Siste oppdatering :
27/04/2026
Hjertestimulerende   Digoxin  
Injeksjon
Oppløsningsstabilitet Stabilitet i blandinger Faktorer som påvirker stabiliteten Kompatibilitet Administrasjonsmåte Referanser pdf
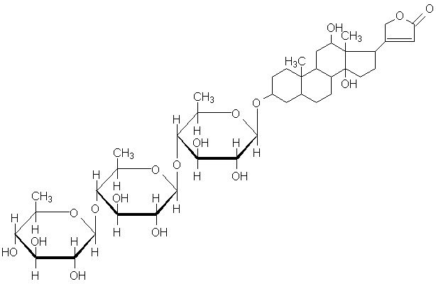
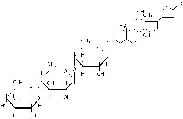
   Kjemisk struktur  

Handelsnavn   Handelsnavn     

Handelsnavn er veiledende og sammensetning av hjelpestoffer kan være forskjellig avhengig av land og produsent

Cardixin Egypt
Celoxin India
Digibind New Zealand, USA
Digocard Argentina, Ecuador
Digosin Japan
Digoxin Argentina, Canada, Danmark, Ecuador, Finland, Iran, Polen, Storbritannia, Sverige, Ungarn, USA
Digoxina Argentina, Ecuador, Mexico, Spania, Venezuela
Digoxine Frankrike, Hellas, Sveits
Geoxin India
Lanibos Saudi-Arabia
Lanicor Tyskland
Lanoxin Belgia, Chile, De forente arabiske emirater, Egypt, Iran, Irland, Italia, Luxembourg, Malaysia, Nederland, New Zealand, Norge, Portugal, Saudi-Arabia, Storbritannia, USA
Loxinan Mexico
Kompatibilitet   Injeksjon   Kompatibilitet : Digoxin              
Dette skjermbildet viser kompatibilitet eller inkompatibilitet med, i dette tilfellet, typen inkompatibilitet (nedbør, fargeendring, modifisering av en emulsjon, etc.). Kompatibilitetene som er vist her, er for det meste bare fysiske, og den kjemiske stabiliteten til hvert molekyl blir sjelden vurdert. Evalueringen av disse blandingene ble studert for å vurdere muligheten for Y-stedadministrasjon til pasienten. Disse dataene kan ikke brukes til å lage blandinger på forhånd i poser eller sprøyter. Denne typen informasjon er tilgjengelig på skjermen "Stabilitet i blanding".
Legemiddel Oppløsningsmiddel Referanser
Umiddelbar nedbør Uforenlig
Injeksjon Digoxin 250 µg/ml
Injeksjon Amiodarone hydrochloride 6 mg/ml
Glukose 5 % 1611
Kompatibel
Injeksjon Digoxin 250 µg/ml
Injeksjon Amoxicillin sodium / clavulanic acid 100/10 mg/ml
3824
Umiddelbar nedbør Uforenlig
Injeksjon Digoxin 250 µg/ml
Injeksjon Amphotericin B cholesteryl sulfate complex 0.83 mg/ml
Glukose 5 % 921
Kompatibel
Injeksjon Digoxin 250 µg/ml
Injeksjon Anidulafungin 0.5 mg/ml
Glukose 5 % 1982
Kompatibel
Injeksjon Digoxin 250 µg/ml
Injeksjon Caffeine 10 mg/ml
Ingen 3964
Kompatibel
Injeksjon Digoxin
Glukose 5 % 618
Kompatibel
Injeksjon Digoxin 250 µg/ml
Injeksjon Bivalirudin 5 mg/ml
Glukose 5 % 1713
Kompatibel
Injeksjon Digoxin 2 µg/ml
Injeksjon Bretylium tosilate 1 mg/ml
Natriumklorid 0,9 % 1193
Kompatibel
Injeksjon Digoxin 2 µg/ml
Injeksjon Bretylium tosilate 1 mg/ml
Glukose 5 % 1193
Kompatibel
Injeksjon Digoxin 250 µg/ml
Injeksjon Cefiderocol sulfate tosylate 20 mg/mL
Natriumklorid 0,9 % 4528
Kompatibel
Injeksjon Digoxin 250 µg/ml
Injeksjon Cefiderocol sulfate tosylate 20 mg/mL
Glukose 5 % 4528
Kompatibel
Injeksjon Digoxin 250 µg/ml
Injeksjon Cefmetazole sodium 100 mg/ml
Vann til injeksjon 93
Kompatibel
Injeksjon Digoxin 250 µg/ml
Injeksjon Ceftaroline fosamil 2,22 mg/ml
Glukose 5 % 3249
Kompatibel
Injeksjon Digoxin 250 µg/ml
Injeksjon Ceftaroline fosamil 2,22 mg/ml
Natriumklorid 0,9 % 3249
Kompatibel
Injeksjon Digoxin 250 µg/ml
Injeksjon Ceftaroline fosamil 2,22 mg/ml
Ringers laktatoppløsning 3249
Kompatibel
Injeksjon Digoxin 250 µg/ml
Injeksjon Ceftobiprole medocaril sodium 2 mg/ml
Ringers laktatoppløsning 2269
Kompatibel
Injeksjon Digoxin 250 µg/ml
Injeksjon Ceftobiprole medocaril sodium 2 mg/ml
Natriumklorid 0,9 % 2269
Kompatibel
Injeksjon Digoxin 250 µg/ml
Injeksjon Ceftobiprole medocaril sodium 2 mg/ml
Glukose 5 % 2269
Kompatibel
Injeksjon Digoxin 250 µg/ml
Injeksjon Ciprofloxacin lactate 2 mg/ml
Natriumklorid 0,9 % 288
Kompatibel
Injeksjon Digoxin 250 µg/ml
Injeksjon Cisatracurium besylate 0.1 >> 5 mg/ml
Glukose 5 % 299
Kompatibel
Injeksjon Digoxin 250 µg/ml
Parenteral ernæring(lipid-free) 301
Kompatibel
Injeksjon Digoxin 2.5 µg/ml
Injeksjon Cimetidine hydrochloride 3 mg/ml
Glukose 5 % 1201
Kompatibel
Injeksjon Digoxin 250 µg/ml
Injeksjon Ciprofloxacin lactate 2 mg/ml
Natriumklorid 0,9 % 289
Kompatibel
Injeksjon Digoxin 50 µg/ml
Injeksjon Cloxacillin sodium 100 mg/ml
Vann til injeksjon 3012
Kompatibel
Injeksjon Digoxin 250 µg/ml
Parenteral ernæring (med lipider) 1415
Kompatibel
Injeksjon Digoxin 250 µg/ml
Injeksjon Ceftolozane / tazobactam 10/5 mg/ml
Natriumklorid 0,9 % 3828
Kompatibel
Injeksjon Digoxin 250 µg/ml
Injeksjon Ceftolozane / tazobactam 10/5 mg/ml
Glukose 5 % 3828
Kompatibel
Injeksjon Digoxin 250 µg/ml
Injeksjon Ciprofloxacin lactate 2 mg/ml
Glukose 5 % 288
Kompatibel
Injeksjon Digoxin 0.4 µg/ml
Parenteral ernæring (med lipider) 1338
Kompatibel
Injeksjon Digoxin 250 µg/ml
Injeksjon Dexmedetomidine 4 µg/ml
Natriumklorid 0,9 % 1712
Kompatibel
Injeksjon Digoxin 500 µg/ml
Injeksjon Diltiazem hydrochloride 1 & 5 mg/ml
Natriumklorid 0,9 % 198
Kompatibel
Injeksjon Digoxin
Injeksjon Dimenhydrinate
2087
Fargeendring etter 24 timer Uforenlig
Injeksjon Digoxin 4 µg/ml
Injeksjon Dobutamine hydrochloride 1 mg/ml
Glukose 5 % 1058
Fargeendring etter 24 timer Uforenlig
Injeksjon Digoxin 4 µg/ml
Injeksjon Dobutamine hydrochloride 1 mg/ml
Natriumklorid 0,9 % 1058
Kompatibel
Injeksjon Digoxin 250 µg/ml
Injeksjon Doripenem 5 mg/ml
Natriumklorid 0,9 % 2262
Kompatibel
Injeksjon Digoxin 250 µg/ml
Injeksjon Doripenem 5 mg/ml
Glukose 5 % 2262
Kompatibel
Injeksjon Digoxin 250 µg/ml
Injeksjon Famotidine
Glukose 5 % 397
Kompatibel
Injeksjon Digoxin 250 µg/ml
Injeksjon Fenoldopam mesylate 80 µg/ml
Natriumklorid 0,9 % 1803
Kompatibel
Injeksjon Digoxin 100 µg/ml
Injeksjon Fentanyl citrate 50 µg/ml
Glukose 5 % 63
Kompatibel
Injeksjon Digoxin 25 µg/ml
Injeksjon Flucloxacillin sodium 20 mg/ml
Natriumklorid 0,9 % 1232
Produksjon av gassbobler Uforenlig
Injeksjon Digoxin 250 µg/ml
Injeksjon Fluconazole 2 mg/ml
Natriumklorid 0,9 % 496
Kompatibel
Injeksjon Digoxin 50 µg/ml
Ringers laktatoppløsning 4603
Produksjon av gassbobler Uforenlig
Injeksjon Digoxin 250 µg/ml
Injeksjon Foscarnet sodium 24 mg/ml
Ingen 73
Kompatibel
Injeksjon Digoxin
Ringers laktatoppløsning 618
Kompatibel
Injeksjon Digoxin 250 µg/ml
Injeksjon Fosfomycin 30 mg/ml
Glukose 5 % 4055
Kompatibel
Injeksjon Digoxin 250 µg/ml
Injeksjon Fosfomycin 30 mg/ml
Natriumklorid 0,9 % 4055
Kompatibel
Injeksjon Digoxin 25 µg/ml
Injeksjon Furosemide 1 mg/ml
Natriumklorid 0,9 % 1232
Kompatibel
Injeksjon Digoxin 250 µg/ml
Injeksjon Hetastarch 60 mg/ml
spesifikk løsemiddel 1721
Kompatibel
Injeksjon Digoxin 0,25 µg/ml
Injeksjon Imipenem-Cilastatin / Relebactam 5 mg/ml
Glukose 5 % 4433
Kompatibel
Injeksjon Digoxin 0,25 µg/ml
Injeksjon Imipenem-Cilastatin / Relebactam 5 mg/ml
Natriumklorid 0,9 % 4433
Kompatibel
Injeksjon Digoxin 250 µg/ml
Injeksjon Isavuconazonium sulfate 1.5 mg/ml
Glukose 5 % 3829
Kompatibel
Injeksjon Digoxin 250 µg/ml
Injeksjon Isavuconazonium sulfate 1.5 mg/ml
Natriumklorid 0,9 % 3829
Kompatibel
Injeksjon Digoxin 50 µg/ml
Injeksjon Ketamine hydrochloride 50 mg/ml
2109
Umiddelbar nedbør Uforenlig
Injeksjon Digoxin 250 µg/ml
Injeksjon Lansoprazole 0.55 mg/ml
Natriumklorid 0,9 % 1625
Kompatibel
Injeksjon Digoxin 250 µg/ml
Injeksjon Levosimendan 0,025 & 0,05 mg/ml
4571
Kompatibel
Injeksjon Digoxin 1 µg/ml
Injeksjon Lidocaine hydrochloride 2 mg/ml
Ringers laktatoppløsning 619
Kompatibel
Injeksjon Digoxin 1 µg/ml
Injeksjon Lidocaine hydrochloride 2 mg/ml
Glukose 5 % 619
Kompatibel
Injeksjon Digoxin 1 µg/ml
Injeksjon Lidocaine hydrochloride 2 mg/ml
Natriumklorid 0,9 % 619
Kompatibel
Injeksjon Digoxin 250 µg/ml
Injeksjon Linezolid 2 mg/ml
Ingen 1925
Kompatibel
Injeksjon Digoxin 250 µg/ml
Injeksjon Meropenem 50 mg/ml
Vann til injeksjon 4319
Kompatibel
Injeksjon Digoxin 250 µg/ml
Injeksjon Meropenem 1 & 50 mg/ml
Natriumklorid 0,9 % 266
Kompatibel
Injeksjon Digoxin 100 µg/ml
Injeksjon Midazolam hydrochloride 1 mg/ml
Glukose 5 % 176
Kompatibel
Injeksjon Digoxin 50 & 125 µg/ml
Injeksjon Milrinone lactate 0.1 & 0.35 mg/ml
Glukose 5 % 191
Kompatibel
Injeksjon Digoxin 250 µg/ml
Injeksjon Morphine sulfate 1 mg/ml
Glukose 5 % 62
Kompatibel
Injeksjon Digoxin 50 µg/ml
Injeksjon N-acetylcysteine 200 mg/ml
Ingen 3766
Kompatibel
Injeksjon Digoxin 50 µg/ml
Injeksjon Naloxone hydrochloride 0.4 mg/ml
Ingen 3408
Nedbør etter 4 timer Uforenlig
Injeksjon Digoxin
Injeksjon Pantoprazole sodium
2090
Kompatibel
Injeksjon Digoxin 250 µg/ml
Injeksjon Pethidine hydrochloride 10 mg/ml
Glukose 5 % 62
Kompatibel
Injeksjon Digoxin 250 µg/ml
Injeksjon Plazomicin sulfate 24 mg/ml
Natriumklorid 0,9 % 4145
Kompatibel
Injeksjon Digoxin 250 µg/ml
Injeksjon Potassium chloride 40 mEq/l
Glukose 5 % 730
Kompatibel
Injeksjon Digoxin 250 µg/ml
Injeksjon Potassium chloride 40 mEq/l
Ringers laktatoppløsning 730
Kompatibel
Injeksjon Digoxin 250 µg/ml
Injeksjon Potassium chloride 40 mEq/l
Natriumklorid 0,9 % 730
Kompatibel
Injeksjon Digoxin 250 µg/ml
Injeksjon Propofol 10 mg/ml
Ingen 300
Kompatibel
Injeksjon Digoxin 250 µg/ml
Injeksjon Remifentanil hydrochloride 25 & 250 µg/ml
Natriumklorid 0,9 % 59
Kompatibel
Injeksjon Digoxin 0,25 µg/ml
Injeksjon Sulbactam/durlobactam 15/15 mg/ml
Natriumklorid 0,9 % 4801
Kompatibel
Injeksjon Digoxin 250 µg/ml
Injeksjon Tacrolimus 1000 µg/ml
Natriumklorid 0,9 % 479
Kompatibel
Injeksjon Digoxin 250 µg/ml
Injeksjon Tedizolid phosphate 0.8 mg/ml
Natriumklorid 0,9 % 3827
Kompatibel
Injeksjon Digoxin 250 µg/ml
Injeksjon Telavancin hydrochloride 7.5 mg/ml
Ringers laktatoppløsning 3254
Kompatibel
Injeksjon Digoxin 2 µg/ml
Injeksjon Verapamil hydrochloride 0,08 mg/ml
Natriumklorid 0,9 % 706
Kompatibel
Injeksjon Digoxin
Natriumklorid 0,9 % 618
Ustabilitet av emulsjonen etter 1 time Uforenlig
Injeksjon Digoxin 250 µg/ml
Injeksjon Propofol
660
Umiddelbar turbiditet Uforenlig
Injeksjon Digoxin 250 µg/ml
Injeksjon Telavancin hydrochloride 7,5 mg/ml
Natriumklorid 0,9 % 3254
Umiddelbar turbiditet Uforenlig
Injeksjon Digoxin 250 µg/ml
Injeksjon Telavancin hydrochloride 7,5 mg/ml
Glukose 5 % 3254

  Mentions Légales