zadnja posodobitev :
27/04/2026
Kardiotonik   Digoxin  
Brizgalka
Stabilnost raztopine Stabilnost mešanice Faktorji, ki vplivajo na stabilnost Kompatibilnost način aplikacije Viri pdf
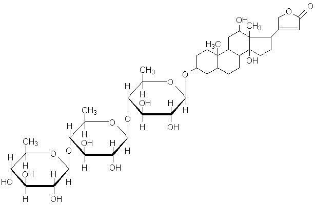
   Kemična formula  

Lastniško ime   Lastniško ime     

Sestava pomožnih snovi je med paralelami lahko različna

Cardixin Egipt
Celoxin Indija
Digibind nova Zelandija, Združene države Amerike
Digocard Argentina, Ekvador
Digosin Japonska
Digoxin Argentina, Danska, Ekvador, Finska, Iran, Kanada, Madžarska, Poljska, Švedska, Velika Britanija, Združene države Amerike
Digoxina Argentina, Ekvador, Mehika, Španija, Venezuela
Digoxine Francija, Grčija, Švica
Geoxin Indija
Lanibos Savdska Arabija
Lanicor Nemčija
Lanoxin Belgija, Čile, Egipt, Iran, Irska, Italija, Luksemburg, Malezija, Nizozemska, Norveška, nova Zelandija, Portugalska, Savdska Arabija, Velika Britanija, Združene države Amerike, Združeni arabski emirati
Loxinan Mehika
Kompatibilnost   Brizgalka   Kompatibilnost : Digoxin              
Ta zaslon prikazuje združljivost ali nezdružljivost s, v tem primeru, vrsto nezdružljivosti (padavine, sprememba barve, sprememba emulzije itd.). Tu prikazane združljivosti so večinoma samo fizične, pri čemer se kemijska stabilnost vsake molekule redko ocenjuje. Vrednotenje teh zmesi so preučevali, da bi preučili možnost pacientovega dajanja na mestu Y. Teh podatkov ni mogoče uporabiti za pripravo mešanic v vrečkah ali brizgah. Ta vrsta informacij je na voljo na zaslonu "Obstojnost v mešanici".
Sestava Topilo Viri
Takoj padavine Nezdružljivo
Brizgalka Digoxin 250 µg/ml
Brizgalka Amiodarone hydrochloride 6 mg/ml
Glukoza 5% 1611
Združljivo
Brizgalka Digoxin 250 µg/ml
Brizgalka Amoxicillin sodium / clavulanic acid 100/10 mg/ml
3824
Takoj padavine Nezdružljivo
Brizgalka Digoxin 250 µg/ml
Brizgalka Amphotericin B cholesteryl sulfate complex 0.83 mg/ml
Glukoza 5% 921
Združljivo
Brizgalka Digoxin 250 µg/ml
Brizgalka Anidulafungin 0.5 mg/ml
Glukoza 5% 1982
Združljivo
Brizgalka Digoxin 250 µg/ml
Brizgalka Caffeine 10 mg/ml
Nobeden 3964
Združljivo
Brizgalka Digoxin
Glukoza 5% 618
Združljivo
Brizgalka Digoxin 250 µg/ml
Brizgalka Bivalirudin 5 mg/ml
Glukoza 5% 1713
Združljivo
Brizgalka Digoxin 2 µg/ml
Brizgalka Bretylium tosilate 1 mg/ml
Natrijev klorid 0,9% 1193
Združljivo
Brizgalka Digoxin 2 µg/ml
Brizgalka Bretylium tosilate 1 mg/ml
Glukoza 5% 1193
Združljivo
Brizgalka Digoxin 250 µg/ml
Brizgalka Cefiderocol sulfate tosylate 20 mg/mL
Natrijev klorid 0,9% 4528
Združljivo
Brizgalka Digoxin 250 µg/ml
Brizgalka Cefiderocol sulfate tosylate 20 mg/mL
Glukoza 5% 4528
Združljivo
Brizgalka Digoxin 250 µg/ml
Brizgalka Cefmetazole sodium 100 mg/ml
Voda za injekcije 93
Združljivo
Brizgalka Digoxin 250 µg/ml
Brizgalka Ceftaroline fosamil 2,22 mg/ml
Glukoza 5% 3249
Združljivo
Brizgalka Digoxin 250 µg/ml
Brizgalka Ceftaroline fosamil 2,22 mg/ml
Natrijev klorid 0,9% 3249
Združljivo
Brizgalka Digoxin 250 µg/ml
Brizgalka Ceftaroline fosamil 2,22 mg/ml
Ringerjev laktat 3249
Združljivo
Brizgalka Digoxin 250 µg/ml
Brizgalka Ceftobiprole medocaril sodium 2 mg/ml
Ringerjev laktat 2269
Združljivo
Brizgalka Digoxin 250 µg/ml
Brizgalka Ceftobiprole medocaril sodium 2 mg/ml
Natrijev klorid 0,9% 2269
Združljivo
Brizgalka Digoxin 250 µg/ml
Brizgalka Ceftobiprole medocaril sodium 2 mg/ml
Glukoza 5% 2269
Združljivo
Brizgalka Digoxin 250 µg/ml
Brizgalka Ciprofloxacin lactate 2 mg/ml
Natrijev klorid 0,9% 288
Združljivo
Brizgalka Digoxin 250 µg/ml
Brizgalka Cisatracurium besylate 0.1 >> 5 mg/ml
Glukoza 5% 299
Združljivo
Brizgalka Digoxin 250 µg/ml
Parenteralna prehrana (binarno zmes) 301
Združljivo
Brizgalka Digoxin 2.5 µg/ml
Brizgalka Cimetidine hydrochloride 3 mg/ml
Glukoza 5% 1201
Združljivo
Brizgalka Digoxin 250 µg/ml
Brizgalka Ciprofloxacin lactate 2 mg/ml
Natrijev klorid 0,9% 289
Združljivo
Brizgalka Digoxin 50 µg/ml
Brizgalka Cloxacillin sodium 100 mg/ml
Voda za injekcije 3012
Združljivo
Brizgalka Digoxin 250 µg/ml
Parenteralna prehrana (z lipidi) 1415
Združljivo
Brizgalka Digoxin 250 µg/ml
Brizgalka Ceftolozane / tazobactam 10/5 mg/ml
Natrijev klorid 0,9% 3828
Združljivo
Brizgalka Digoxin 250 µg/ml
Brizgalka Ceftolozane / tazobactam 10/5 mg/ml
Glukoza 5% 3828
Združljivo
Brizgalka Digoxin 250 µg/ml
Brizgalka Ciprofloxacin lactate 2 mg/ml
Glukoza 5% 288
Združljivo
Brizgalka Digoxin 0.4 µg/ml
Parenteralna prehrana (z lipidi) 1338
Združljivo
Brizgalka Digoxin 250 µg/ml
Brizgalka Dexmedetomidine 4 µg/ml
Natrijev klorid 0,9% 1712
Združljivo
Brizgalka Digoxin 500 µg/ml
Brizgalka Diltiazem hydrochloride 1 & 5 mg/ml
Natrijev klorid 0,9% 198
Združljivo
Brizgalka Digoxin
Brizgalka Dimenhydrinate
2087
Sprememba barve po 24 urah Nezdružljivo
Brizgalka Digoxin 4 µg/ml
Brizgalka Dobutamine hydrochloride 1 mg/ml
Glukoza 5% 1058
Sprememba barve po 24 urah Nezdružljivo
Brizgalka Digoxin 4 µg/ml
Brizgalka Dobutamine hydrochloride 1 mg/ml
Natrijev klorid 0,9% 1058
Združljivo
Brizgalka Digoxin 250 µg/ml
Brizgalka Doripenem 5 mg/ml
Natrijev klorid 0,9% 2262
Združljivo
Brizgalka Digoxin 250 µg/ml
Brizgalka Doripenem 5 mg/ml
Glukoza 5% 2262
Združljivo
Brizgalka Digoxin 250 µg/ml
Brizgalka Famotidine
Glukoza 5% 397
Združljivo
Brizgalka Digoxin 250 µg/ml
Brizgalka Fenoldopam mesylate 80 µg/ml
Natrijev klorid 0,9% 1803
Združljivo
Brizgalka Digoxin 100 µg/ml
Brizgalka Fentanyl citrate 50 µg/ml
Glukoza 5% 63
Združljivo
Brizgalka Digoxin 25 µg/ml
Brizgalka Flucloxacillin sodium 20 mg/ml
Natrijev klorid 0,9% 1232
Proizvodnja plinskih mehurčkov Nezdružljivo
Brizgalka Digoxin 250 µg/ml
Brizgalka Fluconazole 2 mg/ml
Natrijev klorid 0,9% 496
Združljivo
Brizgalka Digoxin 50 µg/ml
Ringerjev laktat 4603
Proizvodnja plinskih mehurčkov Nezdružljivo
Brizgalka Digoxin 250 µg/ml
Brizgalka Foscarnet sodium 24 mg/ml
Nobeden 73
Združljivo
Brizgalka Digoxin
Ringerjev laktat 618
Združljivo
Brizgalka Digoxin 250 µg/ml
Brizgalka Fosfomycin 30 mg/ml
Glukoza 5% 4055
Združljivo
Brizgalka Digoxin 250 µg/ml
Brizgalka Fosfomycin 30 mg/ml
Natrijev klorid 0,9% 4055
Združljivo
Brizgalka Digoxin 25 µg/ml
Brizgalka Furosemide 1 mg/ml
Natrijev klorid 0,9% 1232
Združljivo
Brizgalka Digoxin 250 µg/ml
Brizgalka Hetastarch 60 mg/ml
Posebni topila 1721
Združljivo
Brizgalka Digoxin 0,25 µg/ml
Brizgalka Imipenem-Cilastatin / Relebactam 5 mg/ml
Glukoza 5% 4433
Združljivo
Brizgalka Digoxin 0,25 µg/ml
Brizgalka Imipenem-Cilastatin / Relebactam 5 mg/ml
Natrijev klorid 0,9% 4433
Združljivo
Brizgalka Digoxin 250 µg/ml
Brizgalka Isavuconazonium sulfate 1.5 mg/ml
Glukoza 5% 3829
Združljivo
Brizgalka Digoxin 250 µg/ml
Brizgalka Isavuconazonium sulfate 1.5 mg/ml
Natrijev klorid 0,9% 3829
Združljivo
Brizgalka Digoxin 50 µg/ml
Brizgalka Ketamine hydrochloride 50 mg/ml
2109
Takoj padavine Nezdružljivo
Brizgalka Digoxin 250 µg/ml
Brizgalka Lansoprazole 0.55 mg/ml
Natrijev klorid 0,9% 1625
Združljivo
Brizgalka Digoxin 250 µg/ml
Brizgalka Levosimendan 0,025 & 0,05 mg/ml
4571
Združljivo
Brizgalka Digoxin 1 µg/ml
Brizgalka Lidocaine hydrochloride 2 mg/ml
Ringerjev laktat 619
Združljivo
Brizgalka Digoxin 1 µg/ml
Brizgalka Lidocaine hydrochloride 2 mg/ml
Glukoza 5% 619
Združljivo
Brizgalka Digoxin 1 µg/ml
Brizgalka Lidocaine hydrochloride 2 mg/ml
Natrijev klorid 0,9% 619
Združljivo
Brizgalka Digoxin 250 µg/ml
Brizgalka Linezolid 2 mg/ml
Nobeden 1925
Združljivo
Brizgalka Digoxin 250 µg/ml
Brizgalka Meropenem 50 mg/ml
Voda za injekcije 4319
Združljivo
Brizgalka Digoxin 250 µg/ml
Brizgalka Meropenem 1 & 50 mg/ml
Natrijev klorid 0,9% 266
Združljivo
Brizgalka Digoxin 100 µg/ml
Brizgalka Midazolam hydrochloride 1 mg/ml
Glukoza 5% 176
Združljivo
Brizgalka Digoxin 50 & 125 µg/ml
Brizgalka Milrinone lactate 0.1 & 0.35 mg/ml
Glukoza 5% 191
Združljivo
Brizgalka Digoxin 250 µg/ml
Brizgalka Morphine sulfate 1 mg/ml
Glukoza 5% 62
Združljivo
Brizgalka Digoxin 50 µg/ml
Brizgalka N-acetylcysteine 200 mg/ml
Nobeden 3766
Združljivo
Brizgalka Digoxin 50 µg/ml
Brizgalka Naloxone hydrochloride 0.4 mg/ml
Nobeden 3408
Padavine po 4 urah Nezdružljivo
Brizgalka Digoxin
Brizgalka Pantoprazole sodium
2090
Združljivo
Brizgalka Digoxin 250 µg/ml
Brizgalka Pethidine hydrochloride 10 mg/ml
Glukoza 5% 62
Združljivo
Brizgalka Digoxin 250 µg/ml
Brizgalka Plazomicin sulfate 24 mg/ml
Natrijev klorid 0,9% 4145
Združljivo
Brizgalka Digoxin 250 µg/ml
Brizgalka Potassium chloride 40 mEq/l
Glukoza 5% 730
Združljivo
Brizgalka Digoxin 250 µg/ml
Brizgalka Potassium chloride 40 mEq/l
Ringerjev laktat 730
Združljivo
Brizgalka Digoxin 250 µg/ml
Brizgalka Potassium chloride 40 mEq/l
Natrijev klorid 0,9% 730
Združljivo
Brizgalka Digoxin 250 µg/ml
Brizgalka Propofol 10 mg/ml
Nobeden 300
Združljivo
Brizgalka Digoxin 250 µg/ml
Brizgalka Remifentanil hydrochloride 25 & 250 µg/ml
Natrijev klorid 0,9% 59
Združljivo
Brizgalka Digoxin 0,25 µg/ml
Brizgalka Sulbactam/durlobactam 15/15 mg/ml
Natrijev klorid 0,9% 4801
Združljivo
Brizgalka Digoxin 250 µg/ml
Brizgalka Tacrolimus 1000 µg/ml
Natrijev klorid 0,9% 479
Združljivo
Brizgalka Digoxin 250 µg/ml
Brizgalka Tedizolid phosphate 0.8 mg/ml
Natrijev klorid 0,9% 3827
Združljivo
Brizgalka Digoxin 250 µg/ml
Brizgalka Telavancin hydrochloride 7.5 mg/ml
Ringerjev laktat 3254
Združljivo
Brizgalka Digoxin 2 µg/ml
Brizgalka Verapamil hydrochloride 0,08 mg/ml
Natrijev klorid 0,9% 706
Združljivo
Brizgalka Digoxin
Natrijev klorid 0,9% 618
Nestabilnost emulzije po 1 uri Nezdružljivo
Brizgalka Digoxin 250 µg/ml
Brizgalka Propofol
660
Takojšnja motnost Nezdružljivo
Brizgalka Digoxin 250 µg/ml
Brizgalka Telavancin hydrochloride 7,5 mg/ml
Natrijev klorid 0,9% 3254
Takojšnja motnost Nezdružljivo
Brizgalka Digoxin 250 µg/ml
Brizgalka Telavancin hydrochloride 7,5 mg/ml
Glukoza 5% 3254

  Mentions Légales