Ostatnia aktualizacja :
27/04/2026
Lek cytostatyk   Etoposide phosphate  
Injekcje
Trwałość roztworów Trwałość w mieszaninie Czynnik wpływający na trwałość Zgodność Sposób podania Bibliografia pdf
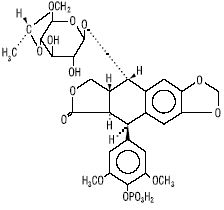
   Struktura chemiczna  

Nazwa handlowa   Nazwa handlowa     

Trade names are indicative and excipients composition can be different depending on the country and manufacturers

Etopofos Austria, Grecja, Szwecja
Etopophos Belgia, Bułgaria, Francja , Holandia, Israël, Luksemburg, Niemcy, nowa Zelandia, Polska, Stany Zjednoczone Ameryki, Szwajcaria, Wielka Brytania
Zgodność   Injekcje   Zgodność : Etoposide phosphate              
Ekran ten wskazuje na kompatybilności lub niezgodności z, w tym przypadku, rodzajem niezgodności (strącanie, zmiana koloru, modyfikacja emulsji, itp.). Przedstawione tutaj kompatybilności są głównie fizyczne, a stabilność chemiczna każdej cząsteczki jest rzadko oceniana. Ocenę tych mieszanin badano w celu rozważenia możliwości podania pacjentowi w miejscu Y. Dane te nie mogą być wykorzystywane do sporządzania mieszanin z wyprzedzeniem w workach lub strzykawkach. Tego typu informacje są dostępne na ekranie „Stabilność w mieszaninie”.
Związek Rozpuszczalnik Bibliografia
Zgodny
Injekcje Etoposide phosphate 5 mg/ml
Injekcje Aciclovir sodium 7 mg/ml
Glukoza 5% 1410
Zgodny
Injekcje Etoposide phosphate 5 mg/ml
Injekcje Amikacin sulfate 5 mg/ml
Glukoza 5% 1410
Zgodny
Injekcje Etoposide phosphate 5 mg/ml
Injekcje Aminophylline 2.5 mg/ml
Glukoza 5% 1410
Natychmiastowe opady Niekompatybilny
Injekcje Etoposide phosphate 5 mg/ml
Injekcje Amphotericin B 0.6 mg/ml
Glukoza 5% 1410
Zgodny
Injekcje Etoposide phosphate 5 mg/ml
Injekcje Ampicillin sodium 20 mg/ml
Glukoza 5% 1410
Zgodny
Injekcje Etoposide phosphate 5 mg/ml
Injekcje Ampicillin sodium - sulbactam sodium 20/10 mg/ml
Glukoza 5% 1410
Zgodny
Injekcje Etoposide phosphate 5 mg/ml
Injekcje Anidulafungin 0.5 mg/ml
Glukoza 5% 1982
Zgodny
Injekcje Etoposide phosphate 5 mg/ml
Injekcje Aztreonam 40 mg/ml
Glukoza 5% 1410
Zgodny
Injekcje Etoposide phosphate 5 mg/ml
Injekcje Bleomycin sulfate 1 mg/ml
Chlorek sodu 0,9% 1410
Zgodny
Injekcje Etoposide phosphate 5 mg/ml
Injekcje Bumetanide 0.04 mg/ml
Glukoza 5% 1410
Zgodny
Injekcje Etoposide phosphate 5 mg/ml
Injekcje Buprenorphine hydrochloride 0.04 mg/ml
Glukoza 5% 1410
Zgodny
Injekcje Etoposide phosphate 5 mg/ml
Injekcje Butorphanol tartrate 0.04 mg/ml
Glukoza 5% 1410
Nieokreślona niezgodność Niekompatybilny
Injekcje Etoposide phosphate
Injekcje Calcium gluconate
3644
Zgodny
Injekcje Etoposide phosphate 5 mg/ml
Injekcje Calcium gluconate 40 mg/ml
Glukoza 5% 1410
Zgodny
Injekcje Etoposide phosphate 5 mg/ml
Injekcje Carboplatin 5 mg/ml
Glukoza 5% 1410
Zgodny
Injekcje Etoposide phosphate 5 mg/ml
Injekcje Carmustine 1.5 mg/ml
Glukoza 5% 1410
Zgodny
Injekcje Etoposide phosphate 5 mg/ml
Injekcje Caspofungin acetate 0,7 mg/ml
Chlorek sodu 0,9% 2247
Zgodny
Injekcje Etoposide phosphate 5 mg/ml
Injekcje Cefazolin sodium 20 mg/ml
Glukoza 5% 1410
Natychmiastowe zmętnienie Niekompatybilny
Injekcje Etoposide phosphate 5 mg/ml
Injekcje Cefepime dihydrochloride 20 mg/ml
Glukoza 5% 1410
Zgodny
Injekcje Etoposide phosphate 5 mg/ml
Injekcje Cefonicid sodium 20 mg/ml
Glukoza 5% 1410
Zgodny
Injekcje Etoposide phosphate 5 mg/ml
Injekcje Cefoperazone sodium 40 mg/ml
Glukoza 5% 1410
Zgodny
Injekcje Etoposide phosphate 5 mg/ml
Injekcje Cefotaxime sodium 20 mg/ml
Glukoza 5% 1410
Zgodny
Injekcje Etoposide phosphate 5 mg/ml
Injekcje Cefoxitin sodium 20 mg/ml
Glukoza 5% 1410
Zgodny
Injekcje Etoposide phosphate 5 mg/ml
Injekcje Ceftazidime 40 mg/ml
Glukoza 5% 1410
Zgodny
Injekcje Etoposide phosphate 5 mg/ml
Injekcje Ceftriaxone disodium 20 mg/ml
Glukoza 5% 1410
Zgodny
Injekcje Etoposide phosphate
Glukoza 5% 3655
Niekompatybilny
Injekcje Etoposide phosphate
Injekcje Calcium gluconate
4964
Zgodny
Injekcje Etoposide phosphate 5 mg/ml
Injekcje Ceftizoxime sodium 20 mg/ml
Glukoza 5% 1410
Zgodny
Injekcje Etoposide phosphate 5 mg/ml
Injekcje Cefuroxime sodium 30 mg/ml
Glukoza 5% 1410
Natychmiastowe zmętnienie Niekompatybilny
Injekcje Etoposide phosphate 5 mg/ml
Injekcje Chlorpromazine hydrochloride 2 mg/ml
Glukoza 5% 1410
Zgodny
Injekcje Etoposide phosphate 5 mg/ml
Injekcje Cimetidine hydrochloride 12 mg/ml
Glukoza 5% 1410
Zgodny
Injekcje Etoposide phosphate 5 mg/ml
Injekcje Ciprofloxacin lactate 1 mg/ml
Glukoza 5% 1410
Zgodny
Injekcje Etoposide phosphate 5 mg/ml
Injekcje Cisplatin 1 mg/ml
Glukoza 5% 1410
Zgodny
Injekcje Etoposide phosphate 5 mg/ml
Injekcje Clindamycin phosphate 10 mg/ml
Glukoza 5% 1410
Zgodny
Injekcje Etoposide phosphate 5 mg/ml
Injekcje Co-trimoxazole 0.8/4 mg/ml
Glukoza 5% 1410
Zgodny
Injekcje Etoposide phosphate 5 mg/ml
Injekcje Cyclophosphamide 10 mg/ml
Glukoza 5% 1410
Zgodny
Injekcje Etoposide phosphate 5 mg/ml
Injekcje Cytarabine 50 mg/ml
Glukoza 5% 1410
Zgodny
Injekcje Etoposide phosphate 5 mg/ml
Injekcje Dacarbazine 4 mg/ml
Glukoza 5% 1410
Zgodny
Injekcje Etoposide phosphate 5 mg/ml
Injekcje Dactinomycin 10 µg/ml
Glukoza 5% 1410
Zgodny
Injekcje Etoposide phosphate 5 mg/ml
Injekcje Daunorubicin hydrochloride 1 mg/ml
Glukoza 5% 1410
Zgodny
Injekcje Etoposide phosphate 5 mg/ml
Injekcje Dexamethasone sodium phosphate 1 mg/ml
Glukoza 5% 1410
Zgodny
Injekcje Etoposide phosphate 5 mg/ml
Injekcje Diphenhydramine hydrochloride 2 mg/ml
Glukoza 5% 1410
Zgodny
Injekcje Etoposide phosphate 5 mg/ml
Injekcje Dobutamine hydrochloride 4 mg/ml
Glukoza 5% 1410
Zgodny
Injekcje Etoposide phosphate 5 mg/ml
Injekcje Dopamine hydrochloride 3.2 mg/ml
Glukoza 5% 1410
Zgodny
Injekcje Etoposide phosphate 5 mg/ml
Injekcje Doripenem 5 mg/ml
Chlorek sodu 0,9% 2262
Zgodny
Injekcje Etoposide phosphate 5 mg/ml
Injekcje Doripenem 5 mg/ml
Glukoza 5% 2262
Zgodny
Injekcje Etoposide phosphate 5 mg/ml
Injekcje Doxorubicin hydrochloride 2 mg/ml
Glukoza 5% 1410
Zgodny
Injekcje Etoposide phosphate 5 mg/ml
Injekcje Doxycycline hyclate 1 mg/ml
Glukoza 5% 1410
Zgodny
Injekcje Etoposide phosphate 5 mg/ml
Injekcje Droperidol 0.4 mg/ml
Glukoza 5% 1410
Zgodny
Injekcje Etoposide phosphate 5 mg/ml
Injekcje Enalaprilate 0.1 mg/ml
Glukoza 5% 1410
Zgodny
Injekcje Etoposide phosphate 5 mg/ml
Injekcje Famotidine 2 mg/ml
Glukoza 5% 1410
Zgodny
Injekcje Etoposide phosphate 5 mg/ml
Injekcje Floxuridine 3 mg/ml
Glukoza 5% 1410
Zgodny
Injekcje Etoposide phosphate 5 mg/ml
Injekcje Fluconazole 2 mg/ml
Glukoza 5% 1410
Zgodny
Injekcje Etoposide phosphate 5 mg/ml
Injekcje Fludarabine phosphate 1 mg/ml
Glukoza 5% 1410
Zgodny
Injekcje Etoposide phosphate 5 mg/ml
Injekcje Fluorouracil 16 mg/ml
Glukoza 5% 1410
Zgodny
Injekcje Etoposide phosphate 5 mg/ml
Injekcje Folinate calcium 2 mg/ml
Glukoza 5% 1410
Zgodny
Injekcje Etoposide phosphate 5 mg/ml
Injekcje Furosemide 3 mg/ml
Glukoza 5% 1410
Zgodny
Injekcje Etoposide phosphate 5 mg/ml
Injekcje Gallium nitrate 0.4 mg/ml
Glukoza 5% 1410
Zgodny
Injekcje Etoposide phosphate 5 mg/ml
Injekcje Ganciclovir sodium 20 mg/ml
Glukoza 5% 1410
Zgodny
Injekcje Etoposide phosphate 5 mg/ml
Injekcje Gemcitabine hydrochloride 10 mg/ml
Chlorek sodu 0,9% 1423
Zgodny
Injekcje Etoposide phosphate 5 mg/ml
Injekcje Gentamicin sulfate 5 mg/ml
Glukoza 5% 1410
Zgodny
Injekcje Etoposide phosphate 5 mg/ml
Injekcje Granisetron hydrochloride 0.05 mg/ml
Glukoza 5% 1410
Zgodny
Injekcje Etoposide phosphate 5 mg/ml
Injekcje Haloperidol lactate 0.2 mg/ml
Glukoza 5% 1410
Zgodny
Injekcje Etoposide phosphate 5 mg/ml
Injekcje Heparin sodium 100 UI/ml
Glukoza 5% 1410
Zgodny
Injekcje Etoposide phosphate 5 mg/ml
Injekcje Hydrocortisone sodium succinate 1 mg/ml
Glukoza 5% 1410
Zgodny
Injekcje Etoposide phosphate 5 mg/ml
Injekcje Hydromorphone hydrochloride 0.5 mg/ml
Glukoza 5% 1410
Zgodny
Injekcje Etoposide phosphate 5 mg/ml
Injekcje Hydroxyzine dihydrochloride 4 mg/ml
Glukoza 5% 1410
Zgodny
Injekcje Etoposide phosphate 5 mg/ml
Injekcje Idarubicin hydrochloride 0.5 mg/ml
Glukoza 5% 1410
Zgodny
Injekcje Etoposide phosphate 5 mg/ml
Injekcje Ifosfamide 25 mg/ml
Glukoza 5% 1410
Zmiana koloru po 4 godzinach Niekompatybilny
Injekcje Etoposide phosphate 5 mg/ml
Injekcje Imipenem - cilastatin sodium 10 mg/ml
Chlorek sodu 0,9% 1410
Natychmiastowe opady Niekompatybilny
Injekcje Etoposide phosphate 5 mg/ml
Injekcje Lansoprazole 0.55 mg/ml
Chlorek sodu 0,9% 1625
Zgodny
Injekcje Etoposide phosphate 5 mg/ml
Injekcje Linezolid 2 mg/ml
Żaden 1925
Zgodny
Injekcje Etoposide phosphate
Chlorek sodu 0,9% 3655
Zgodny
Injekcje Etoposide phosphate 5 mg/ml
Injekcje Lorazepam 0.5 mg/ml
Glukoza 5% 1410
Nieokreślona niezgodność Niekompatybilny
Injekcje Etoposide phosphate
Injekcje Magnesium sulfate
3838
Zgodny
Injekcje Etoposide phosphate 5 mg/ml
Injekcje Magnesium sulfate 100 mg/ml
Glukoza 5% 1410
Zgodny
Injekcje Etoposide phosphate 5 mg/ml
Injekcje Mannitol 150 mg/ml
Glukoza 5% 1410
Zgodny
Injekcje Etoposide phosphate 5 mg/ml
Injekcje Mesna 10 mg/ml
Glukoza 5% 1410
Zgodny
Injekcje Etoposide phosphate 5 mg/ml
Injekcje Methotrexate sodium 15 mg/ml
Glukoza 5% 1410
Natychmiastowe zmętnienie Niekompatybilny
Injekcje Etoposide phosphate 5 mg/ml
Injekcje Methylprednisolone sodium succinate 5 mg/ml
Glukoza 5% 1410
Zgodny
Injekcje Etoposide phosphate 5 mg/ml
Injekcje Metoclopramide hydrochloride 5 mg/ml
Glukoza 5% 1410
Zgodny
Injekcje Etoposide phosphate 5 mg/ml
Injekcje Metronidazole 5 mg/ml
Glukoza 5% 1410
Zgodny
Injekcje Etoposide phosphate 5 mg/ml
Injekcje Minocycline hydrochloride 0.2 mg/ml
Glukoza 5% 1410
Zmiana koloru po 4 godzinach Niekompatybilny
Injekcje Etoposide phosphate 5 mg/ml
Injekcje Mitomycin 0.5 mg/ml
Glukoza 5% 1410
Zgodny
Injekcje Etoposide phosphate 5 mg/ml
Injekcje Mitoxantrone dihydrochloride 0.5 mg/ml
Glukoza 5% 1410
Zgodny
Injekcje Etoposide phosphate 5 mg/ml
Injekcje Morphine sulfate 1 mg/ml
Glukoza 5% 1410
Zgodny
Injekcje Etoposide phosphate 5 mg/ml
Injekcje Nalbuphine hydrochloride 10 mg/ml
Glukoza 5% 1410
Zgodny
Injekcje Etoposide phosphate 5 mg/ml
Injekcje Netilmicin sulfate 5 mg/ml
Glukoza 5% 1410
Zgodny
Injekcje Etoposide phosphate 5 mg/ml
Injekcje Ofloxacin 4 mg/ml
Glukoza 5% 1410
Zgodny
Injekcje Etoposide phosphate 5 mg/ml
Injekcje Ondansetron hydrochloride 1 mg/ml
Glukoza 5% 1410
Zgodny
Injekcje Etoposide phosphate 5 mg/ml
Injekcje Oxaliplatin 0,5 mg/ml
Glukoza 5% 1662
Zgodny
Injekcje Etoposide phosphate 5 mg/ml
Injekcje Paclitaxel 1.2 mg/ml
Glukoza 5% 1410
Zgodny
Injekcje Etoposide phosphate 5 mg/ml
Injekcje Pethidine hydrochloride 4 mg/ml
Glukoza 5% 1410
Zgodny
Injekcje Etoposide phosphate 5 mg/ml
Injekcje Piperacillin sodium 40 mg/ml
Glukoza 5% 1410
Zgodny
Injekcje Etoposide phosphate 5 mg/ml
Injekcje Piperacillin sodium / tazobactam 40/5 mg/ml
Chlorek sodu 0,9% 1410
Zgodny
Injekcje Etoposide phosphate 5 mg/ml
Injekcje Potassium chloride 100 mEq/l
Glukoza 5% 1410
Natychmiastowe zmętnienie Niekompatybilny
Injekcje Etoposide phosphate 5 mg/ml
Injekcje Prochlorperazine edysilate 0.5 mg/ml
Glukoza 5% 1410
Zgodny
Injekcje Etoposide phosphate 5 mg/ml
Injekcje Promethazine hydrochloride 2 mg/ml
Glukoza 5% 1410
Zgodny
Injekcje Etoposide phosphate 5 mg/ml
Injekcje Ranitidine hydrochloride 2 mg/ml
Glukoza 5% 1410
Zgodny
Injekcje Etoposide phosphate 5 mg/ml
Injekcje Sodium bicarbonate 84 mg/ml
Glukoza 5% 1410
Zgodny
Injekcje Etoposide phosphate 5 mg/ml
Injekcje Streptozocin 40 mg/ml
Glukoza 5% 1410
Zmiana koloru po 4 godzinach Niekompatybilny
Injekcje Etoposide phosphate 5 mg/ml
Injekcje Teniposide 0.1 mg/ml
Chlorek sodu 0,9% 1410
Zgodny
Injekcje Etoposide phosphate 5 mg/ml
Injekcje Thiotepa 1 mg/ml
Glukoza 5% 1410
Zgodny
Injekcje Etoposide phosphate 5 mg/ml
Injekcje Ticarcillin / clavulanic acid 31 mg/ml
Glukoza 5% 1410
Zgodny
Injekcje Etoposide phosphate 5 mg/ml
Injekcje Tobramycin sulfate 5 mg/ml
Glukoza 5% 1410
Zgodny
Injekcje Etoposide phosphate 5 mg/ml
Injekcje Vancomycin hydrochloride 10 mg/ml
Glukoza 5% 1410
Zgodny
Injekcje Etoposide phosphate 5 mg/ml
Injekcje Vinblastine sulfate 0.12 mg/ml
Glukoza 5% 1410
Zgodny
Injekcje Etoposide phosphate 5 mg/ml
Injekcje Vincristine sulfate 0.05 mg/ml
Glukoza 5% 1410
Zgodny
Injekcje Etoposide phosphate 5 mg/ml
Injekcje Zidovudine 4 mg/ml
Glukoza 5% 1410

  Mentions Légales