Последнее обновление :
27/04/2026
Кардиотоническое средство   Digoxin  
Инъекция
Стабильность растворов Стабильность смесей Факторы, которые влияют на стабильность Совместимость Способы введения Библиография pdf
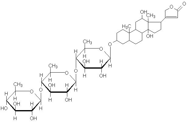
   Химическая структура  

Товарное название   Товарное название     

Trade names are indicative and excipients composition can be different depending on the country and manufacturers

Cardixin Египет
Celoxin Индия
Digibind новая Зеландия, Соединённые Штаты Америки
Digocard Аргентина, Эквадор
Digosin Япония
Digoxin Аргентина, Великобритания, Венгрия, Дания, Иран, Канада, Польша, Соединённые Штаты Америки, Финляндия, Швеция, Эквадор
Digoxina Аргентина, Венесуэла, Испания, Мексика, Эквадор
Digoxine Греция, Франция, Швейцария
Geoxin Индия
Lanibos Саудовская Аравия
Lanicor Германия
Lanoxin Бельгия, Великобритания, Голландия, Египет, Иран, Ирландия, Италия, Люксембург, Малайзия, новая Зеландия, Норвегия, Объединенные Арабские Эмираты, Португалия, Саудовская Аравия, Соединённые Штаты Америки, чили
Loxinan Мексика
Совместимость   Инъекция   Совместимость : Digoxin              
Эта таблица показывает совместимость или несовместимость препаратов, по возможности тип несовместимости (преципитат, смена цвета, разложение эмульсии и др.). Показанные здесь совместимости в основном физические, по возможности указана и химическая стабильность каждой молекулы. Анализ этих смесей произведён для исследования возможности ввести препараты пациенту в Y-соединении систем. Эти данные нельзя использовать, чтобы приготовить лекарства на будущее в мешках или шприцах. Эта информация доступна в разделе "Стабильность смесей".
Молекула Растворитель Ссылки
Немедленные осадки несовместимый
Инъекция Digoxin 250 µg/ml
Инъекция Amiodarone hydrochloride 6 mg/ml
Глюкоза 5% 1611
совместимый
Инъекция Digoxin 250 µg/ml
Инъекция Amoxicillin sodium / clavulanic acid 100/10 mg/ml
3824
Немедленные осадки несовместимый
Инъекция Digoxin 250 µg/ml
Инъекция Amphotericin B cholesteryl sulfate complex 0.83 mg/ml
Глюкоза 5% 921
совместимый
Инъекция Digoxin 250 µg/ml
Инъекция Anidulafungin 0.5 mg/ml
Глюкоза 5% 1982
совместимый
Инъекция Digoxin 250 µg/ml
Инъекция Caffeine 10 mg/ml
Нет 3964
совместимый
Инъекция Digoxin
Глюкоза 5% 618
совместимый
Инъекция Digoxin 250 µg/ml
Инъекция Bivalirudin 5 mg/ml
Глюкоза 5% 1713
совместимый
Инъекция Digoxin 2 µg/ml
Инъекция Bretylium tosilate 1 mg/ml
Натрия хлорид 0,9% 1193
совместимый
Инъекция Digoxin 2 µg/ml
Инъекция Bretylium tosilate 1 mg/ml
Глюкоза 5% 1193
совместимый
Инъекция Digoxin 250 µg/ml
Инъекция Cefiderocol sulfate tosylate 20 mg/mL
Натрия хлорид 0,9% 4528
совместимый
Инъекция Digoxin 250 µg/ml
Инъекция Cefiderocol sulfate tosylate 20 mg/mL
Глюкоза 5% 4528
совместимый
Инъекция Digoxin 250 µg/ml
Инъекция Cefmetazole sodium 100 mg/ml
Вода для инъекций 93
совместимый
Инъекция Digoxin 250 µg/ml
Инъекция Ceftaroline fosamil 2,22 mg/ml
Глюкоза 5% 3249
совместимый
Инъекция Digoxin 250 µg/ml
Инъекция Ceftaroline fosamil 2,22 mg/ml
Натрия хлорид 0,9% 3249
совместимый
Инъекция Digoxin 250 µg/ml
Инъекция Ceftaroline fosamil 2,22 mg/ml
Раствор Рингера лактата 3249
совместимый
Инъекция Digoxin 250 µg/ml
Инъекция Ceftobiprole medocaril sodium 2 mg/ml
Раствор Рингера лактата 2269
совместимый
Инъекция Digoxin 250 µg/ml
Инъекция Ceftobiprole medocaril sodium 2 mg/ml
Натрия хлорид 0,9% 2269
совместимый
Инъекция Digoxin 250 µg/ml
Инъекция Ceftobiprole medocaril sodium 2 mg/ml
Глюкоза 5% 2269
совместимый
Инъекция Digoxin 250 µg/ml
Инъекция Ciprofloxacin lactate 2 mg/ml
Натрия хлорид 0,9% 288
совместимый
Инъекция Digoxin 250 µg/ml
Инъекция Cisatracurium besylate 0.1 >> 5 mg/ml
Глюкоза 5% 299
совместимый
Инъекция Digoxin 250 µg/ml
Парентеральное питание (бинарная смесь) 301
совместимый
Инъекция Digoxin 2.5 µg/ml
Инъекция Cimetidine hydrochloride 3 mg/ml
Глюкоза 5% 1201
совместимый
Инъекция Digoxin 250 µg/ml
Инъекция Ciprofloxacin lactate 2 mg/ml
Натрия хлорид 0,9% 289
совместимый
Инъекция Digoxin 50 µg/ml
Инъекция Cloxacillin sodium 100 mg/ml
Вода для инъекций 3012
совместимый
Инъекция Digoxin 250 µg/ml
Парентеральное питание (с липидами) 1415
совместимый
Инъекция Digoxin 250 µg/ml
Инъекция Ceftolozane / tazobactam 10/5 mg/ml
Натрия хлорид 0,9% 3828
совместимый
Инъекция Digoxin 250 µg/ml
Инъекция Ceftolozane / tazobactam 10/5 mg/ml
Глюкоза 5% 3828
совместимый
Инъекция Digoxin 250 µg/ml
Инъекция Ciprofloxacin lactate 2 mg/ml
Глюкоза 5% 288
совместимый
Инъекция Digoxin 0.4 µg/ml
Парентеральное питание (с липидами) 1338
совместимый
Инъекция Digoxin 250 µg/ml
Инъекция Dexmedetomidine 4 µg/ml
Натрия хлорид 0,9% 1712
совместимый
Инъекция Digoxin 500 µg/ml
Инъекция Diltiazem hydrochloride 1 & 5 mg/ml
Натрия хлорид 0,9% 198
совместимый
Инъекция Digoxin
Инъекция Dimenhydrinate
2087
Смена цвета через 24 часа несовместимый
Инъекция Digoxin 4 µg/ml
Инъекция Dobutamine hydrochloride 1 mg/ml
Глюкоза 5% 1058
Смена цвета через 24 часа несовместимый
Инъекция Digoxin 4 µg/ml
Инъекция Dobutamine hydrochloride 1 mg/ml
Натрия хлорид 0,9% 1058
совместимый
Инъекция Digoxin 250 µg/ml
Инъекция Doripenem 5 mg/ml
Натрия хлорид 0,9% 2262
совместимый
Инъекция Digoxin 250 µg/ml
Инъекция Doripenem 5 mg/ml
Глюкоза 5% 2262
совместимый
Инъекция Digoxin 250 µg/ml
Инъекция Famotidine
Глюкоза 5% 397
совместимый
Инъекция Digoxin 250 µg/ml
Инъекция Fenoldopam mesylate 80 µg/ml
Натрия хлорид 0,9% 1803
совместимый
Инъекция Digoxin 100 µg/ml
Инъекция Fentanyl citrate 50 µg/ml
Глюкоза 5% 63
совместимый
Инъекция Digoxin 25 µg/ml
Инъекция Flucloxacillin sodium 20 mg/ml
Натрия хлорид 0,9% 1232
Производство пузырьков газа несовместимый
Инъекция Digoxin 250 µg/ml
Инъекция Fluconazole 2 mg/ml
Натрия хлорид 0,9% 496
совместимый
Инъекция Digoxin 50 µg/ml
Раствор Рингера лактата 4603
Производство пузырьков газа несовместимый
Инъекция Digoxin 250 µg/ml
Инъекция Foscarnet sodium 24 mg/ml
Нет 73
совместимый
Инъекция Digoxin
Раствор Рингера лактата 618
совместимый
Инъекция Digoxin 250 µg/ml
Инъекция Fosfomycin 30 mg/ml
Глюкоза 5% 4055
совместимый
Инъекция Digoxin 250 µg/ml
Инъекция Fosfomycin 30 mg/ml
Натрия хлорид 0,9% 4055
совместимый
Инъекция Digoxin 25 µg/ml
Инъекция Furosemide 1 mg/ml
Натрия хлорид 0,9% 1232
совместимый
Инъекция Digoxin 250 µg/ml
Инъекция Hetastarch 60 mg/ml
Конкретные растворителя 1721
совместимый
Инъекция Digoxin 0,25 µg/ml
Инъекция Imipenem-Cilastatin / Relebactam 5 mg/ml
Глюкоза 5% 4433
совместимый
Инъекция Digoxin 0,25 µg/ml
Инъекция Imipenem-Cilastatin / Relebactam 5 mg/ml
Натрия хлорид 0,9% 4433
совместимый
Инъекция Digoxin 250 µg/ml
Инъекция Isavuconazonium sulfate 1.5 mg/ml
Глюкоза 5% 3829
совместимый
Инъекция Digoxin 250 µg/ml
Инъекция Isavuconazonium sulfate 1.5 mg/ml
Натрия хлорид 0,9% 3829
совместимый
Инъекция Digoxin 50 µg/ml
Инъекция Ketamine hydrochloride 50 mg/ml
2109
Немедленные осадки несовместимый
Инъекция Digoxin 250 µg/ml
Инъекция Lansoprazole 0.55 mg/ml
Натрия хлорид 0,9% 1625
совместимый
Инъекция Digoxin 250 µg/ml
Инъекция Levosimendan 0,025 & 0,05 mg/ml
4571
совместимый
Инъекция Digoxin 1 µg/ml
Инъекция Lidocaine hydrochloride 2 mg/ml
Раствор Рингера лактата 619
совместимый
Инъекция Digoxin 1 µg/ml
Инъекция Lidocaine hydrochloride 2 mg/ml
Глюкоза 5% 619
совместимый
Инъекция Digoxin 1 µg/ml
Инъекция Lidocaine hydrochloride 2 mg/ml
Натрия хлорид 0,9% 619
совместимый
Инъекция Digoxin 250 µg/ml
Инъекция Linezolid 2 mg/ml
Нет 1925
совместимый
Инъекция Digoxin 250 µg/ml
Инъекция Meropenem 50 mg/ml
Вода для инъекций 4319
совместимый
Инъекция Digoxin 250 µg/ml
Инъекция Meropenem 1 & 50 mg/ml
Натрия хлорид 0,9% 266
совместимый
Инъекция Digoxin 100 µg/ml
Инъекция Midazolam hydrochloride 1 mg/ml
Глюкоза 5% 176
совместимый
Инъекция Digoxin 50 & 125 µg/ml
Инъекция Milrinone lactate 0.1 & 0.35 mg/ml
Глюкоза 5% 191
совместимый
Инъекция Digoxin 250 µg/ml
Инъекция Morphine sulfate 1 mg/ml
Глюкоза 5% 62
совместимый
Инъекция Digoxin 50 µg/ml
Инъекция N-acetylcysteine 200 mg/ml
Нет 3766
совместимый
Инъекция Digoxin 50 µg/ml
Инъекция Naloxone hydrochloride 0.4 mg/ml
Нет 3408
Осадки через 4 часа несовместимый
Инъекция Digoxin
Инъекция Pantoprazole sodium
2090
совместимый
Инъекция Digoxin 250 µg/ml
Инъекция Pethidine hydrochloride 10 mg/ml
Глюкоза 5% 62
совместимый
Инъекция Digoxin 250 µg/ml
Инъекция Plazomicin sulfate 24 mg/ml
Натрия хлорид 0,9% 4145
совместимый
Инъекция Digoxin 250 µg/ml
Инъекция Potassium chloride 40 mEq/l
Глюкоза 5% 730
совместимый
Инъекция Digoxin 250 µg/ml
Инъекция Potassium chloride 40 mEq/l
Раствор Рингера лактата 730
совместимый
Инъекция Digoxin 250 µg/ml
Инъекция Potassium chloride 40 mEq/l
Натрия хлорид 0,9% 730
совместимый
Инъекция Digoxin 250 µg/ml
Инъекция Propofol 10 mg/ml
Нет 300
совместимый
Инъекция Digoxin 250 µg/ml
Инъекция Remifentanil hydrochloride 25 & 250 µg/ml
Натрия хлорид 0,9% 59
совместимый
Инъекция Digoxin 0,25 µg/ml
Инъекция Sulbactam/durlobactam 15/15 mg/ml
Натрия хлорид 0,9% 4801
совместимый
Инъекция Digoxin 250 µg/ml
Инъекция Tacrolimus 1000 µg/ml
Натрия хлорид 0,9% 479
совместимый
Инъекция Digoxin 250 µg/ml
Инъекция Tedizolid phosphate 0.8 mg/ml
Натрия хлорид 0,9% 3827
совместимый
Инъекция Digoxin 250 µg/ml
Инъекция Telavancin hydrochloride 7.5 mg/ml
Раствор Рингера лактата 3254
совместимый
Инъекция Digoxin 2 µg/ml
Инъекция Verapamil hydrochloride 0,08 mg/ml
Натрия хлорид 0,9% 706
совместимый
Инъекция Digoxin
Натрия хлорид 0,9% 618
Нестабильность эмульсии через 1 час. несовместимый
Инъекция Digoxin 250 µg/ml
Инъекция Propofol
660
Немедленная мутность несовместимый
Инъекция Digoxin 250 µg/ml
Инъекция Telavancin hydrochloride 7,5 mg/ml
Натрия хлорид 0,9% 3254
Немедленная мутность несовместимый
Инъекция Digoxin 250 µg/ml
Инъекция Telavancin hydrochloride 7,5 mg/ml
Глюкоза 5% 3254

  Mentions Légales