Utolsó frissítés :
27/04/2026
rákellenes gyógyszer   Etoposide phosphate  
Injekció
Az oldatok stabilitása A keverékek stabilitása Stabilitást befolyásoló tényezők Kompatibilitás Az alkalmazás módja Irodalom pdf
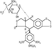
   Kémiai szerkezet   

Kereskedelmi név   Kereskedelmi név     

A kereskedelmi név meghatározó jelentőségű: a készítmények összetétele országonként, előállítóként eltérő lehet

Etopofos Ausztria, Görögország, Svédország
Etopophos Amerikai Egyesült Államok, Belgium, Bulgária, Franciaország, Hollandia, Israel, Lengyelország, Luxemburg, Nagy-Britannia, Németország, Svájc, új-Zéland
Kompatibilitás   Injekció   Kompatibilitás : Etoposide phosphate              
Ovdje su prikazane kompatibilnosti ili nekompatibilnosti s tipom nekompatibilnosti (taloženje, promjena boje, modifikacija emulzije itd.) u ovom slučaju. Kompatibilnosti prikazane ovdje najčešće su fizikalne dok se kemijska stabilnost molekule rijetko procjenjuje. Procjena ovih mikstura je proučavana kako bi se razmotrila mogućnost primjene lijeka putem Y-mjesta. Ovi se podaci ne smiju koristiti za pripremu mikstura unaprijed u vrećicama ili štrcaljkama. Ova vrsta informacije se može pronaći u odjeljku « stabilnost u miksturama ».
Vegyület Oldószer Irodalom
Összeegyeztethető
Injekció Etoposide phosphate 5 mg/ml
Injekció Aciclovir sodium 7 mg/ml
5% glükóz 1410
Összeegyeztethető
Injekció Etoposide phosphate 5 mg/ml
Injekció Amikacin sulfate 5 mg/ml
5% glükóz 1410
Összeegyeztethető
Injekció Etoposide phosphate 5 mg/ml
Injekció Aminophylline 2.5 mg/ml
5% glükóz 1410
Azonnali csapadék Összeegyeztethetetlen
Injekció Etoposide phosphate 5 mg/ml
Injekció Amphotericin B 0.6 mg/ml
5% glükóz 1410
Összeegyeztethető
Injekció Etoposide phosphate 5 mg/ml
Injekció Ampicillin sodium 20 mg/ml
5% glükóz 1410
Összeegyeztethető
Injekció Etoposide phosphate 5 mg/ml
Injekció Ampicillin sodium - sulbactam sodium 20/10 mg/ml
5% glükóz 1410
Összeegyeztethető
Injekció Etoposide phosphate 5 mg/ml
Injekció Anidulafungin 0.5 mg/ml
5% glükóz 1982
Összeegyeztethető
Injekció Etoposide phosphate 5 mg/ml
Injekció Aztreonam 40 mg/ml
5% glükóz 1410
Összeegyeztethető
Injekció Etoposide phosphate 5 mg/ml
Injekció Bleomycin sulfate 1 mg/ml
0,9% nátrium-klorid 1410
Összeegyeztethető
Injekció Etoposide phosphate 5 mg/ml
Injekció Bumetanide 0.04 mg/ml
5% glükóz 1410
Összeegyeztethető
Injekció Etoposide phosphate 5 mg/ml
Injekció Buprenorphine hydrochloride 0.04 mg/ml
5% glükóz 1410
Összeegyeztethető
Injekció Etoposide phosphate 5 mg/ml
Injekció Butorphanol tartrate 0.04 mg/ml
5% glükóz 1410
Meghatározatlan összeférhetetlenség Összeegyeztethetetlen
Injekció Etoposide phosphate
Injekció Calcium gluconate
3644
Összeegyeztethető
Injekció Etoposide phosphate 5 mg/ml
Injekció Calcium gluconate 40 mg/ml
5% glükóz 1410
Összeegyeztethető
Injekció Etoposide phosphate 5 mg/ml
Injekció Carboplatin 5 mg/ml
5% glükóz 1410
Összeegyeztethető
Injekció Etoposide phosphate 5 mg/ml
Injekció Carmustine 1.5 mg/ml
5% glükóz 1410
Összeegyeztethető
Injekció Etoposide phosphate 5 mg/ml
Injekció Caspofungin acetate 0,7 mg/ml
0,9% nátrium-klorid 2247
Összeegyeztethető
Injekció Etoposide phosphate 5 mg/ml
Injekció Cefazolin sodium 20 mg/ml
5% glükóz 1410
Azonnali zavarosság Összeegyeztethetetlen
Injekció Etoposide phosphate 5 mg/ml
Injekció Cefepime dihydrochloride 20 mg/ml
5% glükóz 1410
Összeegyeztethető
Injekció Etoposide phosphate 5 mg/ml
Injekció Cefonicid sodium 20 mg/ml
5% glükóz 1410
Összeegyeztethető
Injekció Etoposide phosphate 5 mg/ml
Injekció Cefoperazone sodium 40 mg/ml
5% glükóz 1410
Összeegyeztethető
Injekció Etoposide phosphate 5 mg/ml
Injekció Cefotaxime sodium 20 mg/ml
5% glükóz 1410
Összeegyeztethető
Injekció Etoposide phosphate 5 mg/ml
Injekció Cefoxitin sodium 20 mg/ml
5% glükóz 1410
Összeegyeztethető
Injekció Etoposide phosphate 5 mg/ml
Injekció Ceftazidime 40 mg/ml
5% glükóz 1410
Összeegyeztethető
Injekció Etoposide phosphate 5 mg/ml
Injekció Ceftriaxone disodium 20 mg/ml
5% glükóz 1410
Összeegyeztethető
Injekció Etoposide phosphate
5% glükóz 3655
Összeegyeztethetetlen
Injekció Etoposide phosphate
Injekció Calcium gluconate
4964
Összeegyeztethető
Injekció Etoposide phosphate 5 mg/ml
Injekció Ceftizoxime sodium 20 mg/ml
5% glükóz 1410
Összeegyeztethető
Injekció Etoposide phosphate 5 mg/ml
Injekció Cefuroxime sodium 30 mg/ml
5% glükóz 1410
Azonnali zavarosság Összeegyeztethetetlen
Injekció Etoposide phosphate 5 mg/ml
Injekció Chlorpromazine hydrochloride 2 mg/ml
5% glükóz 1410
Összeegyeztethető
Injekció Etoposide phosphate 5 mg/ml
Injekció Cimetidine hydrochloride 12 mg/ml
5% glükóz 1410
Összeegyeztethető
Injekció Etoposide phosphate 5 mg/ml
Injekció Ciprofloxacin lactate 1 mg/ml
5% glükóz 1410
Összeegyeztethető
Injekció Etoposide phosphate 5 mg/ml
Injekció Cisplatin 1 mg/ml
5% glükóz 1410
Összeegyeztethető
Injekció Etoposide phosphate 5 mg/ml
Injekció Clindamycin phosphate 10 mg/ml
5% glükóz 1410
Összeegyeztethető
Injekció Etoposide phosphate 5 mg/ml
Injekció Co-trimoxazole 0.8/4 mg/ml
5% glükóz 1410
Összeegyeztethető
Injekció Etoposide phosphate 5 mg/ml
Injekció Cyclophosphamide 10 mg/ml
5% glükóz 1410
Összeegyeztethető
Injekció Etoposide phosphate 5 mg/ml
Injekció Cytarabine 50 mg/ml
5% glükóz 1410
Összeegyeztethető
Injekció Etoposide phosphate 5 mg/ml
Injekció Dacarbazine 4 mg/ml
5% glükóz 1410
Összeegyeztethető
Injekció Etoposide phosphate 5 mg/ml
Injekció Dactinomycin 10 µg/ml
5% glükóz 1410
Összeegyeztethető
Injekció Etoposide phosphate 5 mg/ml
Injekció Daunorubicin hydrochloride 1 mg/ml
5% glükóz 1410
Összeegyeztethető
Injekció Etoposide phosphate 5 mg/ml
Injekció Dexamethasone sodium phosphate 1 mg/ml
5% glükóz 1410
Összeegyeztethető
Injekció Etoposide phosphate 5 mg/ml
Injekció Diphenhydramine hydrochloride 2 mg/ml
5% glükóz 1410
Összeegyeztethető
Injekció Etoposide phosphate 5 mg/ml
Injekció Dobutamine hydrochloride 4 mg/ml
5% glükóz 1410
Összeegyeztethető
Injekció Etoposide phosphate 5 mg/ml
Injekció Dopamine hydrochloride 3.2 mg/ml
5% glükóz 1410
Összeegyeztethető
Injekció Etoposide phosphate 5 mg/ml
Injekció Doripenem 5 mg/ml
0,9% nátrium-klorid 2262
Összeegyeztethető
Injekció Etoposide phosphate 5 mg/ml
Injekció Doripenem 5 mg/ml
5% glükóz 2262
Összeegyeztethető
Injekció Etoposide phosphate 5 mg/ml
Injekció Doxorubicin hydrochloride 2 mg/ml
5% glükóz 1410
Összeegyeztethető
Injekció Etoposide phosphate 5 mg/ml
Injekció Doxycycline hyclate 1 mg/ml
5% glükóz 1410
Összeegyeztethető
Injekció Etoposide phosphate 5 mg/ml
Injekció Droperidol 0.4 mg/ml
5% glükóz 1410
Összeegyeztethető
Injekció Etoposide phosphate 5 mg/ml
Injekció Enalaprilate 0.1 mg/ml
5% glükóz 1410
Összeegyeztethető
Injekció Etoposide phosphate 5 mg/ml
Injekció Famotidine 2 mg/ml
5% glükóz 1410
Összeegyeztethető
Injekció Etoposide phosphate 5 mg/ml
Injekció Floxuridine 3 mg/ml
5% glükóz 1410
Összeegyeztethető
Injekció Etoposide phosphate 5 mg/ml
Injekció Fluconazole 2 mg/ml
5% glükóz 1410
Összeegyeztethető
Injekció Etoposide phosphate 5 mg/ml
Injekció Fludarabine phosphate 1 mg/ml
5% glükóz 1410
Összeegyeztethető
Injekció Etoposide phosphate 5 mg/ml
Injekció Fluorouracil 16 mg/ml
5% glükóz 1410
Összeegyeztethető
Injekció Etoposide phosphate 5 mg/ml
Injekció Folinate calcium 2 mg/ml
5% glükóz 1410
Összeegyeztethető
Injekció Etoposide phosphate 5 mg/ml
Injekció Furosemide 3 mg/ml
5% glükóz 1410
Összeegyeztethető
Injekció Etoposide phosphate 5 mg/ml
Injekció Gallium nitrate 0.4 mg/ml
5% glükóz 1410
Összeegyeztethető
Injekció Etoposide phosphate 5 mg/ml
Injekció Ganciclovir sodium 20 mg/ml
5% glükóz 1410
Összeegyeztethető
Injekció Etoposide phosphate 5 mg/ml
Injekció Gemcitabine hydrochloride 10 mg/ml
0,9% nátrium-klorid 1423
Összeegyeztethető
Injekció Etoposide phosphate 5 mg/ml
Injekció Gentamicin sulfate 5 mg/ml
5% glükóz 1410
Összeegyeztethető
Injekció Etoposide phosphate 5 mg/ml
Injekció Granisetron hydrochloride 0.05 mg/ml
5% glükóz 1410
Összeegyeztethető
Injekció Etoposide phosphate 5 mg/ml
Injekció Haloperidol lactate 0.2 mg/ml
5% glükóz 1410
Összeegyeztethető
Injekció Etoposide phosphate 5 mg/ml
Injekció Heparin sodium 100 UI/ml
5% glükóz 1410
Összeegyeztethető
Injekció Etoposide phosphate 5 mg/ml
Injekció Hydrocortisone sodium succinate 1 mg/ml
5% glükóz 1410
Összeegyeztethető
Injekció Etoposide phosphate 5 mg/ml
Injekció Hydromorphone hydrochloride 0.5 mg/ml
5% glükóz 1410
Összeegyeztethető
Injekció Etoposide phosphate 5 mg/ml
Injekció Hydroxyzine dihydrochloride 4 mg/ml
5% glükóz 1410
Összeegyeztethető
Injekció Etoposide phosphate 5 mg/ml
Injekció Idarubicin hydrochloride 0.5 mg/ml
5% glükóz 1410
Összeegyeztethető
Injekció Etoposide phosphate 5 mg/ml
Injekció Ifosfamide 25 mg/ml
5% glükóz 1410
Színváltozás 4 óra után Összeegyeztethetetlen
Injekció Etoposide phosphate 5 mg/ml
Injekció Imipenem - cilastatin sodium 10 mg/ml
0,9% nátrium-klorid 1410
Azonnali csapadék Összeegyeztethetetlen
Injekció Etoposide phosphate 5 mg/ml
Injekció Lansoprazole 0.55 mg/ml
0,9% nátrium-klorid 1625
Összeegyeztethető
Injekció Etoposide phosphate 5 mg/ml
Injekció Linezolid 2 mg/ml
Egy sem 1925
Összeegyeztethető
Injekció Etoposide phosphate
0,9% nátrium-klorid 3655
Összeegyeztethető
Injekció Etoposide phosphate 5 mg/ml
Injekció Lorazepam 0.5 mg/ml
5% glükóz 1410
Meghatározatlan összeférhetetlenség Összeegyeztethetetlen
Injekció Etoposide phosphate
Injekció Magnesium sulfate
3838
Összeegyeztethető
Injekció Etoposide phosphate 5 mg/ml
Injekció Magnesium sulfate 100 mg/ml
5% glükóz 1410
Összeegyeztethető
Injekció Etoposide phosphate 5 mg/ml
Injekció Mannitol 150 mg/ml
5% glükóz 1410
Összeegyeztethető
Injekció Etoposide phosphate 5 mg/ml
Injekció Mesna 10 mg/ml
5% glükóz 1410
Összeegyeztethető
Injekció Etoposide phosphate 5 mg/ml
Injekció Methotrexate sodium 15 mg/ml
5% glükóz 1410
Azonnali zavarosság Összeegyeztethetetlen
Injekció Etoposide phosphate 5 mg/ml
Injekció Methylprednisolone sodium succinate 5 mg/ml
5% glükóz 1410
Összeegyeztethető
Injekció Etoposide phosphate 5 mg/ml
Injekció Metoclopramide hydrochloride 5 mg/ml
5% glükóz 1410
Összeegyeztethető
Injekció Etoposide phosphate 5 mg/ml
Injekció Metronidazole 5 mg/ml
5% glükóz 1410
Összeegyeztethető
Injekció Etoposide phosphate 5 mg/ml
Injekció Minocycline hydrochloride 0.2 mg/ml
5% glükóz 1410
Színváltozás 4 óra után Összeegyeztethetetlen
Injekció Etoposide phosphate 5 mg/ml
Injekció Mitomycin 0.5 mg/ml
5% glükóz 1410
Összeegyeztethető
Injekció Etoposide phosphate 5 mg/ml
Injekció Mitoxantrone dihydrochloride 0.5 mg/ml
5% glükóz 1410
Összeegyeztethető
Injekció Etoposide phosphate 5 mg/ml
Injekció Morphine sulfate 1 mg/ml
5% glükóz 1410
Összeegyeztethető
Injekció Etoposide phosphate 5 mg/ml
Injekció Nalbuphine hydrochloride 10 mg/ml
5% glükóz 1410
Összeegyeztethető
Injekció Etoposide phosphate 5 mg/ml
Injekció Netilmicin sulfate 5 mg/ml
5% glükóz 1410
Összeegyeztethető
Injekció Etoposide phosphate 5 mg/ml
Injekció Ofloxacin 4 mg/ml
5% glükóz 1410
Összeegyeztethető
Injekció Etoposide phosphate 5 mg/ml
Injekció Ondansetron hydrochloride 1 mg/ml
5% glükóz 1410
Összeegyeztethető
Injekció Etoposide phosphate 5 mg/ml
Injekció Oxaliplatin 0,5 mg/ml
5% glükóz 1662
Összeegyeztethető
Injekció Etoposide phosphate 5 mg/ml
Injekció Paclitaxel 1.2 mg/ml
5% glükóz 1410
Összeegyeztethető
Injekció Etoposide phosphate 5 mg/ml
Injekció Pethidine hydrochloride 4 mg/ml
5% glükóz 1410
Összeegyeztethető
Injekció Etoposide phosphate 5 mg/ml
Injekció Piperacillin sodium 40 mg/ml
5% glükóz 1410
Összeegyeztethető
Injekció Etoposide phosphate 5 mg/ml
Injekció Piperacillin sodium / tazobactam 40/5 mg/ml
0,9% nátrium-klorid 1410
Összeegyeztethető
Injekció Etoposide phosphate 5 mg/ml
Injekció Potassium chloride 100 mEq/l
5% glükóz 1410
Azonnali zavarosság Összeegyeztethetetlen
Injekció Etoposide phosphate 5 mg/ml
Injekció Prochlorperazine edysilate 0.5 mg/ml
5% glükóz 1410
Összeegyeztethető
Injekció Etoposide phosphate 5 mg/ml
Injekció Promethazine hydrochloride 2 mg/ml
5% glükóz 1410
Összeegyeztethető
Injekció Etoposide phosphate 5 mg/ml
Injekció Ranitidine hydrochloride 2 mg/ml
5% glükóz 1410
Összeegyeztethető
Injekció Etoposide phosphate 5 mg/ml
Injekció Sodium bicarbonate 84 mg/ml
5% glükóz 1410
Összeegyeztethető
Injekció Etoposide phosphate 5 mg/ml
Injekció Streptozocin 40 mg/ml
5% glükóz 1410
Színváltozás 4 óra után Összeegyeztethetetlen
Injekció Etoposide phosphate 5 mg/ml
Injekció Teniposide 0.1 mg/ml
0,9% nátrium-klorid 1410
Összeegyeztethető
Injekció Etoposide phosphate 5 mg/ml
Injekció Thiotepa 1 mg/ml
5% glükóz 1410
Összeegyeztethető
Injekció Etoposide phosphate 5 mg/ml
Injekció Ticarcillin / clavulanic acid 31 mg/ml
5% glükóz 1410
Összeegyeztethető
Injekció Etoposide phosphate 5 mg/ml
Injekció Tobramycin sulfate 5 mg/ml
5% glükóz 1410
Összeegyeztethető
Injekció Etoposide phosphate 5 mg/ml
Injekció Vancomycin hydrochloride 10 mg/ml
5% glükóz 1410
Összeegyeztethető
Injekció Etoposide phosphate 5 mg/ml
Injekció Vinblastine sulfate 0.12 mg/ml
5% glükóz 1410
Összeegyeztethető
Injekció Etoposide phosphate 5 mg/ml
Injekció Vincristine sulfate 0.05 mg/ml
5% glükóz 1410
Összeegyeztethető
Injekció Etoposide phosphate 5 mg/ml
Injekció Zidovudine 4 mg/ml
5% glükóz 1410

  Mentions Légales