最新更新 :
27/04/2026
强心剂   Digoxin  
注射液
溶液稳定性 混合物稳定性 影响稳定性的因素 兼容性 用药途径 引用文献 PDF
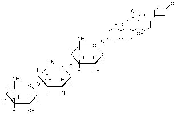
   化学式  

商品名   商品名     

商品名仅供参考, 药品所用的辅料可能依国家或厂商不同有所不同。

Cardixin 埃及
Celoxin 印度
Digibind 新西蘭, 美国
Digocard 厄瓜多尔, 阿根廷
Digosin 日本
Digoxin 丹麦, 伊朗, 加拿大, 匈牙利, 厄瓜多尔, 波兰, 瑞典, 美国, 芬兰, 英国, 阿根廷
Digoxina 厄瓜多尔, 墨西哥, 委内瑞拉, 西班牙, 阿根廷
Digoxine 希腊, 法国, 瑞士
Geoxin 印度
Lanibos 沙特阿拉伯
Lanicor 德国
Lanoxin 伊朗, 卢森堡, 埃及, 意大利, 挪威, 新西蘭, 智利, 比利时, 沙特阿拉伯, 爱尔兰, 美国, 英国, 荷兰, 葡萄牙, 阿联酋, 马来西亚
Loxinan 墨西哥
兼容性   注射液   兼容性 : Digoxin              
This screen indicates the compatibilities or incompatibilities with, in this case, the type of incompatibility (precipitation, color change, modification of an emulsion, etc.). The compatibilities shown here are mostly physical only, with the chemical stability of each molecule rarely being assessed. The evaluation of these mixtures was studied to consider the possibility of Y-site administration to the patient. These data cannot be used for making mixtures in advance in bags or syringes. This type of information is available in the screen "Stability in mixture ».
分子 溶剂 引用文献
立即沉澱 不相容
注射液 Digoxin 250 µg/ml
注射液 Amiodarone hydrochloride 6 mg/ml
葡萄糖5% 1611
兼容
注射液 Digoxin 250 µg/ml
注射液 Amoxicillin sodium / clavulanic acid 100/10 mg/ml
3824
立即沉澱 不相容
注射液 Digoxin 250 µg/ml
注射液 Amphotericin B cholesteryl sulfate complex 0.83 mg/ml
葡萄糖5% 921
兼容
注射液 Digoxin 250 µg/ml
注射液 Anidulafungin 0.5 mg/ml
葡萄糖5% 1982
兼容
注射液 Digoxin 250 µg/ml
注射液 Caffeine 10 mg/ml
无 3964
兼容
注射液 Digoxin
葡萄糖5% 618
兼容
注射液 Digoxin 250 µg/ml
注射液 Bivalirudin 5 mg/ml
葡萄糖5% 1713
兼容
注射液 Digoxin 2 µg/ml
注射液 Bretylium tosilate 1 mg/ml
NaCl 0,9% 1193
兼容
注射液 Digoxin 2 µg/ml
注射液 Bretylium tosilate 1 mg/ml
葡萄糖5% 1193
兼容
注射液 Digoxin 250 µg/ml
注射液 Cefiderocol sulfate tosylate 20 mg/mL
NaCl 0,9% 4528
兼容
注射液 Digoxin 250 µg/ml
注射液 Cefiderocol sulfate tosylate 20 mg/mL
葡萄糖5% 4528
兼容
注射液 Digoxin 250 µg/ml
注射液 Cefmetazole sodium 100 mg/ml
注射用水 93
兼容
注射液 Digoxin 250 µg/ml
注射液 Ceftaroline fosamil 2,22 mg/ml
葡萄糖5% 3249
兼容
注射液 Digoxin 250 µg/ml
注射液 Ceftaroline fosamil 2,22 mg/ml
NaCl 0,9% 3249
兼容
注射液 Digoxin 250 µg/ml
注射液 Ceftaroline fosamil 2,22 mg/ml
Ringer乳酸溶液 3249
兼容
注射液 Digoxin 250 µg/ml
注射液 Ceftobiprole medocaril sodium 2 mg/ml
Ringer乳酸溶液 2269
兼容
注射液 Digoxin 250 µg/ml
注射液 Ceftobiprole medocaril sodium 2 mg/ml
NaCl 0,9% 2269
兼容
注射液 Digoxin 250 µg/ml
注射液 Ceftobiprole medocaril sodium 2 mg/ml
葡萄糖5% 2269
兼容
注射液 Digoxin 250 µg/ml
注射液 Ciprofloxacin lactate 2 mg/ml
NaCl 0,9% 288
兼容
注射液 Digoxin 250 µg/ml
注射液 Cisatracurium besylate 0.1 >> 5 mg/ml
葡萄糖5% 299
兼容
注射液 Digoxin 250 µg/ml
肠外营养(二种混合物) 301
兼容
注射液 Digoxin 2.5 µg/ml
注射液 Cimetidine hydrochloride 3 mg/ml
葡萄糖5% 1201
兼容
注射液 Digoxin 250 µg/ml
注射液 Ciprofloxacin lactate 2 mg/ml
NaCl 0,9% 289
兼容
注射液 Digoxin 50 µg/ml
注射液 Cloxacillin sodium 100 mg/ml
注射用水 3012
兼容
注射液 Digoxin 250 µg/ml
肠外营养(含脂肪) 1415
兼容
注射液 Digoxin 250 µg/ml
注射液 Ceftolozane / tazobactam 10/5 mg/ml
NaCl 0,9% 3828
兼容
注射液 Digoxin 250 µg/ml
注射液 Ceftolozane / tazobactam 10/5 mg/ml
葡萄糖5% 3828
兼容
注射液 Digoxin 250 µg/ml
注射液 Ciprofloxacin lactate 2 mg/ml
葡萄糖5% 288
兼容
注射液 Digoxin 0.4 µg/ml
肠外营养(含脂肪) 1338
兼容
注射液 Digoxin 250 µg/ml
注射液 Dexmedetomidine 4 µg/ml
NaCl 0,9% 1712
兼容
注射液 Digoxin 500 µg/ml
注射液 Diltiazem hydrochloride 1 & 5 mg/ml
NaCl 0,9% 198
兼容
注射液 Digoxin
注射液 Dimenhydrinate
2087
24小時後變色 不相容
注射液 Digoxin 4 µg/ml
注射液 Dobutamine hydrochloride 1 mg/ml
葡萄糖5% 1058
24小時後變色 不相容
注射液 Digoxin 4 µg/ml
注射液 Dobutamine hydrochloride 1 mg/ml
NaCl 0,9% 1058
兼容
注射液 Digoxin 250 µg/ml
注射液 Doripenem 5 mg/ml
NaCl 0,9% 2262
兼容
注射液 Digoxin 250 µg/ml
注射液 Doripenem 5 mg/ml
葡萄糖5% 2262
兼容
注射液 Digoxin 250 µg/ml
注射液 Famotidine
葡萄糖5% 397
兼容
注射液 Digoxin 250 µg/ml
注射液 Fenoldopam mesylate 80 µg/ml
NaCl 0,9% 1803
兼容
注射液 Digoxin 100 µg/ml
注射液 Fentanyl citrate 50 µg/ml
葡萄糖5% 63
兼容
注射液 Digoxin 25 µg/ml
注射液 Flucloxacillin sodium 20 mg/ml
NaCl 0,9% 1232
產生氣泡 不相容
注射液 Digoxin 250 µg/ml
注射液 Fluconazole 2 mg/ml
NaCl 0,9% 496
兼容
注射液 Digoxin 50 µg/ml
Ringer乳酸溶液 4603
產生氣泡 不相容
注射液 Digoxin 250 µg/ml
注射液 Foscarnet sodium 24 mg/ml
无 73
兼容
注射液 Digoxin
Ringer乳酸溶液 618
兼容
注射液 Digoxin 250 µg/ml
注射液 Fosfomycin 30 mg/ml
葡萄糖5% 4055
兼容
注射液 Digoxin 250 µg/ml
注射液 Fosfomycin 30 mg/ml
NaCl 0,9% 4055
兼容
注射液 Digoxin 25 µg/ml
注射液 Furosemide 1 mg/ml
NaCl 0,9% 1232
兼容
注射液 Digoxin 250 µg/ml
注射液 Hetastarch 60 mg/ml
特定溶液 1721
兼容
注射液 Digoxin 0,25 µg/ml
注射液 Imipenem-Cilastatin / Relebactam 5 mg/ml
葡萄糖5% 4433
兼容
注射液 Digoxin 0,25 µg/ml
注射液 Imipenem-Cilastatin / Relebactam 5 mg/ml
NaCl 0,9% 4433
兼容
注射液 Digoxin 250 µg/ml
注射液 Isavuconazonium sulfate 1.5 mg/ml
葡萄糖5% 3829
兼容
注射液 Digoxin 250 µg/ml
注射液 Isavuconazonium sulfate 1.5 mg/ml
NaCl 0,9% 3829
兼容
注射液 Digoxin 50 µg/ml
注射液 Ketamine hydrochloride 50 mg/ml
2109
立即沉澱 不相容
注射液 Digoxin 250 µg/ml
注射液 Lansoprazole 0.55 mg/ml
NaCl 0,9% 1625
兼容
注射液 Digoxin 250 µg/ml
注射液 Levosimendan 0,025 & 0,05 mg/ml
4571
兼容
注射液 Digoxin 1 µg/ml
注射液 Lidocaine hydrochloride 2 mg/ml
Ringer乳酸溶液 619
兼容
注射液 Digoxin 1 µg/ml
注射液 Lidocaine hydrochloride 2 mg/ml
葡萄糖5% 619
兼容
注射液 Digoxin 1 µg/ml
注射液 Lidocaine hydrochloride 2 mg/ml
NaCl 0,9% 619
兼容
注射液 Digoxin 250 µg/ml
注射液 Linezolid 2 mg/ml
无 1925
兼容
注射液 Digoxin 250 µg/ml
注射液 Meropenem 50 mg/ml
注射用水 4319
兼容
注射液 Digoxin 250 µg/ml
注射液 Meropenem 1 & 50 mg/ml
NaCl 0,9% 266
兼容
注射液 Digoxin 100 µg/ml
注射液 Midazolam hydrochloride 1 mg/ml
葡萄糖5% 176
兼容
注射液 Digoxin 50 & 125 µg/ml
注射液 Milrinone lactate 0.1 & 0.35 mg/ml
葡萄糖5% 191
兼容
注射液 Digoxin 250 µg/ml
注射液 Morphine sulfate 1 mg/ml
葡萄糖5% 62
兼容
注射液 Digoxin 50 µg/ml
注射液 N-acetylcysteine 200 mg/ml
无 3766
兼容
注射液 Digoxin 50 µg/ml
注射液 Naloxone hydrochloride 0.4 mg/ml
无 3408
4小時後出現沉澱 不相容
注射液 Digoxin
注射液 Pantoprazole sodium
2090
兼容
注射液 Digoxin 250 µg/ml
注射液 Pethidine hydrochloride 10 mg/ml
葡萄糖5% 62
兼容
注射液 Digoxin 250 µg/ml
注射液 Plazomicin sulfate 24 mg/ml
NaCl 0,9% 4145
兼容
注射液 Digoxin 250 µg/ml
注射液 Potassium chloride 40 mEq/l
葡萄糖5% 730
兼容
注射液 Digoxin 250 µg/ml
注射液 Potassium chloride 40 mEq/l
Ringer乳酸溶液 730
兼容
注射液 Digoxin 250 µg/ml
注射液 Potassium chloride 40 mEq/l
NaCl 0,9% 730
兼容
注射液 Digoxin 250 µg/ml
注射液 Propofol 10 mg/ml
无 300
兼容
注射液 Digoxin 250 µg/ml
注射液 Remifentanil hydrochloride 25 & 250 µg/ml
NaCl 0,9% 59
兼容
注射液 Digoxin 0,25 µg/ml
注射液 Sulbactam/durlobactam 15/15 mg/ml
NaCl 0,9% 4801
兼容
注射液 Digoxin 250 µg/ml
注射液 Tacrolimus 1000 µg/ml
NaCl 0,9% 479
兼容
注射液 Digoxin 250 µg/ml
注射液 Tedizolid phosphate 0.8 mg/ml
NaCl 0,9% 3827
兼容
注射液 Digoxin 250 µg/ml
注射液 Telavancin hydrochloride 7.5 mg/ml
Ringer乳酸溶液 3254
兼容
注射液 Digoxin 2 µg/ml
注射液 Verapamil hydrochloride 0,08 mg/ml
NaCl 0,9% 706
兼容
注射液 Digoxin
NaCl 0,9% 618
1小時後乳液的不穩定性 不相容
注射液 Digoxin 250 µg/ml
注射液 Propofol
660
立即渾濁 不相容
注射液 Digoxin 250 µg/ml
注射液 Telavancin hydrochloride 7,5 mg/ml
NaCl 0,9% 3254
立即渾濁 不相容
注射液 Digoxin 250 µg/ml
注射液 Telavancin hydrochloride 7,5 mg/ml
葡萄糖5% 3254

  Mentions Légales