Son güncelleme :
27/04/2026
kanser ilaç   Etoposide phosphate  
Enjeksiyon
Çözeltilerin stabilitesi Karışımlardaki stabilitesi Stabiliteyi etkileyen faktörler Uyumluluk Uygulama yöntemi Kaynaklar pdf
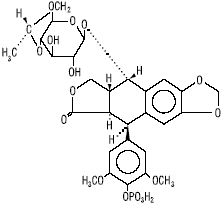
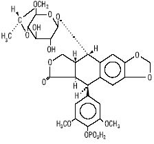
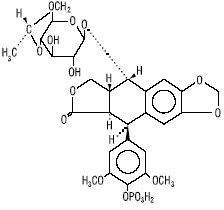
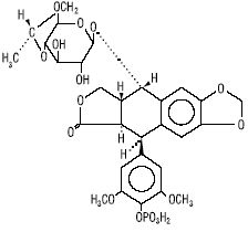
   Kimyasal yapı   

Ticari isim   Ticari isim     

Trade names are indicative and excipients composition can be different depending on the country and manufacturers

Etopofos Avusturya, İsveç, Yunanistan
Etopophos Almanya, Amerika Birleşik Devletleri, Belçika, Bulgaristan, Büyük Britanya, Fransa, Hollanda, İsrail, İsviçre, Lüksemburg, Polonya, yeni Zelanda
Uyumluluk   Enjeksiyon    Uyumluluk : Etoposide phosphate              
Bu ekran, bu durumda uyumsuzluk tipiyle (çökelme, renk değişimi, bir emülsiyonun modifikasyonu, vb.) Uyumlulukları veya uyumsuzlukları gösterir. Burada gösterilen uyumluluklar çoğunlukla yalnızca fizikseldir ve her molekülün kimyasal stabilitesi nadiren değerlendirilir. Bu karışımların değerlendirilmesi, hastaya Y bölgesi uygulama olasılığını göz önünde bulundurmak için çalışıldı. Bu veriler önceden torba veya şırıngalarda karışım yapmak için kullanılamaz. Bu tür bilgiler "Karışımda stabilite" ekranında mevcuttur.
Bileşik Çözücü Kaynaklar
Uyumlu
Enjeksiyon Etoposide phosphate 5 mg/ml
Enjeksiyon Aciclovir sodium 7 mg/ml
Glukoz %5 1410
Uyumlu
Enjeksiyon Etoposide phosphate 5 mg/ml
Enjeksiyon Amikacin sulfate 5 mg/ml
Glukoz %5 1410
Uyumlu
Enjeksiyon Etoposide phosphate 5 mg/ml
Enjeksiyon Aminophylline 2.5 mg/ml
Glukoz %5 1410
Acil yağış uyumsuz
Enjeksiyon Etoposide phosphate 5 mg/ml
Enjeksiyon Amphotericin B 0.6 mg/ml
Glukoz %5 1410
Uyumlu
Enjeksiyon Etoposide phosphate 5 mg/ml
Enjeksiyon Ampicillin sodium 20 mg/ml
Glukoz %5 1410
Uyumlu
Enjeksiyon Etoposide phosphate 5 mg/ml
Enjeksiyon Ampicillin sodium - sulbactam sodium 20/10 mg/ml
Glukoz %5 1410
Uyumlu
Enjeksiyon Etoposide phosphate 5 mg/ml
Enjeksiyon Anidulafungin 0.5 mg/ml
Glukoz %5 1982
Uyumlu
Enjeksiyon Etoposide phosphate 5 mg/ml
Enjeksiyon Aztreonam 40 mg/ml
Glukoz %5 1410
Uyumlu
Enjeksiyon Etoposide phosphate 5 mg/ml
Enjeksiyon Bleomycin sulfate 1 mg/ml
Sodyum klorür % 0,9 1410
Uyumlu
Enjeksiyon Etoposide phosphate 5 mg/ml
Enjeksiyon Bumetanide 0.04 mg/ml
Glukoz %5 1410
Uyumlu
Enjeksiyon Etoposide phosphate 5 mg/ml
Enjeksiyon Buprenorphine hydrochloride 0.04 mg/ml
Glukoz %5 1410
Uyumlu
Enjeksiyon Etoposide phosphate 5 mg/ml
Enjeksiyon Butorphanol tartrate 0.04 mg/ml
Glukoz %5 1410
Belirtilmemiş uyumsuzluk uyumsuz
Enjeksiyon Etoposide phosphate
Enjeksiyon Calcium gluconate
3644
Uyumlu
Enjeksiyon Etoposide phosphate 5 mg/ml
Enjeksiyon Calcium gluconate 40 mg/ml
Glukoz %5 1410
Uyumlu
Enjeksiyon Etoposide phosphate 5 mg/ml
Enjeksiyon Carboplatin 5 mg/ml
Glukoz %5 1410
Uyumlu
Enjeksiyon Etoposide phosphate 5 mg/ml
Enjeksiyon Carmustine 1.5 mg/ml
Glukoz %5 1410
Uyumlu
Enjeksiyon Etoposide phosphate 5 mg/ml
Enjeksiyon Caspofungin acetate 0,7 mg/ml
Sodyum klorür % 0,9 2247
Uyumlu
Enjeksiyon Etoposide phosphate 5 mg/ml
Enjeksiyon Cefazolin sodium 20 mg/ml
Glukoz %5 1410
Anında bulanıklık uyumsuz
Enjeksiyon Etoposide phosphate 5 mg/ml
Enjeksiyon Cefepime dihydrochloride 20 mg/ml
Glukoz %5 1410
Uyumlu
Enjeksiyon Etoposide phosphate 5 mg/ml
Enjeksiyon Cefonicid sodium 20 mg/ml
Glukoz %5 1410
Uyumlu
Enjeksiyon Etoposide phosphate 5 mg/ml
Enjeksiyon Cefoperazone sodium 40 mg/ml
Glukoz %5 1410
Uyumlu
Enjeksiyon Etoposide phosphate 5 mg/ml
Enjeksiyon Cefotaxime sodium 20 mg/ml
Glukoz %5 1410
Uyumlu
Enjeksiyon Etoposide phosphate 5 mg/ml
Enjeksiyon Cefoxitin sodium 20 mg/ml
Glukoz %5 1410
Uyumlu
Enjeksiyon Etoposide phosphate 5 mg/ml
Enjeksiyon Ceftazidime 40 mg/ml
Glukoz %5 1410
Uyumlu
Enjeksiyon Etoposide phosphate 5 mg/ml
Enjeksiyon Ceftriaxone disodium 20 mg/ml
Glukoz %5 1410
Uyumlu
Enjeksiyon Etoposide phosphate
Glukoz %5 3655
uyumsuz
Enjeksiyon Etoposide phosphate
Enjeksiyon Calcium gluconate
4964
Uyumlu
Enjeksiyon Etoposide phosphate 5 mg/ml
Enjeksiyon Ceftizoxime sodium 20 mg/ml
Glukoz %5 1410
Uyumlu
Enjeksiyon Etoposide phosphate 5 mg/ml
Enjeksiyon Cefuroxime sodium 30 mg/ml
Glukoz %5 1410
Anında bulanıklık uyumsuz
Enjeksiyon Etoposide phosphate 5 mg/ml
Enjeksiyon Chlorpromazine hydrochloride 2 mg/ml
Glukoz %5 1410
Uyumlu
Enjeksiyon Etoposide phosphate 5 mg/ml
Enjeksiyon Cimetidine hydrochloride 12 mg/ml
Glukoz %5 1410
Uyumlu
Enjeksiyon Etoposide phosphate 5 mg/ml
Enjeksiyon Ciprofloxacin lactate 1 mg/ml
Glukoz %5 1410
Uyumlu
Enjeksiyon Etoposide phosphate 5 mg/ml
Enjeksiyon Cisplatin 1 mg/ml
Glukoz %5 1410
Uyumlu
Enjeksiyon Etoposide phosphate 5 mg/ml
Enjeksiyon Clindamycin phosphate 10 mg/ml
Glukoz %5 1410
Uyumlu
Enjeksiyon Etoposide phosphate 5 mg/ml
Enjeksiyon Co-trimoxazole 0.8/4 mg/ml
Glukoz %5 1410
Uyumlu
Enjeksiyon Etoposide phosphate 5 mg/ml
Enjeksiyon Cyclophosphamide 10 mg/ml
Glukoz %5 1410
Uyumlu
Enjeksiyon Etoposide phosphate 5 mg/ml
Enjeksiyon Cytarabine 50 mg/ml
Glukoz %5 1410
Uyumlu
Enjeksiyon Etoposide phosphate 5 mg/ml
Enjeksiyon Dacarbazine 4 mg/ml
Glukoz %5 1410
Uyumlu
Enjeksiyon Etoposide phosphate 5 mg/ml
Enjeksiyon Dactinomycin 10 µg/ml
Glukoz %5 1410
Uyumlu
Enjeksiyon Etoposide phosphate 5 mg/ml
Enjeksiyon Daunorubicin hydrochloride 1 mg/ml
Glukoz %5 1410
Uyumlu
Enjeksiyon Etoposide phosphate 5 mg/ml
Enjeksiyon Dexamethasone sodium phosphate 1 mg/ml
Glukoz %5 1410
Uyumlu
Enjeksiyon Etoposide phosphate 5 mg/ml
Enjeksiyon Diphenhydramine hydrochloride 2 mg/ml
Glukoz %5 1410
Uyumlu
Enjeksiyon Etoposide phosphate 5 mg/ml
Enjeksiyon Dobutamine hydrochloride 4 mg/ml
Glukoz %5 1410
Uyumlu
Enjeksiyon Etoposide phosphate 5 mg/ml
Enjeksiyon Dopamine hydrochloride 3.2 mg/ml
Glukoz %5 1410
Uyumlu
Enjeksiyon Etoposide phosphate 5 mg/ml
Enjeksiyon Doripenem 5 mg/ml
Sodyum klorür % 0,9 2262
Uyumlu
Enjeksiyon Etoposide phosphate 5 mg/ml
Enjeksiyon Doripenem 5 mg/ml
Glukoz %5 2262
Uyumlu
Enjeksiyon Etoposide phosphate 5 mg/ml
Enjeksiyon Doxorubicin hydrochloride 2 mg/ml
Glukoz %5 1410
Uyumlu
Enjeksiyon Etoposide phosphate 5 mg/ml
Enjeksiyon Doxycycline hyclate 1 mg/ml
Glukoz %5 1410
Uyumlu
Enjeksiyon Etoposide phosphate 5 mg/ml
Enjeksiyon Droperidol 0.4 mg/ml
Glukoz %5 1410
Uyumlu
Enjeksiyon Etoposide phosphate 5 mg/ml
Enjeksiyon Enalaprilate 0.1 mg/ml
Glukoz %5 1410
Uyumlu
Enjeksiyon Etoposide phosphate 5 mg/ml
Enjeksiyon Famotidine 2 mg/ml
Glukoz %5 1410
Uyumlu
Enjeksiyon Etoposide phosphate 5 mg/ml
Enjeksiyon Floxuridine 3 mg/ml
Glukoz %5 1410
Uyumlu
Enjeksiyon Etoposide phosphate 5 mg/ml
Enjeksiyon Fluconazole 2 mg/ml
Glukoz %5 1410
Uyumlu
Enjeksiyon Etoposide phosphate 5 mg/ml
Enjeksiyon Fludarabine phosphate 1 mg/ml
Glukoz %5 1410
Uyumlu
Enjeksiyon Etoposide phosphate 5 mg/ml
Enjeksiyon Fluorouracil 16 mg/ml
Glukoz %5 1410
Uyumlu
Enjeksiyon Etoposide phosphate 5 mg/ml
Enjeksiyon Folinate calcium 2 mg/ml
Glukoz %5 1410
Uyumlu
Enjeksiyon Etoposide phosphate 5 mg/ml
Enjeksiyon Furosemide 3 mg/ml
Glukoz %5 1410
Uyumlu
Enjeksiyon Etoposide phosphate 5 mg/ml
Enjeksiyon Gallium nitrate 0.4 mg/ml
Glukoz %5 1410
Uyumlu
Enjeksiyon Etoposide phosphate 5 mg/ml
Enjeksiyon Ganciclovir sodium 20 mg/ml
Glukoz %5 1410
Uyumlu
Enjeksiyon Etoposide phosphate 5 mg/ml
Enjeksiyon Gemcitabine hydrochloride 10 mg/ml
Sodyum klorür % 0,9 1423
Uyumlu
Enjeksiyon Etoposide phosphate 5 mg/ml
Enjeksiyon Gentamicin sulfate 5 mg/ml
Glukoz %5 1410
Uyumlu
Enjeksiyon Etoposide phosphate 5 mg/ml
Enjeksiyon Granisetron hydrochloride 0.05 mg/ml
Glukoz %5 1410
Uyumlu
Enjeksiyon Etoposide phosphate 5 mg/ml
Enjeksiyon Haloperidol lactate 0.2 mg/ml
Glukoz %5 1410
Uyumlu
Enjeksiyon Etoposide phosphate 5 mg/ml
Enjeksiyon Heparin sodium 100 UI/ml
Glukoz %5 1410
Uyumlu
Enjeksiyon Etoposide phosphate 5 mg/ml
Enjeksiyon Hydrocortisone sodium succinate 1 mg/ml
Glukoz %5 1410
Uyumlu
Enjeksiyon Etoposide phosphate 5 mg/ml
Enjeksiyon Hydromorphone hydrochloride 0.5 mg/ml
Glukoz %5 1410
Uyumlu
Enjeksiyon Etoposide phosphate 5 mg/ml
Enjeksiyon Hydroxyzine dihydrochloride 4 mg/ml
Glukoz %5 1410
Uyumlu
Enjeksiyon Etoposide phosphate 5 mg/ml
Enjeksiyon Idarubicin hydrochloride 0.5 mg/ml
Glukoz %5 1410
Uyumlu
Enjeksiyon Etoposide phosphate 5 mg/ml
Enjeksiyon Ifosfamide 25 mg/ml
Glukoz %5 1410
4 saat sonra renk değişimi uyumsuz
Enjeksiyon Etoposide phosphate 5 mg/ml
Enjeksiyon Imipenem - cilastatin sodium 10 mg/ml
Sodyum klorür % 0,9 1410
Acil yağış uyumsuz
Enjeksiyon Etoposide phosphate 5 mg/ml
Enjeksiyon Lansoprazole 0.55 mg/ml
Sodyum klorür % 0,9 1625
Uyumlu
Enjeksiyon Etoposide phosphate 5 mg/ml
Enjeksiyon Linezolid 2 mg/ml
Yok 1925
Uyumlu
Enjeksiyon Etoposide phosphate
Sodyum klorür % 0,9 3655
Uyumlu
Enjeksiyon Etoposide phosphate 5 mg/ml
Enjeksiyon Lorazepam 0.5 mg/ml
Glukoz %5 1410
Belirtilmemiş uyumsuzluk uyumsuz
Enjeksiyon Etoposide phosphate
Enjeksiyon Magnesium sulfate
3838
Uyumlu
Enjeksiyon Etoposide phosphate 5 mg/ml
Enjeksiyon Magnesium sulfate 100 mg/ml
Glukoz %5 1410
Uyumlu
Enjeksiyon Etoposide phosphate 5 mg/ml
Enjeksiyon Mannitol 150 mg/ml
Glukoz %5 1410
Uyumlu
Enjeksiyon Etoposide phosphate 5 mg/ml
Enjeksiyon Mesna 10 mg/ml
Glukoz %5 1410
Uyumlu
Enjeksiyon Etoposide phosphate 5 mg/ml
Enjeksiyon Methotrexate sodium 15 mg/ml
Glukoz %5 1410
Anında bulanıklık uyumsuz
Enjeksiyon Etoposide phosphate 5 mg/ml
Enjeksiyon Methylprednisolone sodium succinate 5 mg/ml
Glukoz %5 1410
Uyumlu
Enjeksiyon Etoposide phosphate 5 mg/ml
Enjeksiyon Metoclopramide hydrochloride 5 mg/ml
Glukoz %5 1410
Uyumlu
Enjeksiyon Etoposide phosphate 5 mg/ml
Enjeksiyon Metronidazole 5 mg/ml
Glukoz %5 1410
Uyumlu
Enjeksiyon Etoposide phosphate 5 mg/ml
Enjeksiyon Minocycline hydrochloride 0.2 mg/ml
Glukoz %5 1410
4 saat sonra renk değişimi uyumsuz
Enjeksiyon Etoposide phosphate 5 mg/ml
Enjeksiyon Mitomycin 0.5 mg/ml
Glukoz %5 1410
Uyumlu
Enjeksiyon Etoposide phosphate 5 mg/ml
Enjeksiyon Mitoxantrone dihydrochloride 0.5 mg/ml
Glukoz %5 1410
Uyumlu
Enjeksiyon Etoposide phosphate 5 mg/ml
Enjeksiyon Morphine sulfate 1 mg/ml
Glukoz %5 1410
Uyumlu
Enjeksiyon Etoposide phosphate 5 mg/ml
Enjeksiyon Nalbuphine hydrochloride 10 mg/ml
Glukoz %5 1410
Uyumlu
Enjeksiyon Etoposide phosphate 5 mg/ml
Enjeksiyon Netilmicin sulfate 5 mg/ml
Glukoz %5 1410
Uyumlu
Enjeksiyon Etoposide phosphate 5 mg/ml
Enjeksiyon Ofloxacin 4 mg/ml
Glukoz %5 1410
Uyumlu
Enjeksiyon Etoposide phosphate 5 mg/ml
Enjeksiyon Ondansetron hydrochloride 1 mg/ml
Glukoz %5 1410
Uyumlu
Enjeksiyon Etoposide phosphate 5 mg/ml
Enjeksiyon Oxaliplatin 0,5 mg/ml
Glukoz %5 1662
Uyumlu
Enjeksiyon Etoposide phosphate 5 mg/ml
Enjeksiyon Paclitaxel 1.2 mg/ml
Glukoz %5 1410
Uyumlu
Enjeksiyon Etoposide phosphate 5 mg/ml
Enjeksiyon Pethidine hydrochloride 4 mg/ml
Glukoz %5 1410
Uyumlu
Enjeksiyon Etoposide phosphate 5 mg/ml
Enjeksiyon Piperacillin sodium 40 mg/ml
Glukoz %5 1410
Uyumlu
Enjeksiyon Etoposide phosphate 5 mg/ml
Enjeksiyon Piperacillin sodium / tazobactam 40/5 mg/ml
Sodyum klorür % 0,9 1410
Uyumlu
Enjeksiyon Etoposide phosphate 5 mg/ml
Enjeksiyon Potassium chloride 100 mEq/l
Glukoz %5 1410
Anında bulanıklık uyumsuz
Enjeksiyon Etoposide phosphate 5 mg/ml
Enjeksiyon Prochlorperazine edysilate 0.5 mg/ml
Glukoz %5 1410
Uyumlu
Enjeksiyon Etoposide phosphate 5 mg/ml
Enjeksiyon Promethazine hydrochloride 2 mg/ml
Glukoz %5 1410
Uyumlu
Enjeksiyon Etoposide phosphate 5 mg/ml
Enjeksiyon Ranitidine hydrochloride 2 mg/ml
Glukoz %5 1410
Uyumlu
Enjeksiyon Etoposide phosphate 5 mg/ml
Enjeksiyon Sodium bicarbonate 84 mg/ml
Glukoz %5 1410
Uyumlu
Enjeksiyon Etoposide phosphate 5 mg/ml
Enjeksiyon Streptozocin 40 mg/ml
Glukoz %5 1410
4 saat sonra renk değişimi uyumsuz
Enjeksiyon Etoposide phosphate 5 mg/ml
Enjeksiyon Teniposide 0.1 mg/ml
Sodyum klorür % 0,9 1410
Uyumlu
Enjeksiyon Etoposide phosphate 5 mg/ml
Enjeksiyon Thiotepa 1 mg/ml
Glukoz %5 1410
Uyumlu
Enjeksiyon Etoposide phosphate 5 mg/ml
Enjeksiyon Ticarcillin / clavulanic acid 31 mg/ml
Glukoz %5 1410
Uyumlu
Enjeksiyon Etoposide phosphate 5 mg/ml
Enjeksiyon Tobramycin sulfate 5 mg/ml
Glukoz %5 1410
Uyumlu
Enjeksiyon Etoposide phosphate 5 mg/ml
Enjeksiyon Vancomycin hydrochloride 10 mg/ml
Glukoz %5 1410
Uyumlu
Enjeksiyon Etoposide phosphate 5 mg/ml
Enjeksiyon Vinblastine sulfate 0.12 mg/ml
Glukoz %5 1410
Uyumlu
Enjeksiyon Etoposide phosphate 5 mg/ml
Enjeksiyon Vincristine sulfate 0.05 mg/ml
Glukoz %5 1410
Uyumlu
Enjeksiyon Etoposide phosphate 5 mg/ml
Enjeksiyon Zidovudine 4 mg/ml
Glukoz %5 1410

  Mentions Légales