Последнее обновление :
27/04/2026
Цитостатическое средство   Etoposide phosphate  
Инъекция
Стабильность растворов Стабильность смесей Факторы, которые влияют на стабильность Совместимость Способы введения Библиография pdf
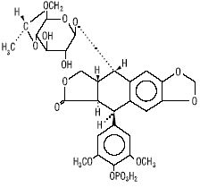
   Химическая структура  

Товарное название   Товарное название     

Trade names are indicative and excipients composition can be different depending on the country and manufacturers

Etopofos Австрия, Греция, Швеция
Etopophos Бельгия, Болгария, Великобритания, Германия, Голландия, Израиль, Люксембург, новая Зеландия, Польша, Соединённые Штаты Америки, Франция, Швейцария
Совместимость   Инъекция   Совместимость : Etoposide phosphate              
Эта таблица показывает совместимость или несовместимость препаратов, по возможности тип несовместимости (преципитат, смена цвета, разложение эмульсии и др.). Показанные здесь совместимости в основном физические, по возможности указана и химическая стабильность каждой молекулы. Анализ этих смесей произведён для исследования возможности ввести препараты пациенту в Y-соединении систем. Эти данные нельзя использовать, чтобы приготовить лекарства на будущее в мешках или шприцах. Эта информация доступна в разделе "Стабильность смесей".
Молекула Растворитель Ссылки
совместимый
Инъекция Etoposide phosphate 5 mg/ml
Инъекция Aciclovir sodium 7 mg/ml
Глюкоза 5% 1410
совместимый
Инъекция Etoposide phosphate 5 mg/ml
Инъекция Amikacin sulfate 5 mg/ml
Глюкоза 5% 1410
совместимый
Инъекция Etoposide phosphate 5 mg/ml
Инъекция Aminophylline 2.5 mg/ml
Глюкоза 5% 1410
Немедленные осадки несовместимый
Инъекция Etoposide phosphate 5 mg/ml
Инъекция Amphotericin B 0.6 mg/ml
Глюкоза 5% 1410
совместимый
Инъекция Etoposide phosphate 5 mg/ml
Инъекция Ampicillin sodium 20 mg/ml
Глюкоза 5% 1410
совместимый
Инъекция Etoposide phosphate 5 mg/ml
Инъекция Ampicillin sodium - sulbactam sodium 20/10 mg/ml
Глюкоза 5% 1410
совместимый
Инъекция Etoposide phosphate 5 mg/ml
Инъекция Anidulafungin 0.5 mg/ml
Глюкоза 5% 1982
совместимый
Инъекция Etoposide phosphate 5 mg/ml
Инъекция Aztreonam 40 mg/ml
Глюкоза 5% 1410
совместимый
Инъекция Etoposide phosphate 5 mg/ml
Инъекция Bleomycin sulfate 1 mg/ml
Натрия хлорид 0,9% 1410
совместимый
Инъекция Etoposide phosphate 5 mg/ml
Инъекция Bumetanide 0.04 mg/ml
Глюкоза 5% 1410
совместимый
Инъекция Etoposide phosphate 5 mg/ml
Инъекция Buprenorphine hydrochloride 0.04 mg/ml
Глюкоза 5% 1410
совместимый
Инъекция Etoposide phosphate 5 mg/ml
Инъекция Butorphanol tartrate 0.04 mg/ml
Глюкоза 5% 1410
Неопределенная несовместимость несовместимый
Инъекция Etoposide phosphate
Инъекция Calcium gluconate
3644
совместимый
Инъекция Etoposide phosphate 5 mg/ml
Инъекция Calcium gluconate 40 mg/ml
Глюкоза 5% 1410
совместимый
Инъекция Etoposide phosphate 5 mg/ml
Инъекция Carboplatin 5 mg/ml
Глюкоза 5% 1410
совместимый
Инъекция Etoposide phosphate 5 mg/ml
Инъекция Carmustine 1.5 mg/ml
Глюкоза 5% 1410
совместимый
Инъекция Etoposide phosphate 5 mg/ml
Инъекция Caspofungin acetate 0,7 mg/ml
Натрия хлорид 0,9% 2247
совместимый
Инъекция Etoposide phosphate 5 mg/ml
Инъекция Cefazolin sodium 20 mg/ml
Глюкоза 5% 1410
Немедленная мутность несовместимый
Инъекция Etoposide phosphate 5 mg/ml
Инъекция Cefepime dihydrochloride 20 mg/ml
Глюкоза 5% 1410
совместимый
Инъекция Etoposide phosphate 5 mg/ml
Инъекция Cefonicid sodium 20 mg/ml
Глюкоза 5% 1410
совместимый
Инъекция Etoposide phosphate 5 mg/ml
Инъекция Cefoperazone sodium 40 mg/ml
Глюкоза 5% 1410
совместимый
Инъекция Etoposide phosphate 5 mg/ml
Инъекция Cefotaxime sodium 20 mg/ml
Глюкоза 5% 1410
совместимый
Инъекция Etoposide phosphate 5 mg/ml
Инъекция Cefoxitin sodium 20 mg/ml
Глюкоза 5% 1410
совместимый
Инъекция Etoposide phosphate 5 mg/ml
Инъекция Ceftazidime 40 mg/ml
Глюкоза 5% 1410
совместимый
Инъекция Etoposide phosphate 5 mg/ml
Инъекция Ceftriaxone disodium 20 mg/ml
Глюкоза 5% 1410
совместимый
Инъекция Etoposide phosphate
Глюкоза 5% 3655
несовместимый
Инъекция Etoposide phosphate
Инъекция Calcium gluconate
4964
совместимый
Инъекция Etoposide phosphate 5 mg/ml
Инъекция Ceftizoxime sodium 20 mg/ml
Глюкоза 5% 1410
совместимый
Инъекция Etoposide phosphate 5 mg/ml
Инъекция Cefuroxime sodium 30 mg/ml
Глюкоза 5% 1410
Немедленная мутность несовместимый
Инъекция Etoposide phosphate 5 mg/ml
Инъекция Chlorpromazine hydrochloride 2 mg/ml
Глюкоза 5% 1410
совместимый
Инъекция Etoposide phosphate 5 mg/ml
Инъекция Cimetidine hydrochloride 12 mg/ml
Глюкоза 5% 1410
совместимый
Инъекция Etoposide phosphate 5 mg/ml
Инъекция Ciprofloxacin lactate 1 mg/ml
Глюкоза 5% 1410
совместимый
Инъекция Etoposide phosphate 5 mg/ml
Инъекция Cisplatin 1 mg/ml
Глюкоза 5% 1410
совместимый
Инъекция Etoposide phosphate 5 mg/ml
Инъекция Clindamycin phosphate 10 mg/ml
Глюкоза 5% 1410
совместимый
Инъекция Etoposide phosphate 5 mg/ml
Инъекция Co-trimoxazole 0.8/4 mg/ml
Глюкоза 5% 1410
совместимый
Инъекция Etoposide phosphate 5 mg/ml
Инъекция Cyclophosphamide 10 mg/ml
Глюкоза 5% 1410
совместимый
Инъекция Etoposide phosphate 5 mg/ml
Инъекция Cytarabine 50 mg/ml
Глюкоза 5% 1410
совместимый
Инъекция Etoposide phosphate 5 mg/ml
Инъекция Dacarbazine 4 mg/ml
Глюкоза 5% 1410
совместимый
Инъекция Etoposide phosphate 5 mg/ml
Инъекция Dactinomycin 10 µg/ml
Глюкоза 5% 1410
совместимый
Инъекция Etoposide phosphate 5 mg/ml
Инъекция Daunorubicin hydrochloride 1 mg/ml
Глюкоза 5% 1410
совместимый
Инъекция Etoposide phosphate 5 mg/ml
Инъекция Dexamethasone sodium phosphate 1 mg/ml
Глюкоза 5% 1410
совместимый
Инъекция Etoposide phosphate 5 mg/ml
Инъекция Diphenhydramine hydrochloride 2 mg/ml
Глюкоза 5% 1410
совместимый
Инъекция Etoposide phosphate 5 mg/ml
Инъекция Dobutamine hydrochloride 4 mg/ml
Глюкоза 5% 1410
совместимый
Инъекция Etoposide phosphate 5 mg/ml
Инъекция Dopamine hydrochloride 3.2 mg/ml
Глюкоза 5% 1410
совместимый
Инъекция Etoposide phosphate 5 mg/ml
Инъекция Doripenem 5 mg/ml
Натрия хлорид 0,9% 2262
совместимый
Инъекция Etoposide phosphate 5 mg/ml
Инъекция Doripenem 5 mg/ml
Глюкоза 5% 2262
совместимый
Инъекция Etoposide phosphate 5 mg/ml
Инъекция Doxorubicin hydrochloride 2 mg/ml
Глюкоза 5% 1410
совместимый
Инъекция Etoposide phosphate 5 mg/ml
Инъекция Doxycycline hyclate 1 mg/ml
Глюкоза 5% 1410
совместимый
Инъекция Etoposide phosphate 5 mg/ml
Инъекция Droperidol 0.4 mg/ml
Глюкоза 5% 1410
совместимый
Инъекция Etoposide phosphate 5 mg/ml
Инъекция Enalaprilate 0.1 mg/ml
Глюкоза 5% 1410
совместимый
Инъекция Etoposide phosphate 5 mg/ml
Инъекция Famotidine 2 mg/ml
Глюкоза 5% 1410
совместимый
Инъекция Etoposide phosphate 5 mg/ml
Инъекция Floxuridine 3 mg/ml
Глюкоза 5% 1410
совместимый
Инъекция Etoposide phosphate 5 mg/ml
Инъекция Fluconazole 2 mg/ml
Глюкоза 5% 1410
совместимый
Инъекция Etoposide phosphate 5 mg/ml
Инъекция Fludarabine phosphate 1 mg/ml
Глюкоза 5% 1410
совместимый
Инъекция Etoposide phosphate 5 mg/ml
Инъекция Fluorouracil 16 mg/ml
Глюкоза 5% 1410
совместимый
Инъекция Etoposide phosphate 5 mg/ml
Инъекция Folinate calcium 2 mg/ml
Глюкоза 5% 1410
совместимый
Инъекция Etoposide phosphate 5 mg/ml
Инъекция Furosemide 3 mg/ml
Глюкоза 5% 1410
совместимый
Инъекция Etoposide phosphate 5 mg/ml
Инъекция Gallium nitrate 0.4 mg/ml
Глюкоза 5% 1410
совместимый
Инъекция Etoposide phosphate 5 mg/ml
Инъекция Ganciclovir sodium 20 mg/ml
Глюкоза 5% 1410
совместимый
Инъекция Etoposide phosphate 5 mg/ml
Инъекция Gemcitabine hydrochloride 10 mg/ml
Натрия хлорид 0,9% 1423
совместимый
Инъекция Etoposide phosphate 5 mg/ml
Инъекция Gentamicin sulfate 5 mg/ml
Глюкоза 5% 1410
совместимый
Инъекция Etoposide phosphate 5 mg/ml
Инъекция Granisetron hydrochloride 0.05 mg/ml
Глюкоза 5% 1410
совместимый
Инъекция Etoposide phosphate 5 mg/ml
Инъекция Haloperidol lactate 0.2 mg/ml
Глюкоза 5% 1410
совместимый
Инъекция Etoposide phosphate 5 mg/ml
Инъекция Heparin sodium 100 UI/ml
Глюкоза 5% 1410
совместимый
Инъекция Etoposide phosphate 5 mg/ml
Инъекция Hydrocortisone sodium succinate 1 mg/ml
Глюкоза 5% 1410
совместимый
Инъекция Etoposide phosphate 5 mg/ml
Инъекция Hydromorphone hydrochloride 0.5 mg/ml
Глюкоза 5% 1410
совместимый
Инъекция Etoposide phosphate 5 mg/ml
Инъекция Hydroxyzine dihydrochloride 4 mg/ml
Глюкоза 5% 1410
совместимый
Инъекция Etoposide phosphate 5 mg/ml
Инъекция Idarubicin hydrochloride 0.5 mg/ml
Глюкоза 5% 1410
совместимый
Инъекция Etoposide phosphate 5 mg/ml
Инъекция Ifosfamide 25 mg/ml
Глюкоза 5% 1410
Смена цвета через 4 часа несовместимый
Инъекция Etoposide phosphate 5 mg/ml
Инъекция Imipenem - cilastatin sodium 10 mg/ml
Натрия хлорид 0,9% 1410
Немедленные осадки несовместимый
Инъекция Etoposide phosphate 5 mg/ml
Инъекция Lansoprazole 0.55 mg/ml
Натрия хлорид 0,9% 1625
совместимый
Инъекция Etoposide phosphate 5 mg/ml
Инъекция Linezolid 2 mg/ml
Нет 1925
совместимый
Инъекция Etoposide phosphate
Натрия хлорид 0,9% 3655
совместимый
Инъекция Etoposide phosphate 5 mg/ml
Инъекция Lorazepam 0.5 mg/ml
Глюкоза 5% 1410
Неопределенная несовместимость несовместимый
Инъекция Etoposide phosphate
Инъекция Magnesium sulfate
3838
совместимый
Инъекция Etoposide phosphate 5 mg/ml
Инъекция Magnesium sulfate 100 mg/ml
Глюкоза 5% 1410
совместимый
Инъекция Etoposide phosphate 5 mg/ml
Инъекция Mannitol 150 mg/ml
Глюкоза 5% 1410
совместимый
Инъекция Etoposide phosphate 5 mg/ml
Инъекция Mesna 10 mg/ml
Глюкоза 5% 1410
совместимый
Инъекция Etoposide phosphate 5 mg/ml
Инъекция Methotrexate sodium 15 mg/ml
Глюкоза 5% 1410
Немедленная мутность несовместимый
Инъекция Etoposide phosphate 5 mg/ml
Инъекция Methylprednisolone sodium succinate 5 mg/ml
Глюкоза 5% 1410
совместимый
Инъекция Etoposide phosphate 5 mg/ml
Инъекция Metoclopramide hydrochloride 5 mg/ml
Глюкоза 5% 1410
совместимый
Инъекция Etoposide phosphate 5 mg/ml
Инъекция Metronidazole 5 mg/ml
Глюкоза 5% 1410
совместимый
Инъекция Etoposide phosphate 5 mg/ml
Инъекция Minocycline hydrochloride 0.2 mg/ml
Глюкоза 5% 1410
Смена цвета через 4 часа несовместимый
Инъекция Etoposide phosphate 5 mg/ml
Инъекция Mitomycin 0.5 mg/ml
Глюкоза 5% 1410
совместимый
Инъекция Etoposide phosphate 5 mg/ml
Инъекция Mitoxantrone dihydrochloride 0.5 mg/ml
Глюкоза 5% 1410
совместимый
Инъекция Etoposide phosphate 5 mg/ml
Инъекция Morphine sulfate 1 mg/ml
Глюкоза 5% 1410
совместимый
Инъекция Etoposide phosphate 5 mg/ml
Инъекция Nalbuphine hydrochloride 10 mg/ml
Глюкоза 5% 1410
совместимый
Инъекция Etoposide phosphate 5 mg/ml
Инъекция Netilmicin sulfate 5 mg/ml
Глюкоза 5% 1410
совместимый
Инъекция Etoposide phosphate 5 mg/ml
Инъекция Ofloxacin 4 mg/ml
Глюкоза 5% 1410
совместимый
Инъекция Etoposide phosphate 5 mg/ml
Инъекция Ondansetron hydrochloride 1 mg/ml
Глюкоза 5% 1410
совместимый
Инъекция Etoposide phosphate 5 mg/ml
Инъекция Oxaliplatin 0,5 mg/ml
Глюкоза 5% 1662
совместимый
Инъекция Etoposide phosphate 5 mg/ml
Инъекция Paclitaxel 1.2 mg/ml
Глюкоза 5% 1410
совместимый
Инъекция Etoposide phosphate 5 mg/ml
Инъекция Pethidine hydrochloride 4 mg/ml
Глюкоза 5% 1410
совместимый
Инъекция Etoposide phosphate 5 mg/ml
Инъекция Piperacillin sodium 40 mg/ml
Глюкоза 5% 1410
совместимый
Инъекция Etoposide phosphate 5 mg/ml
Инъекция Piperacillin sodium / tazobactam 40/5 mg/ml
Натрия хлорид 0,9% 1410
совместимый
Инъекция Etoposide phosphate 5 mg/ml
Инъекция Potassium chloride 100 mEq/l
Глюкоза 5% 1410
Немедленная мутность несовместимый
Инъекция Etoposide phosphate 5 mg/ml
Инъекция Prochlorperazine edysilate 0.5 mg/ml
Глюкоза 5% 1410
совместимый
Инъекция Etoposide phosphate 5 mg/ml
Инъекция Promethazine hydrochloride 2 mg/ml
Глюкоза 5% 1410
совместимый
Инъекция Etoposide phosphate 5 mg/ml
Инъекция Ranitidine hydrochloride 2 mg/ml
Глюкоза 5% 1410
совместимый
Инъекция Etoposide phosphate 5 mg/ml
Инъекция Sodium bicarbonate 84 mg/ml
Глюкоза 5% 1410
совместимый
Инъекция Etoposide phosphate 5 mg/ml
Инъекция Streptozocin 40 mg/ml
Глюкоза 5% 1410
Смена цвета через 4 часа несовместимый
Инъекция Etoposide phosphate 5 mg/ml
Инъекция Teniposide 0.1 mg/ml
Натрия хлорид 0,9% 1410
совместимый
Инъекция Etoposide phosphate 5 mg/ml
Инъекция Thiotepa 1 mg/ml
Глюкоза 5% 1410
совместимый
Инъекция Etoposide phosphate 5 mg/ml
Инъекция Ticarcillin / clavulanic acid 31 mg/ml
Глюкоза 5% 1410
совместимый
Инъекция Etoposide phosphate 5 mg/ml
Инъекция Tobramycin sulfate 5 mg/ml
Глюкоза 5% 1410
совместимый
Инъекция Etoposide phosphate 5 mg/ml
Инъекция Vancomycin hydrochloride 10 mg/ml
Глюкоза 5% 1410
совместимый
Инъекция Etoposide phosphate 5 mg/ml
Инъекция Vinblastine sulfate 0.12 mg/ml
Глюкоза 5% 1410
совместимый
Инъекция Etoposide phosphate 5 mg/ml
Инъекция Vincristine sulfate 0.05 mg/ml
Глюкоза 5% 1410
совместимый
Инъекция Etoposide phosphate 5 mg/ml
Инъекция Zidovudine 4 mg/ml
Глюкоза 5% 1410

  Mentions Légales