Zadnji put ažurirano :
27/04/2026
lijek protiv karcinoma   Etoposide phosphate  
injekcija
Stabilizacija rješenja Stabilnost mješavine Stabilizacijski faktor Kompatibilnosti način davanja lijeka Bibliografija pdf
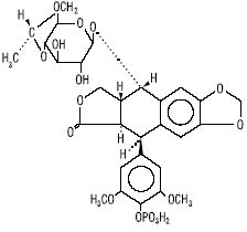
   Kemijska struktura  

Nekomercijalni   Nekomercijalni     

Zaštićeni nazivi su indikativni i sastav ekscipijensa može biti različit ovisno o državi i laboratorijima

Etopofos Austrija, Grčka, Švedska
Etopophos Belgija, Bugarska, Francuska, Izrael, Luksemburg, Nizozemska, Njemačka, novi Zeland, Poljska, S A D, Švicarska, Velika Britanija
Kompatibilnosti   injekcija   Kompatibilnosti : Etoposide phosphate              
Ovdje su prikazane kompatibilnosti ili nekompatibilnosti s tipom nekompatibilnosti (taloženje, promjena boje, modifikacija emulzije itd.) u ovom slučaju. Kompatibilnosti prikazane ovdje najčešće su fizikalne dok se kemijska stabilnost molekule rijetko procjenjuje. Procjena ovih mikstura je proučavana kako bi se razmotrila mogućnost primjene lijeka putem Y-mjesta. Ovi se podaci ne smiju koristiti za pripremu mikstura unaprijed u vrećicama ili štrcaljkama. Ova vrsta informacije se može pronaći u odjeljku « stabilnost u miksturama ».
molekula sredstvo za rastapanje Bibliografija
Kompatibilan
injekcija Etoposide phosphate 5 mg/ml
injekcija Aciclovir sodium 7 mg/ml
glukoza 5% 1410
Kompatibilan
injekcija Etoposide phosphate 5 mg/ml
injekcija Amikacin sulfate 5 mg/ml
glukoza 5% 1410
Kompatibilan
injekcija Etoposide phosphate 5 mg/ml
injekcija Aminophylline 2.5 mg/ml
glukoza 5% 1410
Neposredne oborine inkompatibilan
injekcija Etoposide phosphate 5 mg/ml
injekcija Amphotericin B 0.6 mg/ml
glukoza 5% 1410
Kompatibilan
injekcija Etoposide phosphate 5 mg/ml
injekcija Ampicillin sodium 20 mg/ml
glukoza 5% 1410
Kompatibilan
injekcija Etoposide phosphate 5 mg/ml
injekcija Ampicillin sodium - sulbactam sodium 20/10 mg/ml
glukoza 5% 1410
Kompatibilan
injekcija Etoposide phosphate 5 mg/ml
injekcija Anidulafungin 0.5 mg/ml
glukoza 5% 1982
Kompatibilan
injekcija Etoposide phosphate 5 mg/ml
injekcija Aztreonam 40 mg/ml
glukoza 5% 1410
Kompatibilan
injekcija Etoposide phosphate 5 mg/ml
injekcija Bleomycin sulfate 1 mg/ml
natrijumkorid 0,9% 1410
Kompatibilan
injekcija Etoposide phosphate 5 mg/ml
injekcija Bumetanide 0.04 mg/ml
glukoza 5% 1410
Kompatibilan
injekcija Etoposide phosphate 5 mg/ml
injekcija Buprenorphine hydrochloride 0.04 mg/ml
glukoza 5% 1410
Kompatibilan
injekcija Etoposide phosphate 5 mg/ml
injekcija Butorphanol tartrate 0.04 mg/ml
glukoza 5% 1410
Neodređena nespojivost inkompatibilan
injekcija Etoposide phosphate
injekcija Calcium gluconate
3644
Kompatibilan
injekcija Etoposide phosphate 5 mg/ml
injekcija Calcium gluconate 40 mg/ml
glukoza 5% 1410
Kompatibilan
injekcija Etoposide phosphate 5 mg/ml
injekcija Carboplatin 5 mg/ml
glukoza 5% 1410
Kompatibilan
injekcija Etoposide phosphate 5 mg/ml
injekcija Carmustine 1.5 mg/ml
glukoza 5% 1410
Kompatibilan
injekcija Etoposide phosphate 5 mg/ml
injekcija Caspofungin acetate 0,7 mg/ml
natrijumkorid 0,9% 2247
Kompatibilan
injekcija Etoposide phosphate 5 mg/ml
injekcija Cefazolin sodium 20 mg/ml
glukoza 5% 1410
Neposredna zamućenost inkompatibilan
injekcija Etoposide phosphate 5 mg/ml
injekcija Cefepime dihydrochloride 20 mg/ml
glukoza 5% 1410
Kompatibilan
injekcija Etoposide phosphate 5 mg/ml
injekcija Cefonicid sodium 20 mg/ml
glukoza 5% 1410
Kompatibilan
injekcija Etoposide phosphate 5 mg/ml
injekcija Cefoperazone sodium 40 mg/ml
glukoza 5% 1410
Kompatibilan
injekcija Etoposide phosphate 5 mg/ml
injekcija Cefotaxime sodium 20 mg/ml
glukoza 5% 1410
Kompatibilan
injekcija Etoposide phosphate 5 mg/ml
injekcija Cefoxitin sodium 20 mg/ml
glukoza 5% 1410
Kompatibilan
injekcija Etoposide phosphate 5 mg/ml
injekcija Ceftazidime 40 mg/ml
glukoza 5% 1410
Kompatibilan
injekcija Etoposide phosphate 5 mg/ml
injekcija Ceftriaxone disodium 20 mg/ml
glukoza 5% 1410
Kompatibilan
injekcija Etoposide phosphate
glukoza 5% 3655
inkompatibilan
injekcija Etoposide phosphate
injekcija Calcium gluconate
4964
Kompatibilan
injekcija Etoposide phosphate 5 mg/ml
injekcija Ceftizoxime sodium 20 mg/ml
glukoza 5% 1410
Kompatibilan
injekcija Etoposide phosphate 5 mg/ml
injekcija Cefuroxime sodium 30 mg/ml
glukoza 5% 1410
Neposredna zamućenost inkompatibilan
injekcija Etoposide phosphate 5 mg/ml
injekcija Chlorpromazine hydrochloride 2 mg/ml
glukoza 5% 1410
Kompatibilan
injekcija Etoposide phosphate 5 mg/ml
injekcija Cimetidine hydrochloride 12 mg/ml
glukoza 5% 1410
Kompatibilan
injekcija Etoposide phosphate 5 mg/ml
injekcija Ciprofloxacin lactate 1 mg/ml
glukoza 5% 1410
Kompatibilan
injekcija Etoposide phosphate 5 mg/ml
injekcija Cisplatin 1 mg/ml
glukoza 5% 1410
Kompatibilan
injekcija Etoposide phosphate 5 mg/ml
injekcija Clindamycin phosphate 10 mg/ml
glukoza 5% 1410
Kompatibilan
injekcija Etoposide phosphate 5 mg/ml
injekcija Co-trimoxazole 0.8/4 mg/ml
glukoza 5% 1410
Kompatibilan
injekcija Etoposide phosphate 5 mg/ml
injekcija Cyclophosphamide 10 mg/ml
glukoza 5% 1410
Kompatibilan
injekcija Etoposide phosphate 5 mg/ml
injekcija Cytarabine 50 mg/ml
glukoza 5% 1410
Kompatibilan
injekcija Etoposide phosphate 5 mg/ml
injekcija Dacarbazine 4 mg/ml
glukoza 5% 1410
Kompatibilan
injekcija Etoposide phosphate 5 mg/ml
injekcija Dactinomycin 10 µg/ml
glukoza 5% 1410
Kompatibilan
injekcija Etoposide phosphate 5 mg/ml
injekcija Daunorubicin hydrochloride 1 mg/ml
glukoza 5% 1410
Kompatibilan
injekcija Etoposide phosphate 5 mg/ml
injekcija Dexamethasone sodium phosphate 1 mg/ml
glukoza 5% 1410
Kompatibilan
injekcija Etoposide phosphate 5 mg/ml
injekcija Diphenhydramine hydrochloride 2 mg/ml
glukoza 5% 1410
Kompatibilan
injekcija Etoposide phosphate 5 mg/ml
injekcija Dobutamine hydrochloride 4 mg/ml
glukoza 5% 1410
Kompatibilan
injekcija Etoposide phosphate 5 mg/ml
injekcija Dopamine hydrochloride 3.2 mg/ml
glukoza 5% 1410
Kompatibilan
injekcija Etoposide phosphate 5 mg/ml
injekcija Doripenem 5 mg/ml
natrijumkorid 0,9% 2262
Kompatibilan
injekcija Etoposide phosphate 5 mg/ml
injekcija Doripenem 5 mg/ml
glukoza 5% 2262
Kompatibilan
injekcija Etoposide phosphate 5 mg/ml
injekcija Doxorubicin hydrochloride 2 mg/ml
glukoza 5% 1410
Kompatibilan
injekcija Etoposide phosphate 5 mg/ml
injekcija Doxycycline hyclate 1 mg/ml
glukoza 5% 1410
Kompatibilan
injekcija Etoposide phosphate 5 mg/ml
injekcija Droperidol 0.4 mg/ml
glukoza 5% 1410
Kompatibilan
injekcija Etoposide phosphate 5 mg/ml
injekcija Enalaprilate 0.1 mg/ml
glukoza 5% 1410
Kompatibilan
injekcija Etoposide phosphate 5 mg/ml
injekcija Famotidine 2 mg/ml
glukoza 5% 1410
Kompatibilan
injekcija Etoposide phosphate 5 mg/ml
injekcija Floxuridine 3 mg/ml
glukoza 5% 1410
Kompatibilan
injekcija Etoposide phosphate 5 mg/ml
injekcija Fluconazole 2 mg/ml
glukoza 5% 1410
Kompatibilan
injekcija Etoposide phosphate 5 mg/ml
injekcija Fludarabine phosphate 1 mg/ml
glukoza 5% 1410
Kompatibilan
injekcija Etoposide phosphate 5 mg/ml
injekcija Fluorouracil 16 mg/ml
glukoza 5% 1410
Kompatibilan
injekcija Etoposide phosphate 5 mg/ml
injekcija Folinate calcium 2 mg/ml
glukoza 5% 1410
Kompatibilan
injekcija Etoposide phosphate 5 mg/ml
injekcija Furosemide 3 mg/ml
glukoza 5% 1410
Kompatibilan
injekcija Etoposide phosphate 5 mg/ml
injekcija Gallium nitrate 0.4 mg/ml
glukoza 5% 1410
Kompatibilan
injekcija Etoposide phosphate 5 mg/ml
injekcija Ganciclovir sodium 20 mg/ml
glukoza 5% 1410
Kompatibilan
injekcija Etoposide phosphate 5 mg/ml
injekcija Gemcitabine hydrochloride 10 mg/ml
natrijumkorid 0,9% 1423
Kompatibilan
injekcija Etoposide phosphate 5 mg/ml
injekcija Gentamicin sulfate 5 mg/ml
glukoza 5% 1410
Kompatibilan
injekcija Etoposide phosphate 5 mg/ml
injekcija Granisetron hydrochloride 0.05 mg/ml
glukoza 5% 1410
Kompatibilan
injekcija Etoposide phosphate 5 mg/ml
injekcija Haloperidol lactate 0.2 mg/ml
glukoza 5% 1410
Kompatibilan
injekcija Etoposide phosphate 5 mg/ml
injekcija Heparin sodium 100 UI/ml
glukoza 5% 1410
Kompatibilan
injekcija Etoposide phosphate 5 mg/ml
injekcija Hydrocortisone sodium succinate 1 mg/ml
glukoza 5% 1410
Kompatibilan
injekcija Etoposide phosphate 5 mg/ml
injekcija Hydromorphone hydrochloride 0.5 mg/ml
glukoza 5% 1410
Kompatibilan
injekcija Etoposide phosphate 5 mg/ml
injekcija Hydroxyzine dihydrochloride 4 mg/ml
glukoza 5% 1410
Kompatibilan
injekcija Etoposide phosphate 5 mg/ml
injekcija Idarubicin hydrochloride 0.5 mg/ml
glukoza 5% 1410
Kompatibilan
injekcija Etoposide phosphate 5 mg/ml
injekcija Ifosfamide 25 mg/ml
glukoza 5% 1410
Promjena boje je nakon 4 sata inkompatibilan
injekcija Etoposide phosphate 5 mg/ml
injekcija Imipenem - cilastatin sodium 10 mg/ml
natrijumkorid 0,9% 1410
Neposredne oborine inkompatibilan
injekcija Etoposide phosphate 5 mg/ml
injekcija Lansoprazole 0.55 mg/ml
natrijumkorid 0,9% 1625
Kompatibilan
injekcija Etoposide phosphate 5 mg/ml
injekcija Linezolid 2 mg/ml
nijedan 1925
Kompatibilan
injekcija Etoposide phosphate
natrijumkorid 0,9% 3655
Kompatibilan
injekcija Etoposide phosphate 5 mg/ml
injekcija Lorazepam 0.5 mg/ml
glukoza 5% 1410
Neodređena nespojivost inkompatibilan
injekcija Etoposide phosphate
injekcija Magnesium sulfate
3838
Kompatibilan
injekcija Etoposide phosphate 5 mg/ml
injekcija Magnesium sulfate 100 mg/ml
glukoza 5% 1410
Kompatibilan
injekcija Etoposide phosphate 5 mg/ml
injekcija Mannitol 150 mg/ml
glukoza 5% 1410
Kompatibilan
injekcija Etoposide phosphate 5 mg/ml
injekcija Mesna 10 mg/ml
glukoza 5% 1410
Kompatibilan
injekcija Etoposide phosphate 5 mg/ml
injekcija Methotrexate sodium 15 mg/ml
glukoza 5% 1410
Neposredna zamućenost inkompatibilan
injekcija Etoposide phosphate 5 mg/ml
injekcija Methylprednisolone sodium succinate 5 mg/ml
glukoza 5% 1410
Kompatibilan
injekcija Etoposide phosphate 5 mg/ml
injekcija Metoclopramide hydrochloride 5 mg/ml
glukoza 5% 1410
Kompatibilan
injekcija Etoposide phosphate 5 mg/ml
injekcija Metronidazole 5 mg/ml
glukoza 5% 1410
Kompatibilan
injekcija Etoposide phosphate 5 mg/ml
injekcija Minocycline hydrochloride 0.2 mg/ml
glukoza 5% 1410
Promjena boje je nakon 4 sata inkompatibilan
injekcija Etoposide phosphate 5 mg/ml
injekcija Mitomycin 0.5 mg/ml
glukoza 5% 1410
Kompatibilan
injekcija Etoposide phosphate 5 mg/ml
injekcija Mitoxantrone dihydrochloride 0.5 mg/ml
glukoza 5% 1410
Kompatibilan
injekcija Etoposide phosphate 5 mg/ml
injekcija Morphine sulfate 1 mg/ml
glukoza 5% 1410
Kompatibilan
injekcija Etoposide phosphate 5 mg/ml
injekcija Nalbuphine hydrochloride 10 mg/ml
glukoza 5% 1410
Kompatibilan
injekcija Etoposide phosphate 5 mg/ml
injekcija Netilmicin sulfate 5 mg/ml
glukoza 5% 1410
Kompatibilan
injekcija Etoposide phosphate 5 mg/ml
injekcija Ofloxacin 4 mg/ml
glukoza 5% 1410
Kompatibilan
injekcija Etoposide phosphate 5 mg/ml
injekcija Ondansetron hydrochloride 1 mg/ml
glukoza 5% 1410
Kompatibilan
injekcija Etoposide phosphate 5 mg/ml
injekcija Oxaliplatin 0,5 mg/ml
glukoza 5% 1662
Kompatibilan
injekcija Etoposide phosphate 5 mg/ml
injekcija Paclitaxel 1.2 mg/ml
glukoza 5% 1410
Kompatibilan
injekcija Etoposide phosphate 5 mg/ml
injekcija Pethidine hydrochloride 4 mg/ml
glukoza 5% 1410
Kompatibilan
injekcija Etoposide phosphate 5 mg/ml
injekcija Piperacillin sodium 40 mg/ml
glukoza 5% 1410
Kompatibilan
injekcija Etoposide phosphate 5 mg/ml
injekcija Piperacillin sodium / tazobactam 40/5 mg/ml
natrijumkorid 0,9% 1410
Kompatibilan
injekcija Etoposide phosphate 5 mg/ml
injekcija Potassium chloride 100 mEq/l
glukoza 5% 1410
Neposredna zamućenost inkompatibilan
injekcija Etoposide phosphate 5 mg/ml
injekcija Prochlorperazine edysilate 0.5 mg/ml
glukoza 5% 1410
Kompatibilan
injekcija Etoposide phosphate 5 mg/ml
injekcija Promethazine hydrochloride 2 mg/ml
glukoza 5% 1410
Kompatibilan
injekcija Etoposide phosphate 5 mg/ml
injekcija Ranitidine hydrochloride 2 mg/ml
glukoza 5% 1410
Kompatibilan
injekcija Etoposide phosphate 5 mg/ml
injekcija Sodium bicarbonate 84 mg/ml
glukoza 5% 1410
Kompatibilan
injekcija Etoposide phosphate 5 mg/ml
injekcija Streptozocin 40 mg/ml
glukoza 5% 1410
Promjena boje je nakon 4 sata inkompatibilan
injekcija Etoposide phosphate 5 mg/ml
injekcija Teniposide 0.1 mg/ml
natrijumkorid 0,9% 1410
Kompatibilan
injekcija Etoposide phosphate 5 mg/ml
injekcija Thiotepa 1 mg/ml
glukoza 5% 1410
Kompatibilan
injekcija Etoposide phosphate 5 mg/ml
injekcija Ticarcillin / clavulanic acid 31 mg/ml
glukoza 5% 1410
Kompatibilan
injekcija Etoposide phosphate 5 mg/ml
injekcija Tobramycin sulfate 5 mg/ml
glukoza 5% 1410
Kompatibilan
injekcija Etoposide phosphate 5 mg/ml
injekcija Vancomycin hydrochloride 10 mg/ml
glukoza 5% 1410
Kompatibilan
injekcija Etoposide phosphate 5 mg/ml
injekcija Vinblastine sulfate 0.12 mg/ml
glukoza 5% 1410
Kompatibilan
injekcija Etoposide phosphate 5 mg/ml
injekcija Vincristine sulfate 0.05 mg/ml
glukoza 5% 1410
Kompatibilan
injekcija Etoposide phosphate 5 mg/ml
injekcija Zidovudine 4 mg/ml
glukoza 5% 1410

  Mentions Légales