mg/ml
Gliukozė 5% 1410
Suderinamas
Įpurškimas Etoposide phosphate 5 mg/ml
Įpurškimas Clindamycin phosphate 10 mg/ml
Gliukozė 5% 1410
Suderinamas
Įpurškimas Etoposide phosphate 5 mg/ml
Įpurškimas Co-trimoxazole 0.8/4 mg/ml
Gliukozė 5% 1410
Suderinamas
Įpurškimas Etoposide phosphate 5 mg/ml
Įpurškimas Cyclophosphamide 10 mg/ml
Gliukozė 5% 1410
Suderinamas
Įpurškimas Etoposide phosphate 5 mg/ml
Įpurškimas Cytarabine 50 mg/ml
Gliukozė 5% 1410
Suderinamas
Įpurškimas Etoposide phosphate 5 mg/ml
Įpurškimas Dacarbazine 4 mg/ml
Gliukozė 5% 1410
Suderinamas
Įpurškimas Etoposide phosphate 5 mg/ml
Įpurškimas Dactinomycin 10 µg/ml
Gliukozė 5% 1410
Suderinamas
Įpurškimas Etoposide phosphate 5 mg/ml
Įpurškimas Daunorubicin hydrochloride 1 mg/ml
Gliukozė 5% 1410
Suderinamas
Įpurškimas Etoposide phosphate 5 mg/ml
Įpurškimas Dexamethasone sodium phosphate 1 mg/ml
Gliukozė 5% 1410
Suderinamas
Įpurškimas Etoposide phosphate 5 mg/ml
Įpurškimas Diphenhydramine hydrochloride 2 mg/ml
Gliukozė 5% 1410
Suderinamas
Įpurškimas Etoposide phosphate 5 mg/ml
Įpurškimas Dobutamine hydrochloride 4 mg/ml
Gliukozė 5% 1410
Suderinamas
Įpurškimas Etoposide phosphate 5 mg/ml
Įpurškimas Dopamine hydrochloride 3.2 mg/ml
Gliukozė 5% 1410
Suderinamas
Įpurškimas Etoposide phosphate 5 mg/ml
Įpurškimas Doripenem 5 mg/ml
Natrio chloridas 0,9% 2262
Suderinamas
Įpurškimas Etoposide phosphate 5 mg/ml
Įpurškimas Doripenem 5 mg/ml
Gliukozė 5% 2262
Suderinamas
Įpurškimas Etoposide phosphate 5 mg/ml
Įpurškimas Doxorubicin hydrochloride 2 mg/ml
Gliukozė 5% 1410
Suderinamas
Įpurškimas Etoposide phosphate 5 mg/ml
Įpurškimas Doxycycline hyclate 1 mg/ml
Gliukozė 5% 1410
Suderinamas
Įpurškimas Etoposide phosphate 5 mg/ml
Įpurškimas Droperidol 0.4 mg/ml
Gliukozė 5% 1410
Suderinamas
Įpurškimas Etoposide phosphate 5 mg/ml
Įpurškimas Enalaprilate 0.1 mg/ml
Gliukozė 5% 1410
Suderinamas
Įpurškimas Etoposide phosphate 5 mg/ml
Įpurškimas Famotidine 2 mg/ml
Gliukozė 5% 1410
Suderinamas
Įpurškimas Etoposide phosphate 5 mg/ml
Įpurškimas Floxuridine 3 mg/ml
Gliukozė 5% 1410
Suderinamas
Įpurškimas Etoposide phosphate 5 mg/ml
Įpurškimas Fluconazole 2 mg/ml
Gliukozė 5% 1410
Suderinamas
Įpurškimas Etoposide phosphate 5 mg/ml
Įpurškimas Fludarabine phosphate 1 mg/ml
Gliukozė 5% 1410
Suderinamas
Įpurškimas Etoposide phosphate 5 mg/ml
Įpurškimas Fluorouracil 16 mg/ml
Gliukozė 5% 1410
Suderinamas
Įpurškimas Etoposide phosphate 5 mg/ml
Įpurškimas Folinate calcium 2 mg/ml
Gliukozė 5% 1410
Suderinamas
Įpurškimas Etoposide phosphate 5 mg/ml
Įpurškimas Furosemide 3 mg/ml
Gliukozė 5% 1410
Suderinamas
Įpurškimas Etoposide phosphate 5 mg/ml
Įpurškimas Gallium nitrate 0.4 mg/ml
Gliukozė 5% 1410
Suderinamas
Įpurškimas Etoposide phosphate 5 mg/ml
Įpurškimas Ganciclovir sodium 20 mg/ml
Gliukozė 5% 1410
Suderinamas
Įpurškimas Etoposide phosphate 5 mg/ml
Įpurškimas Gemcitabine hydrochloride 10 mg/ml
Natrio chloridas 0,9% 1423
Suderinamas
Įpurškimas Etoposide phosphate 5 mg/ml
Įpurškimas Gentamicin sulfate 5 mg/ml
Gliukozė 5% 1410
Suderinamas
Įpurškimas Etoposide phosphate 5 mg/ml
Įpurškimas Granisetron hydrochloride 0.05 mg/ml
Gliukozė 5% 1410
Suderinamas
Įpurškimas Etoposide phosphate 5 mg/ml
Įpurškimas Haloperidol lactate 0.2 mg/ml
Gliukozė 5% 1410
Suderinamas
Įpurškimas Etoposide phosphate 5 mg/ml
Įpurškimas Heparin sodium 100 UI/ml
Gliukozė 5% 1410
Suderinamas
Įpurškimas Etoposide phosphate 5 mg/ml
Įpurškimas Hydrocortisone sodium succinate 1 mg/ml
Gliukozė 5% 1410
Suderinamas
Įpurškimas Etoposide phosphate 5 mg/ml
Įpurškimas Hydromorphone hydrochloride 0.5 mg/ml
Gliukozė 5% 1410
Suderinamas
Įpurškimas Etoposide phosphate 5 mg/ml
Įpurškimas Hydroxyzine dihydrochloride 4 mg/ml
Gliukozė 5% 1410
Suderinamas
Įpurškimas Etoposide phosphate 5 mg/ml
Įpurškimas Idarubicin hydrochloride 0.5 mg/ml
Gliukozė 5% 1410
Suderinamas
Įpurškimas Etoposide phosphate 5 mg/ml
Įpurškimas Ifosfamide 25 mg/ml
Gliukozė 5% 1410
Spalvos pasikeitimas po 4 valandų Nesuderinamas
Įpurškimas Etoposide phosphate 5 mg/ml
Įpurškimas Imipenem - cilastatin sodium 10 mg/ml
Natrio chloridas 0,9% 1410
Nedelsiant krituliai Nesuderinamas
Įpurškimas Etoposide phosphate 5 mg/ml
Įpurškimas Lansoprazole 0.55 mg/ml
Natrio chloridas 0,9% 1625
Suderinamas
Įpurškimas Etoposide phosphate 5 mg/ml
Įpurškimas Linezolid 2 mg/ml
Nėra 1925
Suderinamas
Įpurškimas Etoposide phosphate
Natrio chloridas 0,9% 3655
Suderinamas
Įpurškimas Etoposide phosphate 5 mg/ml
Įpurškimas Lorazepam 0.5 mg/ml
Gliukozė 5% 1410
Nepatikslintas nesuderinamumas Nesuderinamas
Įpurškimas Etoposide phosphate
Įpurškimas Magnesium sulfate
3838
Suderinamas
Įpurškimas Etoposide phosphate 5 mg/ml
Įpurškimas Magnesium sulfate 100 mg/ml
Gliukozė 5% 1410
Suderinamas
Įpurškimas Etoposide phosphate 5 mg/ml
Įpurškimas Mannitol 150 mg/ml
Gliukozė 5% 1410
Suderinamas
Įpurškimas Etoposide phosphate 5 mg/ml
Įpurškimas Mesna 10 mg/ml
Gliukozė 5% 1410
Suderinamas
Įpurškimas Etoposide phosphate 5 mg/ml
Įpurškimas Methotrexate sodium 15 mg/ml
Gliukozė 5% 1410
Tiesioginis drumstumas Nesuderinamas
Įpurškimas Etoposide phosphate 5 mg/ml
Įpurškimas Methylprednisolone sodium succinate 5 mg/ml
Gliukozė 5% 1410
Suderinamas
Įpurškimas Etoposide phosphate 5 mg/ml
Įpurškimas Metoclopramide hydrochloride 5 mg/ml
Gliukozė 5% 1410
Suderinamas
Įpurškimas Etoposide phosphate 5 mg/ml
Įpurškimas Metronidazole 5 mg/ml
Gliukozė 5% 1410
Suderinamas
Įpurškimas Etoposide phosphate 5 mg/ml
Įpurškimas Minocycline hydrochloride 0.2 mg/ml
Gliukozė 5% 1410
Spalvos pasikeitimas po 4 valandų Nesuderinamas
Įpurškimas Etoposide phosphate 5 mg/ml
Įpurškimas Mitomycin 0.5 mg/ml
Gliukozė 5% 1410
Suderinamas
Įpurškimas Etoposide phosphate 5 mg/ml
Įpurškimas Mitoxantrone dihydrochloride 0.5 mg/ml
Gliukozė 5% 1410
Suderinamas
Įpurškimas Etoposide phosphate 5 mg/ml
Įpurškimas Morphine sulfate 1 mg/ml
Gliukozė 5% 1410
Suderinamas
Įpurškimas Etoposide phosphate 5 mg/ml
Įpurškimas Nalbuphine hydrochloride 10 mg/ml
Gliukozė 5% 1410
Suderinamas
Įpurškimas Etoposide phosphate 5 mg/ml
Įpurškimas Netilmicin sulfate 5 mg/ml
Gliukozė 5% 1410
Suderinamas
Įpurškimas Etoposide phosphate 5 mg/ml
Įpurškimas Ofloxacin 4 mg/ml
Gliukozė 5% 1410
Suderinamas
Įpurškimas Etoposide phosphate 5 mg/ml
Įpurškimas Ondansetron hydrochloride 1 mg/ml
Gliukozė 5% 1410
Suderinamas
Įpurškimas Etoposide phosphate 5 mg/ml
Įpurškimas Oxaliplatin 0,5 mg/ml
Gliukozė 5% 1662
Suderinamas
Įpurškimas Etoposide phosphate 5 mg/ml
Įpurškimas Paclitaxel 1.2 mg/ml
Gliukozė 5% 1410
Suderinamas
Įpurškimas Etoposide phosphate 5 mg/ml
Įpurškimas Pethidine hydrochloride 4 mg/ml
Gliukozė 5% 1410
Suderinamas
Įpurškimas Etoposide phosphate 5 mg/ml
Įpurškimas Piperacillin sodium 40 mg/ml
Gliukozė 5% 1410
Suderinamas
Įpurškimas Etoposide phosphate 5 mg/ml
Įpurškimas Piperacillin sodium / tazobactam 40/5 mg/ml
Natrio chloridas 0,9% 1410
Suderinamas
Įpurškimas Etoposide phosphate 5 mg/ml
Įpurškimas Potassium chloride 100 mEq/l
Gliukozė 5% 1410
Tiesioginis drumstumas Nesuderinamas
Įpurškimas Etoposide phosphate 5 mg/ml
Įpurškimas Prochlorperazine edysilate 0.5 mg/ml
Gliukozė 5% 1410
Suderinamas
Įpurškimas Etoposide phosphate 5 mg/ml
Įpurškimas Promethazine hydrochloride 2 mg/ml
Gliukozė 5% 1410
Suderinamas
Įpurškimas Etoposide phosphate 5 mg/ml
Įpurškimas Ranitidine hydrochloride 2 mg/ml
Gliukozė 5% 1410
Suderinamas
Įpurškimas Etoposide phosphate 5 mg/ml
Įpurškimas Sodium bicarbonate 84 mg/ml
Gliukozė 5% 1410
Suderinamas
Įpurškimas Etoposide phosphate 5 mg/ml
Įpurškimas Streptozocin 40 mg/ml
Gliukozė 5% 1410
Spalvos pasikeitimas po 4 valandų Nesuderinamas
Įpurškimas Etoposide phosphate 5 mg/ml
Įpurškimas Teniposide 0.1 mg/ml
Natrio chloridas 0,9% 1410
Suderinamas
Įpurškimas Etoposide phosphate 5 mg/ml
Įpurškimas Thiotepa 1 mg/ml
Gliukozė 5% 1410
Suderinamas
Įpurškimas Etoposide phosphate 5 mg/ml
Įpurškimas Ticarcillin / clavulanic acid 31 mg/ml
Gliukozė 5% 1410
Suderinamas
Įpurškimas Etoposide phosphate 5 mg/ml
Įpurškimas Tobramycin sulfate 5 mg/ml
Gliukozė 5% 1410
Suderinamas
Įpurškimas Etoposide phosphate 5 mg/ml
Įpurškimas Vancomycin hydrochloride 10 mg/ml
Gliukozė 5% 1410
Suderinamas
Įpurškimas Etoposide phosphate 5 mg/ml
Įpurškimas Vinblastine sulfate 0.12 mg/ml
Gliukozė 5% 1410
Suderinamas
Įpurškimas Etoposide phosphate 5 mg/ml
Įpurškimas Vincristine sulfate 0.05 mg/ml
Gliukozė 5% 1410
Suderinamas
Įpurškimas Etoposide phosphate 5 mg/ml
Įpurškimas Zidovudine 4 mg/ml
Gliukozė 5% 1410

  Mentions Légales