Останнє оновлення :
27/04/2026
Протипухлинний препарат   Etoposide phosphate  
ін'єкція
Стійкість в розчинах Стійкість сумішей Фактори, що впливають на стабільність Сумісність Шлях введення Список літератури pdf
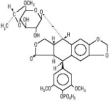
   Хімічна структура  

Торгова назва   Торгова назва     

Торгові назви є орієнтовними, а склад допоміжних речовин може бути різним залежно від країни та виробника

Etopofos Австрія, Греція, Швеція
Etopophos Ізраїль, Бельгія, Болгарія, Великобританія, Люксембург, Нідерланди, Німеччина, Нова Зеландія, Польща, Сполучені Штати Америки, Франція, Швейцарія
Сумісність   ін'єкція   Сумісність : Etoposide phosphate              
explication_incompatibilite_molecules
З'єднання Розчинник Список літератури
сумісний
ін'єкція Etoposide phosphate 5 mg/ml
ін'єкція Aciclovir sodium 7 mg/ml
Глюкоза 5% 1410
сумісний
ін'єкція Etoposide phosphate 5 mg/ml
ін'єкція Amikacin sulfate 5 mg/ml
Глюкоза 5% 1410
сумісний
ін'єкція Etoposide phosphate 5 mg/ml
ін'єкція Aminophylline 2.5 mg/ml
Глюкоза 5% 1410
Миттєві опади Несумісні
ін'єкція Etoposide phosphate 5 mg/ml
ін'єкція Amphotericin B 0.6 mg/ml
Глюкоза 5% 1410
сумісний
ін'єкція Etoposide phosphate 5 mg/ml
ін'єкція Ampicillin sodium 20 mg/ml
Глюкоза 5% 1410
сумісний
ін'єкція Etoposide phosphate 5 mg/ml
ін'єкція Ampicillin sodium - sulbactam sodium 20/10 mg/ml
Глюкоза 5% 1410
сумісний
ін'єкція Etoposide phosphate 5 mg/ml
ін'єкція Anidulafungin 0.5 mg/ml
Глюкоза 5% 1982
сумісний
ін'єкція Etoposide phosphate 5 mg/ml
ін'єкція Aztreonam 40 mg/ml
Глюкоза 5% 1410
сумісний
ін'єкція Etoposide phosphate 5 mg/ml
ін'єкція Bleomycin sulfate 1 mg/ml
Натрію хлорид 0,9% 1410
сумісний
ін'єкція Etoposide phosphate 5 mg/ml
ін'єкція Bumetanide 0.04 mg/ml
Глюкоза 5% 1410
сумісний
ін'єкція Etoposide phosphate 5 mg/ml
ін'єкція Buprenorphine hydrochloride 0.04 mg/ml
Глюкоза 5% 1410
сумісний
ін'єкція Etoposide phosphate 5 mg/ml
ін'єкція Butorphanol tartrate 0.04 mg/ml
Глюкоза 5% 1410
Неуточнена несумісність Несумісні
ін'єкція Etoposide phosphate
ін'єкція Calcium gluconate
3644
сумісний
ін'єкція Etoposide phosphate 5 mg/ml
ін'єкція Calcium gluconate 40 mg/ml
Глюкоза 5% 1410
сумісний
ін'єкція Etoposide phosphate 5 mg/ml
ін'єкція Carboplatin 5 mg/ml
Глюкоза 5% 1410
сумісний
ін'єкція Etoposide phosphate 5 mg/ml
ін'єкція Carmustine 1.5 mg/ml
Глюкоза 5% 1410
сумісний
ін'єкція Etoposide phosphate 5 mg/ml
ін'єкція Caspofungin acetate 0,7 mg/ml
Натрію хлорид 0,9% 2247
сумісний
ін'єкція Etoposide phosphate 5 mg/ml
ін'єкція Cefazolin sodium 20 mg/ml
Глюкоза 5% 1410
Негайне помутніння Несумісні
ін'єкція Etoposide phosphate 5 mg/ml
ін'єкція Cefepime dihydrochloride 20 mg/ml
Глюкоза 5% 1410
сумісний
ін'єкція Etoposide phosphate 5 mg/ml
ін'єкція Cefonicid sodium 20 mg/ml
Глюкоза 5% 1410
сумісний
ін'єкція Etoposide phosphate 5 mg/ml
ін'єкція Cefoperazone sodium 40 mg/ml
Глюкоза 5% 1410
сумісний
ін'єкція Etoposide phosphate 5 mg/ml
ін'єкція Cefotaxime sodium 20 mg/ml
Глюкоза 5% 1410
сумісний
ін'єкція Etoposide phosphate 5 mg/ml
ін'єкція Cefoxitin sodium 20 mg/ml
Глюкоза 5% 1410
сумісний
ін'єкція Etoposide phosphate 5 mg/ml
ін'єкція Ceftazidime 40 mg/ml
Глюкоза 5% 1410
сумісний
ін'єкція Etoposide phosphate 5 mg/ml
ін'єкція Ceftriaxone disodium 20 mg/ml
Глюкоза 5% 1410
сумісний
ін'єкція Etoposide phosphate
Глюкоза 5% 3655
Несумісні
ін'єкція Etoposide phosphate
ін'єкція Calcium gluconate
4964
сумісний
ін'єкція Etoposide phosphate 5 mg/ml
ін'єкція Ceftizoxime sodium 20 mg/ml
Глюкоза 5% 1410
сумісний
ін'єкція Etoposide phosphate 5 mg/ml
ін'єкція Cefuroxime sodium 30 mg/ml
Глюкоза 5% 1410
Негайне помутніння Несумісні
ін'єкція Etoposide phosphate 5 mg/ml
ін'єкція Chlorpromazine hydrochloride 2 mg/ml
Глюкоза 5% 1410
сумісний
ін'єкція Etoposide phosphate 5 mg/ml
ін'єкція Cimetidine hydrochloride 12 mg/ml
Глюкоза 5% 1410
сумісний
ін'єкція Etoposide phosphate 5 mg/ml
ін'єкція Ciprofloxacin lactate 1 mg/ml
Глюкоза 5% 1410
сумісний
ін'єкція Etoposide phosphate 5 mg/ml
ін'єкція Cisplatin 1 mg/ml
Глюкоза 5% 1410
сумісний
ін'єкція Etoposide phosphate 5 mg/ml
ін'єкція Clindamycin phosphate 10 mg/ml
Глюкоза 5% 1410
сумісний
ін'єкція Etoposide phosphate 5 mg/ml
ін'єкція Co-trimoxazole 0.8/4 mg/ml
Глюкоза 5% 1410
сумісний
ін'єкція Etoposide phosphate 5 mg/ml
ін'єкція Cyclophosphamide 10 mg/ml
Глюкоза 5% 1410
сумісний
ін'єкція Etoposide phosphate 5 mg/ml
ін'єкція Cytarabine 50 mg/ml
Глюкоза 5% 1410
сумісний
ін'єкція Etoposide phosphate 5 mg/ml
ін'єкція Dacarbazine 4 mg/ml
Глюкоза 5% 1410
сумісний
ін'єкція Etoposide phosphate 5 mg/ml
ін'єкція Dactinomycin 10 µg/ml
Глюкоза 5% 1410
сумісний
ін'єкція Etoposide phosphate 5 mg/ml
ін'єкція Daunorubicin hydrochloride 1 mg/ml
Глюкоза 5% 1410
сумісний
ін'єкція Etoposide phosphate 5 mg/ml
ін'єкція Dexamethasone sodium phosphate 1 mg/ml
Глюкоза 5% 1410
сумісний
ін'єкція Etoposide phosphate 5 mg/ml
ін'єкція Diphenhydramine hydrochloride 2 mg/ml
Глюкоза 5% 1410
сумісний
ін'єкція Etoposide phosphate 5 mg/ml
ін'єкція Dobutamine hydrochloride 4 mg/ml
Глюкоза 5% 1410
сумісний
ін'єкція Etoposide phosphate 5 mg/ml
ін'єкція Dopamine hydrochloride 3.2 mg/ml
Глюкоза 5% 1410
сумісний
ін'єкція Etoposide phosphate 5 mg/ml
ін'єкція Doripenem 5 mg/ml
Натрію хлорид 0,9% 2262
сумісний
ін'єкція Etoposide phosphate 5 mg/ml
ін'єкція Doripenem 5 mg/ml
Глюкоза 5% 2262
сумісний
ін'єкція Etoposide phosphate 5 mg/ml
ін'єкція Doxorubicin hydrochloride 2 mg/ml
Глюкоза 5% 1410
сумісний
ін'єкція Etoposide phosphate 5 mg/ml
ін'єкція Doxycycline hyclate 1 mg/ml
Глюкоза 5% 1410
сумісний
ін'єкція Etoposide phosphate 5 mg/ml
ін'єкція Droperidol 0.4 mg/ml
Глюкоза 5% 1410
сумісний
ін'єкція Etoposide phosphate 5 mg/ml
ін'єкція Enalaprilate 0.1 mg/ml
Глюкоза 5% 1410
сумісний
ін'єкція Etoposide phosphate 5 mg/ml
ін'єкція Famotidine 2 mg/ml
Глюкоза 5% 1410
сумісний
ін'єкція Etoposide phosphate 5 mg/ml
ін'єкція Floxuridine 3 mg/ml
Глюкоза 5% 1410
сумісний
ін'єкція Etoposide phosphate 5 mg/ml
ін'єкція Fluconazole 2 mg/ml
Глюкоза 5% 1410
сумісний
ін'єкція Etoposide phosphate 5 mg/ml
ін'єкція Fludarabine phosphate 1 mg/ml
Глюкоза 5% 1410
сумісний
ін'єкція Etoposide phosphate 5 mg/ml
ін'єкція Fluorouracil 16 mg/ml
Глюкоза 5% 1410
сумісний
ін'єкція Etoposide phosphate 5 mg/ml
ін'єкція Folinate calcium 2 mg/ml
Глюкоза 5% 1410
сумісний
ін'єкція Etoposide phosphate 5 mg/ml
ін'єкція Furosemide 3 mg/ml
Глюкоза 5% 1410
сумісний
ін'єкція Etoposide phosphate 5 mg/ml
ін'єкція Gallium nitrate 0.4 mg/ml
Глюкоза 5% 1410
сумісний
ін'єкція Etoposide phosphate 5 mg/ml
ін'єкція Ganciclovir sodium 20 mg/ml
Глюкоза 5% 1410
сумісний
ін'єкція Etoposide phosphate 5 mg/ml
ін'єкція Gemcitabine hydrochloride 10 mg/ml
Натрію хлорид 0,9% 1423
сумісний
ін'єкція Etoposide phosphate 5 mg/ml
ін'єкція Gentamicin sulfate 5 mg/ml
Глюкоза 5% 1410
сумісний
ін'єкція Etoposide phosphate 5 mg/ml
ін'єкція Granisetron hydrochloride 0.05 mg/ml
Глюкоза 5% 1410
сумісний
ін'єкція Etoposide phosphate 5 mg/ml
ін'єкція Haloperidol lactate 0.2 mg/ml
Глюкоза 5% 1410
сумісний
ін'єкція Etoposide phosphate 5 mg/ml
ін'єкція Heparin sodium 100 UI/ml
Глюкоза 5% 1410
сумісний
ін'єкція Etoposide phosphate 5 mg/ml
ін'єкція Hydrocortisone sodium succinate 1 mg/ml
Глюкоза 5% 1410
сумісний
ін'єкція Etoposide phosphate 5 mg/ml
ін'єкція Hydromorphone hydrochloride 0.5 mg/ml
Глюкоза 5% 1410
сумісний
ін'єкція Etoposide phosphate 5 mg/ml
ін'єкція Hydroxyzine dihydrochloride 4 mg/ml
Глюкоза 5% 1410
сумісний
ін'єкція Etoposide phosphate 5 mg/ml
ін'єкція Idarubicin hydrochloride 0.5 mg/ml
Глюкоза 5% 1410
сумісний
ін'єкція Etoposide phosphate 5 mg/ml
ін'єкція Ifosfamide 25 mg/ml
Глюкоза 5% 1410
Зміна кольору через 4 години Несумісні
ін'єкція Etoposide phosphate 5 mg/ml
ін'єкція Imipenem - cilastatin sodium 10 mg/ml
Натрію хлорид 0,9% 1410
Миттєві опади Несумісні
ін'єкція Etoposide phosphate 5 mg/ml
ін'єкція Lansoprazole 0.55 mg/ml
Натрію хлорид 0,9% 1625
сумісний
ін'єкція Etoposide phosphate 5 mg/ml
ін'єкція Linezolid 2 mg/ml
Жодного 1925
сумісний
ін'єкція Etoposide phosphate
Натрію хлорид 0,9% 3655
сумісний
ін'єкція Etoposide phosphate 5 mg/ml
ін'єкція Lorazepam 0.5 mg/ml
Глюкоза 5% 1410
Неуточнена несумісність Несумісні
ін'єкція Etoposide phosphate
ін'єкція Magnesium sulfate
3838
сумісний
ін'єкція Etoposide phosphate 5 mg/ml
ін'єкція Magnesium sulfate 100 mg/ml
Глюкоза 5% 1410
сумісний
ін'єкція Etoposide phosphate 5 mg/ml
ін'єкція Mannitol 150 mg/ml
Глюкоза 5% 1410
сумісний
ін'єкція Etoposide phosphate 5 mg/ml
ін'єкція Mesna 10 mg/ml
Глюкоза 5% 1410
сумісний
ін'єкція Etoposide phosphate 5 mg/ml
ін'єкція Methotrexate sodium 15 mg/ml
Глюкоза 5% 1410
Негайне помутніння Несумісні
ін'єкція Etoposide phosphate 5 mg/ml
ін'єкція Methylprednisolone sodium succinate 5 mg/ml
Глюкоза 5% 1410
сумісний
ін'єкція Etoposide phosphate 5 mg/ml
ін'єкція Metoclopramide hydrochloride 5 mg/ml
Глюкоза 5% 1410
сумісний
ін'єкція Etoposide phosphate 5 mg/ml
ін'єкція Metronidazole 5 mg/ml
Глюкоза 5% 1410
сумісний
ін'єкція Etoposide phosphate 5 mg/ml
ін'єкція Minocycline hydrochloride 0.2 mg/ml
Глюкоза 5% 1410
Зміна кольору через 4 години Несумісні
ін'єкція Etoposide phosphate 5 mg/ml
ін'єкція Mitomycin 0.5 mg/ml
Глюкоза 5% 1410
сумісний
ін'єкція Etoposide phosphate 5 mg/ml
ін'єкція Mitoxantrone dihydrochloride 0.5 mg/ml
Глюкоза 5% 1410
сумісний
ін'єкція Etoposide phosphate 5 mg/ml
ін'єкція Morphine sulfate 1 mg/ml
Глюкоза 5% 1410
сумісний
ін'єкція Etoposide phosphate 5 mg/ml
ін'єкція Nalbuphine hydrochloride 10 mg/ml
Глюкоза 5% 1410
сумісний
ін'єкція Etoposide phosphate 5 mg/ml
ін'єкція Netilmicin sulfate 5 mg/ml
Глюкоза 5% 1410
сумісний
ін'єкція Etoposide phosphate 5 mg/ml
ін'єкція Ofloxacin 4 mg/ml
Глюкоза 5% 1410
сумісний
ін'єкція Etoposide phosphate 5 mg/ml
ін'єкція Ondansetron hydrochloride 1 mg/ml
Глюкоза 5% 1410
сумісний
ін'єкція Etoposide phosphate 5 mg/ml
ін'єкція Oxaliplatin 0,5 mg/ml
Глюкоза 5% 1662
сумісний
ін'єкція Etoposide phosphate 5 mg/ml
ін'єкція Paclitaxel 1.2 mg/ml
Глюкоза 5% 1410
сумісний
ін'єкція Etoposide phosphate 5 mg/ml
ін'єкція Pethidine hydrochloride 4 mg/ml
Глюкоза 5% 1410
сумісний
ін'єкція Etoposide phosphate 5 mg/ml
ін'єкція Piperacillin sodium 40 mg/ml
Глюкоза 5% 1410
сумісний
ін'єкція Etoposide phosphate 5 mg/ml
ін'єкція Piperacillin sodium / tazobactam 40/5 mg/ml
Натрію хлорид 0,9% 1410
сумісний
ін'єкція Etoposide phosphate 5 mg/ml
ін'єкція Potassium chloride 100 mEq/l
Глюкоза 5% 1410
Негайне помутніння Несумісні
ін'єкція Etoposide phosphate 5 mg/ml
ін'єкція Prochlorperazine edysilate 0.5 mg/ml
Глюкоза 5% 1410
сумісний
ін'єкція Etoposide phosphate 5 mg/ml
ін'єкція Promethazine hydrochloride 2 mg/ml
Глюкоза 5% 1410
сумісний
ін'єкція Etoposide phosphate 5 mg/ml
ін'єкція Ranitidine hydrochloride 2 mg/ml
Глюкоза 5% 1410
сумісний
ін'єкція Etoposide phosphate 5 mg/ml
ін'єкція Sodium bicarbonate 84 mg/ml
Глюкоза 5% 1410
сумісний
ін'єкція Etoposide phosphate 5 mg/ml
ін'єкція Streptozocin 40 mg/ml
Глюкоза 5% 1410
Зміна кольору через 4 години Несумісні
ін'єкція Etoposide phosphate 5 mg/ml
ін'єкція Teniposide 0.1 mg/ml
Натрію хлорид 0,9% 1410
сумісний
ін'єкція Etoposide phosphate 5 mg/ml
ін'єкція Thiotepa 1 mg/ml
Глюкоза 5% 1410
сумісний
ін'єкція Etoposide phosphate 5 mg/ml
ін'єкція Ticarcillin / clavulanic acid 31 mg/ml
Глюкоза 5% 1410
сумісний
ін'єкція Etoposide phosphate 5 mg/ml
ін'єкція Tobramycin sulfate 5 mg/ml
Глюкоза 5% 1410
сумісний
ін'єкція Etoposide phosphate 5 mg/ml
ін'єкція Vancomycin hydrochloride 10 mg/ml
Глюкоза 5% 1410
сумісний
ін'єкція Etoposide phosphate 5 mg/ml
ін'єкція Vinblastine sulfate 0.12 mg/ml
Глюкоза 5% 1410
сумісний
ін'єкція Etoposide phosphate 5 mg/ml
ін'єкція Vincristine sulfate 0.05 mg/ml
Глюкоза 5% 1410
сумісний
ін'єкція Etoposide phosphate 5 mg/ml
ін'єкція Zidovudine 4 mg/ml
Глюкоза 5% 1410

  Mentions Légales