Poslední aktualizace :
27/04/2026
Kardiotoninis vaistas   Digoxin  
Įpurškimas
Tirpalų stabilumas Mišinių stabilumas Stabilumą lemiantys veiksniai Suderinamumas Leidimo būdai Bibliografija pdf
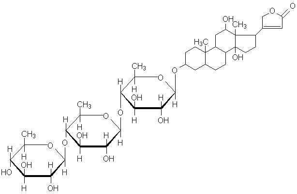
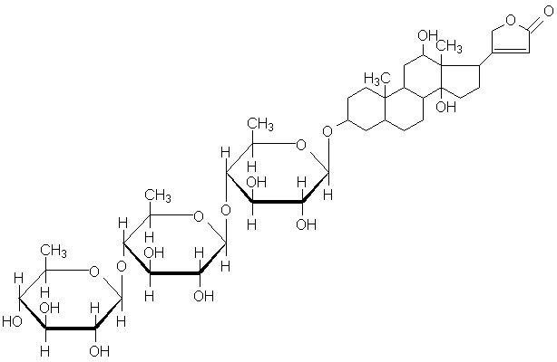
   Cheminė sandara  

Prekinis pavadinimas   Prekinis pavadinimas     

Trade names are indicative and excipients composition can be different depending on the country and manufacturers

Cardixin Egiptas
Celoxin Indija
Digibind Jungtinės Amerikos Valstijos, Naujojoje Zelandijoje
Digocard Argentina, Ekvadoras
Digosin Japonija
Digoxin Argentina, Danija, Didžioji Britanija, Ekvadoras, Iranas, Jungtinės Amerikos Valstijos, Kanada, Lenkija, Suomija, Švedija, Vengrija
Digoxina Argentina, Ekvadoras, Ispanija, Meksikas, Venesuela
Digoxine Graikija, Prancūzija, Šveicarija
Geoxin Indija
Lanibos Saudo Arabija
Lanicor Vokietija
Lanoxin Airija, Belgija, Čilė, Didžioji Britanija, Egiptas, Iranas, Italija, Jungtinės Amerikos Valstijos, Jungtiniai Arabų Emyratai, Liuksemburgas, Malaizija, Naujojoje Zelandijoje, Norvegija, Olandija, Portugalija, Saudo Arabija
Loxinan Meksikas
Suderinamumas   Įpurškimas   Suderinamumas : Digoxin              
explication_incompatibilite_molecules
Molekulė Tirpiklis Nuorodos
Nedelsiant krituliai Nesuderinamas
Įpurškimas Digoxin 250 µg/ml
Įpurškimas Amiodarone hydrochloride 6 mg/ml
Gliukozė 5% 1611
Suderinamas
Įpurškimas Digoxin 250 µg/ml
Įpurškimas Amoxicillin sodium / clavulanic acid 100/10 mg/ml
3824
Nedelsiant krituliai Nesuderinamas
Įpurškimas Digoxin 250 µg/ml
Įpurškimas Amphotericin B cholesteryl sulfate complex 0.83 mg/ml
Gliukozė 5% 921
Suderinamas
Įpurškimas Digoxin 250 µg/ml
Įpurškimas Anidulafungin 0.5 mg/ml
Gliukozė 5% 1982
Suderinamas
Įpurškimas Digoxin 250 µg/ml
Įpurškimas Caffeine 10 mg/ml
Nėra 3964
Suderinamas
Įpurškimas Digoxin
Gliukozė 5% 618
Suderinamas
Įpurškimas Digoxin 250 µg/ml
Įpurškimas Bivalirudin 5 mg/ml
Gliukozė 5% 1713
Suderinamas
Įpurškimas Digoxin 2 µg/ml
Įpurškimas Bretylium tosilate 1 mg/ml
Natrio chloridas 0,9% 1193
Suderinamas
Įpurškimas Digoxin 2 µg/ml
Įpurškimas Bretylium tosilate 1 mg/ml
Gliukozė 5% 1193
Suderinamas
Įpurškimas Digoxin 250 µg/ml
Įpurškimas Cefiderocol sulfate tosylate 20 mg/mL
Natrio chloridas 0,9% 4528
Suderinamas
Įpurškimas Digoxin 250 µg/ml
Įpurškimas Cefiderocol sulfate tosylate 20 mg/mL
Gliukozė 5% 4528
Suderinamas
Įpurškimas Digoxin 250 µg/ml
Įpurškimas Cefmetazole sodium 100 mg/ml
Vanduo injekcijoms 93
Suderinamas
Įpurškimas Digoxin 250 µg/ml
Įpurškimas Ceftaroline fosamil 2,22 mg/ml
Gliukozė 5% 3249
Suderinamas
Įpurškimas Digoxin 250 µg/ml
Įpurškimas Ceftaroline fosamil 2,22 mg/ml
Natrio chloridas 0,9% 3249
Suderinamas
Įpurškimas Digoxin 250 µg/ml
Įpurškimas Ceftaroline fosamil 2,22 mg/ml
Ringerio laktato tirpalas 3249
Suderinamas
Įpurškimas Digoxin 250 µg/ml
Įpurškimas Ceftobiprole medocaril sodium 2 mg/ml
Ringerio laktato tirpalas 2269
Suderinamas
Įpurškimas Digoxin 250 µg/ml
Įpurškimas Ceftobiprole medocaril sodium 2 mg/ml
Natrio chloridas 0,9% 2269
Suderinamas
Įpurškimas Digoxin 250 µg/ml
Įpurškimas Ceftobiprole medocaril sodium 2 mg/ml
Gliukozė 5% 2269
Suderinamas
Įpurškimas Digoxin 250 µg/ml
Įpurškimas Ciprofloxacin lactate 2 mg/ml
Natrio chloridas 0,9% 288
Suderinamas
Įpurškimas Digoxin 250 µg/ml
Įpurškimas Cisatracurium besylate 0.1 >> 5 mg/ml
Gliukozė 5% 299
Suderinamas
Įpurškimas Digoxin 250 µg/ml
Parenterinis maitinimas (lipidų nemokamai) 301
Suderinamas
Įpurškimas Digoxin 2.5 µg/ml
Įpurškimas Cimetidine hydrochloride 3 mg/ml
Gliukozė 5% 1201
Suderinamas
Įpurškimas Digoxin 250 µg/ml
Įpurškimas Ciprofloxacin lactate 2 mg/ml
Natrio chloridas 0,9% 289
Suderinamas
Įpurškimas Digoxin 50 µg/ml
Įpurškimas Cloxacillin sodium 100 mg/ml
Vanduo injekcijoms 3012
Suderinamas
Įpurškimas Digoxin 250 µg/ml
Parenteriniu būdu (su lipidų) 1415
Suderinamas
Įpurškimas Digoxin 250 µg/ml
Įpurškimas Ceftolozane / tazobactam 10/5 mg/ml
Natrio chloridas 0,9% 3828
Suderinamas
Įpurškimas Digoxin 250 µg/ml
Įpurškimas Ceftolozane / tazobactam 10/5 mg/ml
Gliukozė 5% 3828
Suderinamas
Įpurškimas Digoxin 250 µg/ml
Įpurškimas Ciprofloxacin lactate 2 mg/ml
Gliukozė 5% 288
Suderinamas
Įpurškimas Digoxin 0.4 µg/ml
Parenteriniu būdu (su lipidų) 1338
Suderinamas
Įpurškimas Digoxin 250 µg/ml
Įpurškimas Dexmedetomidine 4 µg/ml
Natrio chloridas 0,9% 1712
Suderinamas
Įpurškimas Digoxin 500 µg/ml
Įpurškimas Diltiazem hydrochloride 1 & 5 mg/ml
Natrio chloridas 0,9% 198
Suderinamas
Įpurškimas Digoxin
Įpurškimas Dimenhydrinate
2087
Spalvos pasikeitimas po 24 valandų Nesuderinamas
Įpurškimas Digoxin 4 µg/ml
Įpurškimas Dobutamine hydrochloride 1 mg/ml
Gliukozė 5% 1058
Spalvos pasikeitimas po 24 valandų Nesuderinamas
Įpurškimas Digoxin 4 µg/ml
Įpurškimas Dobutamine hydrochloride 1 mg/ml
Natrio chloridas 0,9% 1058
Suderinamas
Įpurškimas Digoxin 250 µg/ml
Įpurškimas Doripenem 5 mg/ml
Natrio chloridas 0,9% 2262
Suderinamas
Įpurškimas Digoxin 250 µg/ml
Įpurškimas Doripenem 5 mg/ml
Gliukozė 5% 2262
Suderinamas
Įpurškimas Digoxin 250 µg/ml
Įpurškimas Famotidine
Gliukozė 5% 397
Suderinamas
Įpurškimas Digoxin 250 µg/ml
Įpurškimas Fenoldopam mesylate 80 µg/ml
Natrio chloridas 0,9% 1803
Suderinamas
Įpurškimas Digoxin 100 µg/ml
Įpurškimas Fentanyl citrate 50 µg/ml
Gliukozė 5% 63
Suderinamas
Įpurškimas Digoxin 25 µg/ml
Įpurškimas Flucloxacillin sodium 20 mg/ml
Natrio chloridas 0,9% 1232
Dujų burbulų susidarymas Nesuderinamas
Įpurškimas Digoxin 250 µg/ml
Įpurškimas Fluconazole 2 mg/ml
Natrio chloridas 0,9% 496
Suderinamas
Įpurškimas Digoxin 50 µg/ml
Ringerio laktato tirpalas 4603
Dujų burbulų susidarymas Nesuderinamas
Įpurškimas Digoxin 250 µg/ml
Įpurškimas Foscarnet sodium 24 mg/ml
Nėra 73
Suderinamas
Įpurškimas Digoxin
Ringerio laktato tirpalas 618
Suderinamas
Įpurškimas Digoxin 250 µg/ml
Įpurškimas Fosfomycin 30 mg/ml
Gliukozė 5% 4055
Suderinamas
Įpurškimas Digoxin 250 µg/ml
Įpurškimas Fosfomycin 30 mg/ml
Natrio chloridas 0,9% 4055
Suderinamas
Įpurškimas Digoxin 25 µg/ml
Įpurškimas Furosemide 1 mg/ml
Natrio chloridas 0,9% 1232
Suderinamas
Įpurškimas Digoxin 250 µg/ml
Įpurškimas Hetastarch 60 mg/ml
specifinis tirpiklis 1721
Suderinamas
Įpurškimas Digoxin 0,25 µg/ml
Įpurškimas Imipenem-Cilastatin / Relebactam 5 mg/ml
Gliukozė 5% 4433
Suderinamas
Įpurškimas Digoxin 0,25 µg/ml
Įpurškimas Imipenem-Cilastatin / Relebactam 5 mg/ml
Natrio chloridas 0,9% 4433
Suderinamas
Įpurškimas Digoxin 250 µg/ml
Įpurškimas Isavuconazonium sulfate 1.5 mg/ml
Gliukozė 5% 3829
Suderinamas
Įpurškimas Digoxin 250 µg/ml
Įpurškimas Isavuconazonium sulfate 1.5 mg/ml
Natrio chloridas 0,9% 3829
Suderinamas
Įpurškimas Digoxin 50 µg/ml
Įpurškimas Ketamine hydrochloride 50 mg/ml
2109
Nedelsiant krituliai Nesuderinamas
Įpurškimas Digoxin 250 µg/ml
Įpurškimas Lansoprazole 0.55 mg/ml
Natrio chloridas 0,9% 1625
Suderinamas
Įpurškimas Digoxin 250 µg/ml
Įpurškimas Levosimendan 0,025 & 0,05 mg/ml
4571
Suderinamas
Įpurškimas Digoxin 1 µg/ml
Įpurškimas Lidocaine hydrochloride 2 mg/ml
Ringerio laktato tirpalas 619
Suderinamas
Įpurškimas Digoxin 1 µg/ml
Įpurškimas Lidocaine hydrochloride 2 mg/ml
Gliukozė 5% 619
Suderinamas
Įpurškimas Digoxin 1 µg/ml
Įpurškimas Lidocaine hydrochloride 2 mg/ml
Natrio chloridas 0,9% 619
Suderinamas
Įpurškimas Digoxin 250 µg/ml
Įpurškimas Linezolid 2 mg/ml
Nėra 1925
Suderinamas
Įpurškimas Digoxin 250 µg/ml
Įpurškimas Meropenem 50 mg/ml
Vanduo injekcijoms 4319
Suderinamas
Įpurškimas Digoxin 250 µg/ml
Įpurškimas Meropenem 1 & 50 mg/ml
Natrio chloridas 0,9% 266
Suderinamas
Įpurškimas Digoxin 100 µg/ml
Įpurškimas Midazolam hydrochloride 1 mg/ml
Gliukozė 5% 176
Suderinamas
Įpurškimas Digoxin 50 & 125 µg/ml
Įpurškimas Milrinone lactate 0.1 & 0.35 mg/ml
Gliukozė 5% 191
Suderinamas
Įpurškimas Digoxin 250 µg/ml
Įpurškimas Morphine sulfate 1 mg/ml
Gliukozė 5% 62
Suderinamas
Įpurškimas Digoxin 50 µg/ml
Įpurškimas N-acetylcysteine 200 mg/ml
Nėra 3766
Suderinamas
Įpurškimas Digoxin 50 µg/ml
Įpurškimas Naloxone hydrochloride 0.4 mg/ml
Nėra 3408
Krituliai po 4 valandų Nesuderinamas
Įpurškimas Digoxin
Įpurškimas Pantoprazole sodium
2090
Suderinamas
Įpurškimas Digoxin 250 µg/ml
Įpurškimas Pethidine hydrochloride 10 mg/ml
Gliukozė 5% 62
Suderinamas
Įpurškimas Digoxin 250 µg/ml
Įpurškimas Plazomicin sulfate 24 mg/ml
Natrio chloridas 0,9% 4145
Suderinamas
Įpurškimas Digoxin 250 µg/ml
Įpurškimas Potassium chloride 40 mEq/l
Gliukozė 5% 730
Suderinamas
Įpurškimas Digoxin 250 µg/ml
Įpurškimas Potassium chloride 40 mEq/l
Ringerio laktato tirpalas 730
Suderinamas
Įpurškimas Digoxin 250 µg/ml
Įpurškimas Potassium chloride 40 mEq/l
Natrio chloridas 0,9% 730
Suderinamas
Įpurškimas Digoxin 250 µg/ml
Įpurškimas Propofol 10 mg/ml
Nėra 300
Suderinamas
Įpurškimas Digoxin 250 µg/ml
Įpurškimas Remifentanil hydrochloride 25 & 250 µg/ml
Natrio chloridas 0,9% 59
Suderinamas
Įpurškimas Digoxin 0,25 µg/ml
Įpurškimas Sulbactam/durlobactam 15/15 mg/ml
Natrio chloridas 0,9% 4801
Suderinamas
Įpurškimas Digoxin 250 µg/ml
Įpurškimas Tacrolimus 1000 µg/ml
Natrio chloridas 0,9% 479
Suderinamas
Įpurškimas Digoxin 250 µg/ml
Įpurškimas Tedizolid phosphate 0.8 mg/ml
Natrio chloridas 0,9% 3827
Suderinamas
Įpurškimas Digoxin 250 µg/ml
Įpurškimas Telavancin hydrochloride 7.5 mg/ml
Ringerio laktato tirpalas 3254
Suderinamas
Įpurškimas Digoxin 2 µg/ml
Įpurškimas Verapamil hydrochloride 0,08 mg/ml
Natrio chloridas 0,9% 706
Suderinamas
Įpurškimas Digoxin
Natrio chloridas 0,9% 618
Emulsijos nestabilumas po 1 valandos Nesuderinamas
Įpurškimas Digoxin 250 µg/ml
Įpurškimas Propofol
660
Tiesioginis drumstumas Nesuderinamas
Įpurškimas Digoxin 250 µg/ml
Įpurškimas Telavancin hydrochloride 7,5 mg/ml
Natrio chloridas 0,9% 3254
Tiesioginis drumstumas Nesuderinamas
Įpurškimas Digoxin 250 µg/ml
Įpurškimas Telavancin hydrochloride 7,5 mg/ml
Gliukozė 5% 3254

  Mentions Légales