Last update :
27/04/2026
Anticancer drug   Etoposide phosphate  
injection
Stability in solutions Stability of mixtures Factors which affect stability Compatibility Route of administration References pdf
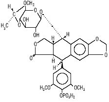
   Chemical structure  

Tradename   Tradename     

Trade names are indicative and excipients composition can be different depending on the country and manufacturers

Etopofos Austria, Greece, Sweden
Etopophos Belgium, Bulgaria, France, Germany, Great Britain, Israel, Luxembourg, Netherlands, New Zealand, Poland, Switzerland, United States of America
Compatibility   injection   Compatibility : Etoposide phosphate              
This screen indicates the compatibilities or incompatibilities with, in this case, the type of incompatibility (precipitation, color change, modification of an emulsion, etc.). The compatibilities shown here are mostly physical only, with the chemical stability of each molecule rarely being assessed. The evaluation of these mixtures was studied to consider the possibility of Y-site administration to the patient. These data cannot be used for making mixtures in advance in bags or syringes. This type of information is available in the screen "Stability in mixture ».
Compound Solvent References
Compatible
injection Etoposide phosphate 5 mg/ml
injection Aciclovir sodium 7 mg/ml
Glucose 5% 1410
Compatible
injection Etoposide phosphate 5 mg/ml
injection Amikacin sulfate 5 mg/ml
Glucose 5% 1410
Compatible
injection Etoposide phosphate 5 mg/ml
injection Aminophylline 2.5 mg/ml
Glucose 5% 1410
Immediate precipitation Incompatible
injection Etoposide phosphate 5 mg/ml
injection Amphotericin B 0.6 mg/ml
Glucose 5% 1410
Compatible
injection Etoposide phosphate 5 mg/ml
injection Ampicillin sodium 20 mg/ml
Glucose 5% 1410
Compatible
injection Etoposide phosphate 5 mg/ml
injection Ampicillin sodium - sulbactam sodium 20/10 mg/ml
Glucose 5% 1410
Compatible
injection Etoposide phosphate 5 mg/ml
injection Anidulafungin 0.5 mg/ml
Glucose 5% 1982
Compatible
injection Etoposide phosphate 5 mg/ml
injection Aztreonam 40 mg/ml
Glucose 5% 1410
Compatible
injection Etoposide phosphate 5 mg/ml
injection Bleomycin sulfate 1 mg/ml
Sodium chloride 0,9% 1410
Compatible
injection Etoposide phosphate 5 mg/ml
injection Bumetanide 0.04 mg/ml
Glucose 5% 1410
Compatible
injection Etoposide phosphate 5 mg/ml
injection Buprenorphine hydrochloride 0.04 mg/ml
Glucose 5% 1410
Compatible
injection Etoposide phosphate 5 mg/ml
injection Butorphanol tartrate 0.04 mg/ml
Glucose 5% 1410
Unspecified incompatibility Incompatible
injection Etoposide phosphate
injection Calcium gluconate
3644
Compatible
injection Etoposide phosphate 5 mg/ml
injection Calcium gluconate 40 mg/ml
Glucose 5% 1410
Compatible
injection Etoposide phosphate 5 mg/ml
injection Carboplatin 5 mg/ml
Glucose 5% 1410
Compatible
injection Etoposide phosphate 5 mg/ml
injection Carmustine 1.5 mg/ml
Glucose 5% 1410
Compatible
injection Etoposide phosphate 5 mg/ml
injection Caspofungin acetate 0,7 mg/ml
Sodium chloride 0,9% 2247
Compatible
injection Etoposide phosphate 5 mg/ml
injection Cefazolin sodium 20 mg/ml
Glucose 5% 1410
Immediate turbidity Incompatible
injection Etoposide phosphate 5 mg/ml
injection Cefepime dihydrochloride 20 mg/ml
Glucose 5% 1410
Compatible
injection Etoposide phosphate 5 mg/ml
injection Cefonicid sodium 20 mg/ml
Glucose 5% 1410
Compatible
injection Etoposide phosphate 5 mg/ml
injection Cefoperazone sodium 40 mg/ml
Glucose 5% 1410
Compatible
injection Etoposide phosphate 5 mg/ml
injection Cefotaxime sodium 20 mg/ml
Glucose 5% 1410
Compatible
injection Etoposide phosphate 5 mg/ml
injection Cefoxitin sodium 20 mg/ml
Glucose 5% 1410
Compatible
injection Etoposide phosphate 5 mg/ml
injection Ceftazidime 40 mg/ml
Glucose 5% 1410
Compatible
injection Etoposide phosphate 5 mg/ml
injection Ceftriaxone disodium 20 mg/ml
Glucose 5% 1410
Compatible
injection Etoposide phosphate
Glucose 5% 3655
Incompatible
injection Etoposide phosphate
injection Calcium gluconate
4964
Compatible
injection Etoposide phosphate 5 mg/ml
injection Ceftizoxime sodium 20 mg/ml
Glucose 5% 1410
Compatible
injection Etoposide phosphate 5 mg/ml
injection Cefuroxime sodium 30 mg/ml
Glucose 5% 1410
Immediate turbidity Incompatible
injection Etoposide phosphate 5 mg/ml
injection Chlorpromazine hydrochloride 2 mg/ml
Glucose 5% 1410
Compatible
injection Etoposide phosphate 5 mg/ml
injection Cimetidine hydrochloride 12 mg/ml
Glucose 5% 1410
Compatible
injection Etoposide phosphate 5 mg/ml
injection Ciprofloxacin lactate 1 mg/ml
Glucose 5% 1410
Compatible
injection Etoposide phosphate 5 mg/ml
injection Cisplatin 1 mg/ml
Glucose 5% 1410
Compatible
injection Etoposide phosphate 5 mg/ml
injection Clindamycin phosphate 10 mg/ml
Glucose 5% 1410
Compatible
injection Etoposide phosphate 5 mg/ml
injection Co-trimoxazole 0.8/4 mg/ml
Glucose 5% 1410
Compatible
injection Etoposide phosphate 5 mg/ml
injection Cyclophosphamide 10 mg/ml
Glucose 5% 1410
Compatible
injection Etoposide phosphate 5 mg/ml
injection Cytarabine 50 mg/ml
Glucose 5% 1410
Compatible
injection Etoposide phosphate 5 mg/ml
injection Dacarbazine 4 mg/ml
Glucose 5% 1410
Compatible
injection Etoposide phosphate 5 mg/ml
injection Dactinomycin 10 µg/ml
Glucose 5% 1410
Compatible
injection Etoposide phosphate 5 mg/ml
injection Daunorubicin hydrochloride 1 mg/ml
Glucose 5% 1410
Compatible
injection Etoposide phosphate 5 mg/ml
injection Dexamethasone sodium phosphate 1 mg/ml
Glucose 5% 1410
Compatible
injection Etoposide phosphate 5 mg/ml
injection Diphenhydramine hydrochloride 2 mg/ml
Glucose 5% 1410
Compatible
injection Etoposide phosphate 5 mg/ml
injection Dobutamine hydrochloride 4 mg/ml
Glucose 5% 1410
Compatible
injection Etoposide phosphate 5 mg/ml
injection Dopamine hydrochloride 3.2 mg/ml
Glucose 5% 1410
Compatible
injection Etoposide phosphate 5 mg/ml
injection Doripenem 5 mg/ml
Sodium chloride 0,9% 2262
Compatible
injection Etoposide phosphate 5 mg/ml
injection Doripenem 5 mg/ml
Glucose 5% 2262
Compatible
injection Etoposide phosphate 5 mg/ml
injection Doxorubicin hydrochloride 2 mg/ml
Glucose 5% 1410
Compatible
injection Etoposide phosphate 5 mg/ml
injection Doxycycline hyclate 1 mg/ml
Glucose 5% 1410
Compatible
injection Etoposide phosphate 5 mg/ml
injection Droperidol 0.4 mg/ml
Glucose 5% 1410
Compatible
injection Etoposide phosphate 5 mg/ml
injection Enalaprilate 0.1 mg/ml
Glucose 5% 1410
Compatible
injection Etoposide phosphate 5 mg/ml
injection Famotidine 2 mg/ml
Glucose 5% 1410
Compatible
injection Etoposide phosphate 5 mg/ml
injection Floxuridine 3 mg/ml
Glucose 5% 1410
Compatible
injection Etoposide phosphate 5 mg/ml
injection Fluconazole 2 mg/ml
Glucose 5% 1410
Compatible
injection Etoposide phosphate 5 mg/ml
injection Fludarabine phosphate 1 mg/ml
Glucose 5% 1410
Compatible
injection Etoposide phosphate 5 mg/ml
injection Fluorouracil 16 mg/ml
Glucose 5% 1410
Compatible
injection Etoposide phosphate 5 mg/ml
injection Folinate calcium 2 mg/ml
Glucose 5% 1410
Compatible
injection Etoposide phosphate 5 mg/ml
injection Furosemide 3 mg/ml
Glucose 5% 1410
Compatible
injection Etoposide phosphate 5 mg/ml
injection Gallium nitrate 0.4 mg/ml
Glucose 5% 1410
Compatible
injection Etoposide phosphate 5 mg/ml
injection Ganciclovir sodium 20 mg/ml
Glucose 5% 1410
Compatible
injection Etoposide phosphate 5 mg/ml
injection Gemcitabine hydrochloride 10 mg/ml
Sodium chloride 0,9% 1423
Compatible
injection Etoposide phosphate 5 mg/ml
injection Gentamicin sulfate 5 mg/ml
Glucose 5% 1410
Compatible
injection Etoposide phosphate 5 mg/ml
injection Granisetron hydrochloride 0.05 mg/ml
Glucose 5% 1410
Compatible
injection Etoposide phosphate 5 mg/ml
injection Haloperidol lactate 0.2 mg/ml
Glucose 5% 1410
Compatible
injection Etoposide phosphate 5 mg/ml
injection Heparin sodium 100 UI/ml
Glucose 5% 1410
Compatible
injection Etoposide phosphate 5 mg/ml
injection Hydrocortisone sodium succinate 1 mg/ml
Glucose 5% 1410
Compatible
injection Etoposide phosphate 5 mg/ml
injection Hydromorphone hydrochloride 0.5 mg/ml
Glucose 5% 1410
Compatible
injection Etoposide phosphate 5 mg/ml
injection Hydroxyzine dihydrochloride 4 mg/ml
Glucose 5% 1410
Compatible
injection Etoposide phosphate 5 mg/ml
injection Idarubicin hydrochloride 0.5 mg/ml
Glucose 5% 1410
Compatible
injection Etoposide phosphate 5 mg/ml
injection Ifosfamide 25 mg/ml
Glucose 5% 1410
Color change after 4 hours Incompatible
injection Etoposide phosphate 5 mg/ml
injection Imipenem - cilastatin sodium 10 mg/ml
Sodium chloride 0,9% 1410
Immediate precipitation Incompatible
injection Etoposide phosphate 5 mg/ml
injection Lansoprazole 0.55 mg/ml
Sodium chloride 0,9% 1625
Compatible
injection Etoposide phosphate 5 mg/ml
injection Linezolid 2 mg/ml
None 1925
Compatible
injection Etoposide phosphate
Sodium chloride 0,9% 3655
Compatible
injection Etoposide phosphate 5 mg/ml
injection Lorazepam 0.5 mg/ml
Glucose 5% 1410
Unspecified incompatibility Incompatible
injection Etoposide phosphate
injection Magnesium sulfate
3838
Compatible
injection Etoposide phosphate 5 mg/ml
injection Magnesium sulfate 100 mg/ml
Glucose 5% 1410
Compatible
injection Etoposide phosphate 5 mg/ml
injection Mannitol 150 mg/ml
Glucose 5% 1410
Compatible
injection Etoposide phosphate 5 mg/ml
injection Mesna 10 mg/ml
Glucose 5% 1410
Compatible
injection Etoposide phosphate 5 mg/ml
injection Methotrexate sodium 15 mg/ml
Glucose 5% 1410
Immediate turbidity Incompatible
injection Etoposide phosphate 5 mg/ml
injection Methylprednisolone sodium succinate 5 mg/ml
Glucose 5% 1410
Compatible
injection Etoposide phosphate 5 mg/ml
injection Metoclopramide hydrochloride 5 mg/ml
Glucose 5% 1410
Compatible
injection Etoposide phosphate 5 mg/ml
injection Metronidazole 5 mg/ml
Glucose 5% 1410
Compatible
injection Etoposide phosphate 5 mg/ml
injection Minocycline hydrochloride 0.2 mg/ml
Glucose 5% 1410
Color change after 4 hours Incompatible
injection Etoposide phosphate 5 mg/ml
injection Mitomycin 0.5 mg/ml
Glucose 5% 1410
Compatible
injection Etoposide phosphate 5 mg/ml
injection Mitoxantrone dihydrochloride 0.5 mg/ml
Glucose 5% 1410
Compatible
injection Etoposide phosphate 5 mg/ml
injection Morphine sulfate 1 mg/ml
Glucose 5% 1410
Compatible
injection Etoposide phosphate 5 mg/ml
injection Nalbuphine hydrochloride 10 mg/ml
Glucose 5% 1410
Compatible
injection Etoposide phosphate 5 mg/ml
injection Netilmicin sulfate 5 mg/ml
Glucose 5% 1410
Compatible
injection Etoposide phosphate 5 mg/ml
injection Ofloxacin 4 mg/ml
Glucose 5% 1410
Compatible
injection Etoposide phosphate 5 mg/ml
injection Ondansetron hydrochloride 1 mg/ml
Glucose 5% 1410
Compatible
injection Etoposide phosphate 5 mg/ml
injection Oxaliplatin 0,5 mg/ml
Glucose 5% 1662
Compatible
injection Etoposide phosphate 5 mg/ml
injection Paclitaxel 1.2 mg/ml
Glucose 5% 1410
Compatible
injection Etoposide phosphate 5 mg/ml
injection Pethidine hydrochloride 4 mg/ml
Glucose 5% 1410
Compatible
injection Etoposide phosphate 5 mg/ml
injection Piperacillin sodium 40 mg/ml
Glucose 5% 1410
Compatible
injection Etoposide phosphate 5 mg/ml
injection Piperacillin sodium / tazobactam 40/5 mg/ml
Sodium chloride 0,9% 1410
Compatible
injection Etoposide phosphate 5 mg/ml
injection Potassium chloride 100 mEq/l
Glucose 5% 1410
Immediate turbidity Incompatible
injection Etoposide phosphate 5 mg/ml
injection Prochlorperazine edysilate 0.5 mg/ml
Glucose 5% 1410
Compatible
injection Etoposide phosphate 5 mg/ml
injection Promethazine hydrochloride 2 mg/ml
Glucose 5% 1410
Compatible
injection Etoposide phosphate 5 mg/ml
injection Ranitidine hydrochloride 2 mg/ml
Glucose 5% 1410
Compatible
injection Etoposide phosphate 5 mg/ml
injection Sodium bicarbonate 84 mg/ml
Glucose 5% 1410
Compatible
injection Etoposide phosphate 5 mg/ml
injection Streptozocin 40 mg/ml
Glucose 5% 1410
Color change after 4 hours Incompatible
injection Etoposide phosphate 5 mg/ml
injection Teniposide 0.1 mg/ml
Sodium chloride 0,9% 1410
Compatible
injection Etoposide phosphate 5 mg/ml
injection Thiotepa 1 mg/ml
Glucose 5% 1410
Compatible
injection Etoposide phosphate 5 mg/ml
injection Ticarcillin / clavulanic acid 31 mg/ml
Glucose 5% 1410
Compatible
injection Etoposide phosphate 5 mg/ml
injection Tobramycin sulfate 5 mg/ml
Glucose 5% 1410
Compatible
injection Etoposide phosphate 5 mg/ml
injection Vancomycin hydrochloride 10 mg/ml
Glucose 5% 1410
Compatible
injection Etoposide phosphate 5 mg/ml
injection Vinblastine sulfate 0.12 mg/ml
Glucose 5% 1410
Compatible
injection Etoposide phosphate 5 mg/ml
injection Vincristine sulfate 0.05 mg/ml
Glucose 5% 1410
Compatible
injection Etoposide phosphate 5 mg/ml
injection Zidovudine 4 mg/ml
Glucose 5% 1410

  Mentions Légales