Τελευταία ενημέρωση :
27/04/2026
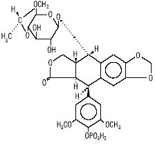
φάρμακο κατά του καρκίνου   Etoposide phosphate  
Ενέσιμο
Σταθερότητα διαλυμάτων Σταθερότητα σε μίγματα Παράγοντας που επηρεάζει τη σταθερότητα Συμβατότητες Τρόπος χορήγησης Βιβλιογραφία pdf
   χημική δομή  

Εμπορική ονομασία   Εμπορική ονομασία     

Οι εμπορικές ονομασίες είναι ενδεικτικές και η σύνθεση των εκδόχων μπορεί να διαφέρει ανάλογα με τη χώρα και τα εργαστήρια

Etopofos Αυστρία, Ελλάδα, Σουηδία
Etopophos Βέλγιο, Βουλγαρία, Γαλλία, Γερμανία, Ελβετία, Η.Π.Α., Ισραήλ, Λουξεμβούργο, Μεγάλη Βρετανία, νέα Ζηλανδία, Ολλανδία, Πολωνία
Συμβατότητες    Ενέσιμο   Συμβατότητες : Etoposide phosphate              
Σε αυτή την οθόνη εμφανίζονται οι συμβατότητες ή ασυμβατότητες. Σε αυτή την περίπτωση εμφανίζονται το είδος της ασυμβατότητας (ίζημα, αλλαγή χρώματος, μεταβολή γαλακτώματος, κλπ). Οι συμβατότητες που παρουσιάζονται εδώ είναι κυρίως φυσικές, ενώ η χημική σταθερότητα κάθε μορίου σπάνια περιλαμβάνεται. Η αξιολόγηση αυτών των μιγμάτων μελετήθηκε προκειμένου να εκτιμηθεί η πιθανότητα χορήγησης στον ασθενή στο Υ κέντρο. Τα δεδομένα αυτά δεν μπορούν να χρησιμοποιηθούν για την εκ των προτέρων δημιουργία μιγμάτων σε ασκούς ή σύριγγες. Αυτό το είδος πληροφορίας υπάρχει και μπορεί να αναζητηθεί στην οθόνη «Σταθερότητα σε μίγμα».
Συστατικό Διαλυτικό Βιβλιογραφία
Σύμφωνος
Ενέσιμο Etoposide phosphate 5 mg/ml
Ενέσιμο Aciclovir sodium 7 mg/ml
Γλυκόζη 5% 1410
Σύμφωνος
Ενέσιμο Etoposide phosphate 5 mg/ml
Ενέσιμο Amikacin sulfate 5 mg/ml
Γλυκόζη 5% 1410
Σύμφωνος
Ενέσιμο Etoposide phosphate 5 mg/ml
Ενέσιμο Aminophylline 2.5 mg/ml
Γλυκόζη 5% 1410
Άμεση βροχόπτωση Ασύμβατες
Ενέσιμο Etoposide phosphate 5 mg/ml
Ενέσιμο Amphotericin B 0.6 mg/ml
Γλυκόζη 5% 1410
Σύμφωνος
Ενέσιμο Etoposide phosphate 5 mg/ml
Ενέσιμο Ampicillin sodium 20 mg/ml
Γλυκόζη 5% 1410
Σύμφωνος
Ενέσιμο Etoposide phosphate 5 mg/ml
Ενέσιμο Ampicillin sodium - sulbactam sodium 20/10 mg/ml
Γλυκόζη 5% 1410
Σύμφωνος
Ενέσιμο Etoposide phosphate 5 mg/ml
Ενέσιμο Anidulafungin 0.5 mg/ml
Γλυκόζη 5% 1982
Σύμφωνος
Ενέσιμο Etoposide phosphate 5 mg/ml
Ενέσιμο Aztreonam 40 mg/ml
Γλυκόζη 5% 1410
Σύμφωνος
Ενέσιμο Etoposide phosphate 5 mg/ml
Ενέσιμο Bleomycin sulfate 1 mg/ml
Χλωριούχο νάτριο 0,9% 1410
Σύμφωνος
Ενέσιμο Etoposide phosphate 5 mg/ml
Ενέσιμο Bumetanide 0.04 mg/ml
Γλυκόζη 5% 1410
Σύμφωνος
Ενέσιμο Etoposide phosphate 5 mg/ml
Ενέσιμο Buprenorphine hydrochloride 0.04 mg/ml
Γλυκόζη 5% 1410
Σύμφωνος
Ενέσιμο Etoposide phosphate 5 mg/ml
Ενέσιμο Butorphanol tartrate 0.04 mg/ml
Γλυκόζη 5% 1410
Απροσδιόριστη ασυμβατότητα Ασύμβατες
Ενέσιμο Etoposide phosphate
Ενέσιμο Calcium gluconate
3644
Σύμφωνος
Ενέσιμο Etoposide phosphate 5 mg/ml
Ενέσιμο Calcium gluconate 40 mg/ml
Γλυκόζη 5% 1410
Σύμφωνος
Ενέσιμο Etoposide phosphate 5 mg/ml
Ενέσιμο Carboplatin 5 mg/ml
Γλυκόζη 5% 1410
Σύμφωνος
Ενέσιμο Etoposide phosphate 5 mg/ml
Ενέσιμο Carmustine 1.5 mg/ml
Γλυκόζη 5% 1410
Σύμφωνος
Ενέσιμο Etoposide phosphate 5 mg/ml
Ενέσιμο Caspofungin acetate 0,7 mg/ml
Χλωριούχο νάτριο 0,9% 2247
Σύμφωνος
Ενέσιμο Etoposide phosphate 5 mg/ml
Ενέσιμο Cefazolin sodium 20 mg/ml
Γλυκόζη 5% 1410
Άμεση θολότητα Ασύμβατες
Ενέσιμο Etoposide phosphate 5 mg/ml
Ενέσιμο Cefepime dihydrochloride 20 mg/ml
Γλυκόζη 5% 1410
Σύμφωνος
Ενέσιμο Etoposide phosphate 5 mg/ml
Ενέσιμο Cefonicid sodium 20 mg/ml
Γλυκόζη 5% 1410
Σύμφωνος
Ενέσιμο Etoposide phosphate 5 mg/ml
Ενέσιμο Cefoperazone sodium 40 mg/ml
Γλυκόζη 5% 1410
Σύμφωνος
Ενέσιμο Etoposide phosphate 5 mg/ml
Ενέσιμο Cefotaxime sodium 20 mg/ml
Γλυκόζη 5% 1410
Σύμφωνος
Ενέσιμο Etoposide phosphate 5 mg/ml
Ενέσιμο Cefoxitin sodium 20 mg/ml
Γλυκόζη 5% 1410
Σύμφωνος
Ενέσιμο Etoposide phosphate 5 mg/ml
Ενέσιμο Ceftazidime 40 mg/ml
Γλυκόζη 5% 1410
Σύμφωνος
Ενέσιμο Etoposide phosphate 5 mg/ml
Ενέσιμο Ceftriaxone disodium 20 mg/ml
Γλυκόζη 5% 1410
Σύμφωνος
Ενέσιμο Etoposide phosphate
Γλυκόζη 5% 3655
Ασύμβατες
Ενέσιμο Etoposide phosphate
Ενέσιμο Calcium gluconate
4964
Σύμφωνος
Ενέσιμο Etoposide phosphate 5 mg/ml
Ενέσιμο Ceftizoxime sodium 20 mg/ml
Γλυκόζη 5% 1410
Σύμφωνος
Ενέσιμο Etoposide phosphate 5 mg/ml
Ενέσιμο Cefuroxime sodium 30 mg/ml
Γλυκόζη 5% 1410
Άμεση θολότητα Ασύμβατες
Ενέσιμο Etoposide phosphate 5 mg/ml
Ενέσιμο Chlorpromazine hydrochloride 2 mg/ml
Γλυκόζη 5% 1410
Σύμφωνος
Ενέσιμο Etoposide phosphate 5 mg/ml
Ενέσιμο Cimetidine hydrochloride 12 mg/ml
Γλυκόζη 5% 1410
Σύμφωνος
Ενέσιμο Etoposide phosphate 5 mg/ml
Ενέσιμο Ciprofloxacin lactate 1 mg/ml
Γλυκόζη 5% 1410
Σύμφωνος
Ενέσιμο Etoposide phosphate 5 mg/ml
Ενέσιμο Cisplatin 1 mg/ml
Γλυκόζη 5% 1410
Σύμφωνος
Ενέσιμο Etoposide phosphate 5 mg/ml
Ενέσιμο Clindamycin phosphate 10 mg/ml
Γλυκόζη 5% 1410
Σύμφωνος
Ενέσιμο Etoposide phosphate 5 mg/ml
Ενέσιμο Co-trimoxazole 0.8/4 mg/ml
Γλυκόζη 5% 1410
Σύμφωνος
Ενέσιμο Etoposide phosphate 5 mg/ml
Ενέσιμο Cyclophosphamide 10 mg/ml
Γλυκόζη 5% 1410
Σύμφωνος
Ενέσιμο Etoposide phosphate 5 mg/ml
Ενέσιμο Cytarabine 50 mg/ml
Γλυκόζη 5% 1410
Σύμφωνος
Ενέσιμο Etoposide phosphate 5 mg/ml
Ενέσιμο Dacarbazine 4 mg/ml
Γλυκόζη 5% 1410
Σύμφωνος
Ενέσιμο Etoposide phosphate 5 mg/ml
Ενέσιμο Dactinomycin 10 µg/ml
Γλυκόζη 5% 1410
Σύμφωνος
Ενέσιμο Etoposide phosphate 5 mg/ml
Ενέσιμο Daunorubicin hydrochloride 1 mg/ml
Γλυκόζη 5% 1410
Σύμφωνος
Ενέσιμο Etoposide phosphate 5 mg/ml
Ενέσιμο Dexamethasone sodium phosphate 1 mg/ml
Γλυκόζη 5% 1410
Σύμφωνος
Ενέσιμο Etoposide phosphate 5 mg/ml
Ενέσιμο Diphenhydramine hydrochloride 2 mg/ml
Γλυκόζη 5% 1410
Σύμφωνος
Ενέσιμο Etoposide phosphate 5 mg/ml
Ενέσιμο Dobutamine hydrochloride 4 mg/ml
Γλυκόζη 5% 1410
Σύμφωνος
Ενέσιμο Etoposide phosphate 5 mg/ml
Ενέσιμο Dopamine hydrochloride 3.2 mg/ml
Γλυκόζη 5% 1410
Σύμφωνος
Ενέσιμο Etoposide phosphate 5 mg/ml
Ενέσιμο Doripenem 5 mg/ml
Χλωριούχο νάτριο 0,9% 2262
Σύμφωνος
Ενέσιμο Etoposide phosphate 5 mg/ml
Ενέσιμο Doripenem 5 mg/ml
Γλυκόζη 5% 2262
Σύμφωνος
Ενέσιμο Etoposide phosphate 5 mg/ml
Ενέσιμο Doxorubicin hydrochloride 2 mg/ml
Γλυκόζη 5% 1410
Σύμφωνος
Ενέσιμο Etoposide phosphate 5 mg/ml
Ενέσιμο Doxycycline hyclate 1 mg/ml
Γλυκόζη 5% 1410
Σύμφωνος
Ενέσιμο Etoposide phosphate 5 mg/ml
Ενέσιμο Droperidol 0.4 mg/ml
Γλυκόζη 5% 1410
Σύμφωνος
Ενέσιμο Etoposide phosphate 5 mg/ml
Ενέσιμο Enalaprilate 0.1 mg/ml
Γλυκόζη 5% 1410
Σύμφωνος
Ενέσιμο Etoposide phosphate 5 mg/ml
Ενέσιμο Famotidine 2 mg/ml
Γλυκόζη 5% 1410
Σύμφωνος
Ενέσιμο Etoposide phosphate 5 mg/ml
Ενέσιμο Floxuridine 3 mg/ml
Γλυκόζη 5% 1410
Σύμφωνος
Ενέσιμο Etoposide phosphate 5 mg/ml
Ενέσιμο Fluconazole 2 mg/ml
Γλυκόζη 5% 1410
Σύμφωνος
Ενέσιμο Etoposide phosphate 5 mg/ml
Ενέσιμο Fludarabine phosphate 1 mg/ml
Γλυκόζη 5% 1410
Σύμφωνος
Ενέσιμο Etoposide phosphate 5 mg/ml
Ενέσιμο Fluorouracil 16 mg/ml
Γλυκόζη 5% 1410
Σύμφωνος
Ενέσιμο Etoposide phosphate 5 mg/ml
Ενέσιμο Folinate calcium 2 mg/ml
Γλυκόζη 5% 1410
Σύμφωνος
Ενέσιμο Etoposide phosphate 5 mg/ml
Ενέσιμο Furosemide 3 mg/ml
Γλυκόζη 5% 1410
Σύμφωνος
Ενέσιμο Etoposide phosphate 5 mg/ml
Ενέσιμο Gallium nitrate 0.4 mg/ml
Γλυκόζη 5% 1410
Σύμφωνος
Ενέσιμο Etoposide phosphate 5 mg/ml
Ενέσιμο Ganciclovir sodium 20 mg/ml
Γλυκόζη 5% 1410
Σύμφωνος
Ενέσιμο Etoposide phosphate 5 mg/ml
Ενέσιμο Gemcitabine hydrochloride 10 mg/ml
Χλωριούχο νάτριο 0,9% 1423
Σύμφωνος
Ενέσιμο Etoposide phosphate 5 mg/ml
Ενέσιμο Gentamicin sulfate 5 mg/ml
Γλυκόζη 5% 1410
Σύμφωνος
Ενέσιμο Etoposide phosphate 5 mg/ml
Ενέσιμο Granisetron hydrochloride 0.05 mg/ml
Γλυκόζη 5% 1410
Σύμφωνος
Ενέσιμο Etoposide phosphate 5 mg/ml
Ενέσιμο Haloperidol lactate 0.2 mg/ml
Γλυκόζη 5% 1410
Σύμφωνος
Ενέσιμο Etoposide phosphate 5 mg/ml
Ενέσιμο Heparin sodium 100 UI/ml
Γλυκόζη 5% 1410
Σύμφωνος
Ενέσιμο Etoposide phosphate 5 mg/ml
Ενέσιμο Hydrocortisone sodium succinate 1 mg/ml
Γλυκόζη 5% 1410
Σύμφωνος
Ενέσιμο Etoposide phosphate 5 mg/ml
Ενέσιμο Hydromorphone hydrochloride 0.5 mg/ml
Γλυκόζη 5% 1410
Σύμφωνος
Ενέσιμο Etoposide phosphate 5 mg/ml
Ενέσιμο Hydroxyzine dihydrochloride 4 mg/ml
Γλυκόζη 5% 1410
Σύμφωνος
Ενέσιμο Etoposide phosphate 5 mg/ml
Ενέσιμο Idarubicin hydrochloride 0.5 mg/ml
Γλυκόζη 5% 1410
Σύμφωνος
Ενέσιμο Etoposide phosphate 5 mg/ml
Ενέσιμο Ifosfamide 25 mg/ml
Γλυκόζη 5% 1410
Αλλαγή χρώματος μετά από 4 ώρες Ασύμβατες
Ενέσιμο Etoposide phosphate 5 mg/ml
Ενέσιμο Imipenem - cilastatin sodium 10 mg/ml
Χλωριούχο νάτριο 0,9% 1410
Άμεση βροχόπτωση Ασύμβατες
Ενέσιμο Etoposide phosphate 5 mg/ml
Ενέσιμο Lansoprazole 0.55 mg/ml
Χλωριούχο νάτριο 0,9% 1625
Σύμφωνος
Ενέσιμο Etoposide phosphate 5 mg/ml
Ενέσιμο Linezolid 2 mg/ml
Ουδέν 1925
Σύμφωνος
Ενέσιμο Etoposide phosphate
Χλωριούχο νάτριο 0,9% 3655
Σύμφωνος
Ενέσιμο Etoposide phosphate 5 mg/ml
Ενέσιμο Lorazepam 0.5 mg/ml
Γλυκόζη 5% 1410
Απροσδιόριστη ασυμβατότητα Ασύμβατες
Ενέσιμο Etoposide phosphate
Ενέσιμο Magnesium sulfate
3838
Σύμφωνος
Ενέσιμο Etoposide phosphate 5 mg/ml
Ενέσιμο Magnesium sulfate 100 mg/ml
Γλυκόζη 5% 1410
Σύμφωνος
Ενέσιμο Etoposide phosphate 5 mg/ml
Ενέσιμο Mannitol 150 mg/ml
Γλυκόζη 5% 1410
Σύμφωνος
Ενέσιμο Etoposide phosphate 5 mg/ml
Ενέσιμο Mesna 10 mg/ml
Γλυκόζη 5% 1410
Σύμφωνος
Ενέσιμο Etoposide phosphate 5 mg/ml
Ενέσιμο Methotrexate sodium 15 mg/ml
Γλυκόζη 5% 1410
Άμεση θολότητα Ασύμβατες
Ενέσιμο Etoposide phosphate 5 mg/ml
Ενέσιμο Methylprednisolone sodium succinate 5 mg/ml
Γλυκόζη 5% 1410
Σύμφωνος
Ενέσιμο Etoposide phosphate 5 mg/ml
Ενέσιμο Metoclopramide hydrochloride 5 mg/ml
Γλυκόζη 5% 1410
Σύμφωνος
Ενέσιμο Etoposide phosphate 5 mg/ml
Ενέσιμο Metronidazole 5 mg/ml
Γλυκόζη 5% 1410
Σύμφωνος
Ενέσιμο Etoposide phosphate 5 mg/ml
Ενέσιμο Minocycline hydrochloride 0.2 mg/ml
Γλυκόζη 5% 1410
Αλλαγή χρώματος μετά από 4 ώρες Ασύμβατες
Ενέσιμο Etoposide phosphate 5 mg/ml
Ενέσιμο Mitomycin 0.5 mg/ml
Γλυκόζη 5% 1410
Σύμφωνος
Ενέσιμο Etoposide phosphate 5 mg/ml
Ενέσιμο Mitoxantrone dihydrochloride 0.5 mg/ml
Γλυκόζη 5% 1410
Σύμφωνος
Ενέσιμο Etoposide phosphate 5 mg/ml
Ενέσιμο Morphine sulfate 1 mg/ml
Γλυκόζη 5% 1410
Σύμφωνος
Ενέσιμο Etoposide phosphate 5 mg/ml
Ενέσιμο Nalbuphine hydrochloride 10 mg/ml
Γλυκόζη 5% 1410
Σύμφωνος
Ενέσιμο Etoposide phosphate 5 mg/ml
Ενέσιμο Netilmicin sulfate 5 mg/ml
Γλυκόζη 5% 1410
Σύμφωνος
Ενέσιμο Etoposide phosphate 5 mg/ml
Ενέσιμο Ofloxacin 4 mg/ml
Γλυκόζη 5% 1410
Σύμφωνος
Ενέσιμο Etoposide phosphate 5 mg/ml
Ενέσιμο Ondansetron hydrochloride 1 mg/ml
Γλυκόζη 5% 1410
Σύμφωνος
Ενέσιμο Etoposide phosphate 5 mg/ml
Ενέσιμο Oxaliplatin 0,5 mg/ml
Γλυκόζη 5% 1662
Σύμφωνος
Ενέσιμο Etoposide phosphate 5 mg/ml
Ενέσιμο Paclitaxel 1.2 mg/ml
Γλυκόζη 5% 1410
Σύμφωνος
Ενέσιμο Etoposide phosphate 5 mg/ml
Ενέσιμο Pethidine hydrochloride 4 mg/ml
Γλυκόζη 5% 1410
Σύμφωνος
Ενέσιμο Etoposide phosphate 5 mg/ml
Ενέσιμο Piperacillin sodium 40 mg/ml
Γλυκόζη 5% 1410
Σύμφωνος
Ενέσιμο Etoposide phosphate 5 mg/ml
Ενέσιμο Piperacillin sodium / tazobactam 40/5 mg/ml
Χλωριούχο νάτριο 0,9% 1410
Σύμφωνος
Ενέσιμο Etoposide phosphate 5 mg/ml
Ενέσιμο Potassium chloride 100 mEq/l
Γλυκόζη 5% 1410
Άμεση θολότητα Ασύμβατες
Ενέσιμο Etoposide phosphate 5 mg/ml
Ενέσιμο Prochlorperazine edysilate 0.5 mg/ml
Γλυκόζη 5% 1410
Σύμφωνος
Ενέσιμο Etoposide phosphate 5 mg/ml
Ενέσιμο Promethazine hydrochloride 2 mg/ml
Γλυκόζη 5% 1410
Σύμφωνος
Ενέσιμο Etoposide phosphate 5 mg/ml
Ενέσιμο Ranitidine hydrochloride 2 mg/ml
Γλυκόζη 5% 1410
Σύμφωνος
Ενέσιμο Etoposide phosphate 5 mg/ml
Ενέσιμο Sodium bicarbonate 84 mg/ml
Γλυκόζη 5% 1410
Σύμφωνος
Ενέσιμο Etoposide phosphate 5 mg/ml
Ενέσιμο Streptozocin 40 mg/ml
Γλυκόζη 5% 1410
Αλλαγή χρώματος μετά από 4 ώρες Ασύμβατες
Ενέσιμο Etoposide phosphate 5 mg/ml
Ενέσιμο Teniposide 0.1 mg/ml
Χλωριούχο νάτριο 0,9% 1410
Σύμφωνος
Ενέσιμο Etoposide phosphate 5 mg/ml
Ενέσιμο Thiotepa 1 mg/ml
Γλυκόζη 5% 1410
Σύμφωνος
Ενέσιμο Etoposide phosphate 5 mg/ml
Ενέσιμο Ticarcillin / clavulanic acid 31 mg/ml
Γλυκόζη 5% 1410
Σύμφωνος
Ενέσιμο Etoposide phosphate 5 mg/ml
Ενέσιμο Tobramycin sulfate 5 mg/ml
Γλυκόζη 5% 1410
Σύμφωνος
Ενέσιμο Etoposide phosphate 5 mg/ml
Ενέσιμο Vancomycin hydrochloride 10 mg/ml
Γλυκόζη 5% 1410
Σύμφωνος
Ενέσιμο Etoposide phosphate 5 mg/ml
Ενέσιμο Vinblastine sulfate 0.12 mg/ml
Γλυκόζη 5% 1410
Σύμφωνος
Ενέσιμο Etoposide phosphate 5 mg/ml
Ενέσιμο Vincristine sulfate 0.05 mg/ml
Γλυκόζη 5% 1410
Σύμφωνος
Ενέσιμο Etoposide phosphate 5 mg/ml
Ενέσιμο Zidovudine 4 mg/ml
Γλυκόζη 5% 1410

  Mentions Légales