Poslední aktualizace :
27/04/2026
Kardiotonikum   Digoxin  
injekce
Stabilita roztoků Stabilita směsí Faktory ovlivňující stabilitu Kompatibilita Způsoby aplikace Odkazy pdf
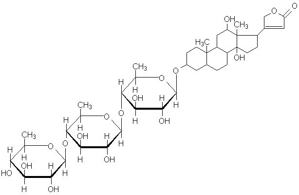
   Chemický vzorec  

Obchodní název   Obchodní název     

Trade names are indicative and excipients composition can be different depending on the country and manufacturers

Cardixin Egypt
Celoxin Indie
Digibind nový Zéland, USA
Digocard Argentina, Ekvádor
Digosin Japonsko
Digoxin Argentina, Dánsko, Ekvádor, Finsko, Írán, Kanada, MaÔarsko, Polsko, Švédsko, USA, Velká Británie
Digoxina äpanÏlsko, Argentina, Ekvádor, Mexiko, Venezuela
Digoxine Francie, Švýcarsko, ÿecko
Geoxin Indie
Lanibos Saúdská Arábie
Lanicor NÏmecko
Lanoxin Belgie, Chile, Egypt, Írán, Irsko, Itálie, Lucembursko, Malajsie, Nizozemsko, Norsko, nový Zéland, Portugalsko, Saúdská Arábie, Spojené arabské emiráty, USA, Velká Británie
Loxinan Mexiko
Kompatibilita   injekce   Kompatibilita : Digoxin              
Tato obrazovka ukazuje kompatibilitu nebo nekompatibilitu s, v tomto případě, typem nekompatibility (srážení, změna barvy, modifikace emulze atd.). Zde uvedené kompatibility jsou většinou pouze fyzikální, přičemž chemická stabilita každé molekuly je zřídka hodnocena. Hodnocení těchto směsí bylo studováno, aby se zvážila možnost podání Y-místa pacientovi. Tyto údaje nelze použít k přípravě směsí předem v pytlích nebo stříkačkách. Tento typ informací je k dispozici na obrazovce „Stabilita ve směsi“.
SlouËenina RozpouötÏdlo Odkazy
Okamžité srážení Nekompatibilní
injekce Digoxin 250 µg/ml
injekce Amiodarone hydrochloride 6 mg/ml
GlukÛza 5% 1611
Kompatibilní
injekce Digoxin 250 µg/ml
injekce Amoxicillin sodium / clavulanic acid 100/10 mg/ml
3824
Okamžité srážení Nekompatibilní
injekce Digoxin 250 µg/ml
injekce Amphotericin B cholesteryl sulfate complex 0.83 mg/ml
GlukÛza 5% 921
Kompatibilní
injekce Digoxin 250 µg/ml
injekce Anidulafungin 0.5 mg/ml
GlukÛza 5% 1982
Kompatibilní
injekce Digoxin 250 µg/ml
injekce Caffeine 10 mg/ml
Žádné 3964
Kompatibilní
injekce Digoxin
GlukÛza 5% 618
Kompatibilní
injekce Digoxin 250 µg/ml
injekce Bivalirudin 5 mg/ml
GlukÛza 5% 1713
Kompatibilní
injekce Digoxin 2 µg/ml
injekce Bretylium tosilate 1 mg/ml
Chlorid sodný 0,9% 1193
Kompatibilní
injekce Digoxin 2 µg/ml
injekce Bretylium tosilate 1 mg/ml
GlukÛza 5% 1193
Kompatibilní
injekce Digoxin 250 µg/ml
injekce Cefiderocol sulfate tosylate 20 mg/mL
Chlorid sodný 0,9% 4528
Kompatibilní
injekce Digoxin 250 µg/ml
injekce Cefiderocol sulfate tosylate 20 mg/mL
GlukÛza 5% 4528
Kompatibilní
injekce Digoxin 250 µg/ml
injekce Cefmetazole sodium 100 mg/ml
Voda pro injekci 93
Kompatibilní
injekce Digoxin 250 µg/ml
injekce Ceftaroline fosamil 2,22 mg/ml
GlukÛza 5% 3249
Kompatibilní
injekce Digoxin 250 µg/ml
injekce Ceftaroline fosamil 2,22 mg/ml
Chlorid sodný 0,9% 3249
Kompatibilní
injekce Digoxin 250 µg/ml
injekce Ceftaroline fosamil 2,22 mg/ml
RingerŐs laktátový roztok 3249
Kompatibilní
injekce Digoxin 250 µg/ml
injekce Ceftobiprole medocaril sodium 2 mg/ml
RingerŐs laktátový roztok 2269
Kompatibilní
injekce Digoxin 250 µg/ml
injekce Ceftobiprole medocaril sodium 2 mg/ml
Chlorid sodný 0,9% 2269
Kompatibilní
injekce Digoxin 250 µg/ml
injekce Ceftobiprole medocaril sodium 2 mg/ml
GlukÛza 5% 2269
Kompatibilní
injekce Digoxin 250 µg/ml
injekce Ciprofloxacin lactate 2 mg/ml
Chlorid sodný 0,9% 288
Kompatibilní
injekce Digoxin 250 µg/ml
injekce Cisatracurium besylate 0.1 >> 5 mg/ml
GlukÛza 5% 299
Kompatibilní
injekce Digoxin 250 µg/ml
Parenterální výživa (binární směs) 301
Kompatibilní
injekce Digoxin 2.5 µg/ml
injekce Cimetidine hydrochloride 3 mg/ml
GlukÛza 5% 1201
Kompatibilní
injekce Digoxin 250 µg/ml
injekce Ciprofloxacin lactate 2 mg/ml
Chlorid sodný 0,9% 289
Kompatibilní
injekce Digoxin 50 µg/ml
injekce Cloxacillin sodium 100 mg/ml
Voda pro injekci 3012
Kompatibilní
injekce Digoxin 250 µg/ml
Parenterální výživa (lipidy) 1415
Kompatibilní
injekce Digoxin 250 µg/ml
injekce Ceftolozane / tazobactam 10/5 mg/ml
Chlorid sodný 0,9% 3828
Kompatibilní
injekce Digoxin 250 µg/ml
injekce Ceftolozane / tazobactam 10/5 mg/ml
GlukÛza 5% 3828
Kompatibilní
injekce Digoxin 250 µg/ml
injekce Ciprofloxacin lactate 2 mg/ml
GlukÛza 5% 288
Kompatibilní
injekce Digoxin 0.4 µg/ml
Parenterální výživa (lipidy) 1338
Kompatibilní
injekce Digoxin 250 µg/ml
injekce Dexmedetomidine 4 µg/ml
Chlorid sodný 0,9% 1712
Kompatibilní
injekce Digoxin 500 µg/ml
injekce Diltiazem hydrochloride 1 & 5 mg/ml
Chlorid sodný 0,9% 198
Kompatibilní
injekce Digoxin
injekce Dimenhydrinate
2087
Změna barvy po 24 hodinách Nekompatibilní
injekce Digoxin 4 µg/ml
injekce Dobutamine hydrochloride 1 mg/ml
GlukÛza 5% 1058
Změna barvy po 24 hodinách Nekompatibilní
injekce Digoxin 4 µg/ml
injekce Dobutamine hydrochloride 1 mg/ml
Chlorid sodný 0,9% 1058
Kompatibilní
injekce Digoxin 250 µg/ml
injekce Doripenem 5 mg/ml
Chlorid sodný 0,9% 2262
Kompatibilní
injekce Digoxin 250 µg/ml
injekce Doripenem 5 mg/ml
GlukÛza 5% 2262
Kompatibilní
injekce Digoxin 250 µg/ml
injekce Famotidine
GlukÛza 5% 397
Kompatibilní
injekce Digoxin 250 µg/ml
injekce Fenoldopam mesylate 80 µg/ml
Chlorid sodný 0,9% 1803
Kompatibilní
injekce Digoxin 100 µg/ml
injekce Fentanyl citrate 50 µg/ml
GlukÛza 5% 63
Kompatibilní
injekce Digoxin 25 µg/ml
injekce Flucloxacillin sodium 20 mg/ml
Chlorid sodný 0,9% 1232
Výroba plynových bublin Nekompatibilní
injekce Digoxin 250 µg/ml
injekce Fluconazole 2 mg/ml
Chlorid sodný 0,9% 496
Kompatibilní
injekce Digoxin 50 µg/ml
RingerŐs laktátový roztok 4603
Výroba plynových bublin Nekompatibilní
injekce Digoxin 250 µg/ml
injekce Foscarnet sodium 24 mg/ml
Žádné 73
Kompatibilní
injekce Digoxin
RingerŐs laktátový roztok 618
Kompatibilní
injekce Digoxin 250 µg/ml
injekce Fosfomycin 30 mg/ml
GlukÛza 5% 4055
Kompatibilní
injekce Digoxin 250 µg/ml
injekce Fosfomycin 30 mg/ml
Chlorid sodný 0,9% 4055
Kompatibilní
injekce Digoxin 25 µg/ml
injekce Furosemide 1 mg/ml
Chlorid sodný 0,9% 1232
Kompatibilní
injekce Digoxin 250 µg/ml
injekce Hetastarch 60 mg/ml
Zvláštní rozpouštědla 1721
Kompatibilní
injekce Digoxin 0,25 µg/ml
injekce Imipenem-Cilastatin / Relebactam 5 mg/ml
GlukÛza 5% 4433
Kompatibilní
injekce Digoxin 0,25 µg/ml
injekce Imipenem-Cilastatin / Relebactam 5 mg/ml
Chlorid sodný 0,9% 4433
Kompatibilní
injekce Digoxin 250 µg/ml
injekce Isavuconazonium sulfate 1.5 mg/ml
GlukÛza 5% 3829
Kompatibilní
injekce Digoxin 250 µg/ml
injekce Isavuconazonium sulfate 1.5 mg/ml
Chlorid sodný 0,9% 3829
Kompatibilní
injekce Digoxin 50 µg/ml
injekce Ketamine hydrochloride 50 mg/ml
2109
Okamžité srážení Nekompatibilní
injekce Digoxin 250 µg/ml
injekce Lansoprazole 0.55 mg/ml
Chlorid sodný 0,9% 1625
Kompatibilní
injekce Digoxin 250 µg/ml
injekce Levosimendan 0,025 & 0,05 mg/ml
4571
Kompatibilní
injekce Digoxin 1 µg/ml
injekce Lidocaine hydrochloride 2 mg/ml
RingerŐs laktátový roztok 619
Kompatibilní
injekce Digoxin 1 µg/ml
injekce Lidocaine hydrochloride 2 mg/ml
GlukÛza 5% 619
Kompatibilní
injekce Digoxin 1 µg/ml
injekce Lidocaine hydrochloride 2 mg/ml
Chlorid sodný 0,9% 619
Kompatibilní
injekce Digoxin 250 µg/ml
injekce Linezolid 2 mg/ml
Žádné 1925
Kompatibilní
injekce Digoxin 250 µg/ml
injekce Meropenem 50 mg/ml
Voda pro injekci 4319
Kompatibilní
injekce Digoxin 250 µg/ml
injekce Meropenem 1 & 50 mg/ml
Chlorid sodný 0,9% 266
Kompatibilní
injekce Digoxin 100 µg/ml
injekce Midazolam hydrochloride 1 mg/ml
GlukÛza 5% 176
Kompatibilní
injekce Digoxin 50 & 125 µg/ml
injekce Milrinone lactate 0.1 & 0.35 mg/ml
GlukÛza 5% 191
Kompatibilní
injekce Digoxin 250 µg/ml
injekce Morphine sulfate 1 mg/ml
GlukÛza 5% 62
Kompatibilní
injekce Digoxin 50 µg/ml
injekce N-acetylcysteine 200 mg/ml
Žádné 3766
Kompatibilní
injekce Digoxin 50 µg/ml
injekce Naloxone hydrochloride 0.4 mg/ml
Žádné 3408
Srážky po 4 hodinách Nekompatibilní
injekce Digoxin
injekce Pantoprazole sodium
2090
Kompatibilní
injekce Digoxin 250 µg/ml
injekce Pethidine hydrochloride 10 mg/ml
GlukÛza 5% 62
Kompatibilní
injekce Digoxin 250 µg/ml
injekce Plazomicin sulfate 24 mg/ml
Chlorid sodný 0,9% 4145
Kompatibilní
injekce Digoxin 250 µg/ml
injekce Potassium chloride 40 mEq/l
GlukÛza 5% 730
Kompatibilní
injekce Digoxin 250 µg/ml
injekce Potassium chloride 40 mEq/l
RingerŐs laktátový roztok 730
Kompatibilní
injekce Digoxin 250 µg/ml
injekce Potassium chloride 40 mEq/l
Chlorid sodný 0,9% 730
Kompatibilní
injekce Digoxin 250 µg/ml
injekce Propofol 10 mg/ml
Žádné 300
Kompatibilní
injekce Digoxin 250 µg/ml
injekce Remifentanil hydrochloride 25 & 250 µg/ml
Chlorid sodný 0,9% 59
Kompatibilní
injekce Digoxin 0,25 µg/ml
injekce Sulbactam/durlobactam 15/15 mg/ml
Chlorid sodný 0,9% 4801
Kompatibilní
injekce Digoxin 250 µg/ml
injekce Tacrolimus 1000 µg/ml
Chlorid sodný 0,9% 479
Kompatibilní
injekce Digoxin 250 µg/ml
injekce Tedizolid phosphate 0.8 mg/ml
Chlorid sodný 0,9% 3827
Kompatibilní
injekce Digoxin 250 µg/ml
injekce Telavancin hydrochloride 7.5 mg/ml
RingerŐs laktátový roztok 3254
Kompatibilní
injekce Digoxin 2 µg/ml
injekce Verapamil hydrochloride 0,08 mg/ml
Chlorid sodný 0,9% 706
Kompatibilní
injekce Digoxin
Chlorid sodný 0,9% 618
Nestabilita emulze po 1 hodině Nekompatibilní
injekce Digoxin 250 µg/ml
injekce Propofol
660
Okamžitá zákal Nekompatibilní
injekce Digoxin 250 µg/ml
injekce Telavancin hydrochloride 7,5 mg/ml
Chlorid sodný 0,9% 3254
Okamžitá zákal Nekompatibilní
injekce Digoxin 250 µg/ml
injekce Telavancin hydrochloride 7,5 mg/ml
GlukÛza 5% 3254

  Mentions Légales