Viimeisin päivitys :
27/04/2026
Sydämen toimintaa tehostava   Digoxin  
Injektioneste
Stabilius liuoksessa Stabilius seoksissa Tekijät, jotka vaikuttavat stabiliuteen Yhteensopivuus Antotapa Viitteet pdf
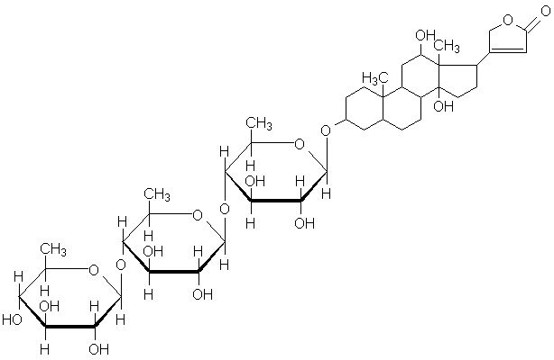
   Kemiallinen rakenne  

Kauppanimi   Kauppanimi     

Trade names are indicative and excipients composition can be different depending on the country and manufacturers

Cardixin Egypti
Celoxin Intia
Digibind New Zealand, Yhdysvallat
Digocard Argentiina, Ecuador
Digosin Japani
Digoxin Argentiina, Ecuador, Iran, Iso-Britannia, Kanada, Puola, Ruotsi, Suomi, Tanska, Unkari, Yhdysvallat
Digoxina Argentiina, Ecuador, Espanja, Meksiko, Venezuela
Digoxine Kreikka, Ranska, Sveitsi
Geoxin Intia
Lanibos Saudi-Arabia
Lanicor Saksa
Lanoxin Belgia, Chile, Egypti, Hollanti, Iran, Irlanti, Iso-Britannia, Italia, Luxemburg, Malesia, New Zealand, Norja, Portugali, Saudi-Arabia, Yhdistyneet arabiemiirikunnat, Yhdysvallat
Loxinan Meksiko
Yhteensopivuus   Injektioneste   Yhteensopivuus : Digoxin              
Tämä näyttö osoittaa yhteensopivuuden tai yhteensopimattomuuden yhteensopimattomuuden tyypin kanssa (saostuminen, värinmuutos, emulsiomuutos jne.). Tässä esitetty yhteensopivuus on useimmissa tapauksissa vain fysikaalinen, ja kunkin molekyylin kemiallista stabiilisuutta arvioidaan harvoin. Näiden seosten arviointia tutkittiin mahdollisuuden antaa Y-kohta potilaalle. Näitä tietoja ei voida käyttää seosten valmistamiseen etukäteen pusseissa tai ruiskuissa. Tämäntyyppiset tiedot ovat saatavilla "Stabiilisuus seoksessa" -näytössä.
Yhdiste Liuotin Viitteet
Välittömät sateet yhteensopimaton
Injektioneste Digoxin 250 µg/ml
Injektioneste Amiodarone hydrochloride 6 mg/ml
Glukoosi 5% 1611
Yhteensopiva
Injektioneste Digoxin 250 µg/ml
Injektioneste Amoxicillin sodium / clavulanic acid 100/10 mg/ml
3824
Välittömät sateet yhteensopimaton
Injektioneste Digoxin 250 µg/ml
Injektioneste Amphotericin B cholesteryl sulfate complex 0.83 mg/ml
Glukoosi 5% 921
Yhteensopiva
Injektioneste Digoxin 250 µg/ml
Injektioneste Anidulafungin 0.5 mg/ml
Glukoosi 5% 1982
Yhteensopiva
Injektioneste Digoxin 250 µg/ml
Injektioneste Caffeine 10 mg/ml
Ei mikään 3964
Yhteensopiva
Injektioneste Digoxin
Glukoosi 5% 618
Yhteensopiva
Injektioneste Digoxin 250 µg/ml
Injektioneste Bivalirudin 5 mg/ml
Glukoosi 5% 1713
Yhteensopiva
Injektioneste Digoxin 2 µg/ml
Injektioneste Bretylium tosilate 1 mg/ml
Natriumkloridi 0,9% 1193
Yhteensopiva
Injektioneste Digoxin 2 µg/ml
Injektioneste Bretylium tosilate 1 mg/ml
Glukoosi 5% 1193
Yhteensopiva
Injektioneste Digoxin 250 µg/ml
Injektioneste Cefiderocol sulfate tosylate 20 mg/mL
Natriumkloridi 0,9% 4528
Yhteensopiva
Injektioneste Digoxin 250 µg/ml
Injektioneste Cefiderocol sulfate tosylate 20 mg/mL
Glukoosi 5% 4528
Yhteensopiva
Injektioneste Digoxin 250 µg/ml
Injektioneste Cefmetazole sodium 100 mg/ml
Injektionesteisiin käytettävä vesi 93
Yhteensopiva
Injektioneste Digoxin 250 µg/ml
Injektioneste Ceftaroline fosamil 2,22 mg/ml
Glukoosi 5% 3249
Yhteensopiva
Injektioneste Digoxin 250 µg/ml
Injektioneste Ceftaroline fosamil 2,22 mg/ml
Natriumkloridi 0,9% 3249
Yhteensopiva
Injektioneste Digoxin 250 µg/ml
Injektioneste Ceftaroline fosamil 2,22 mg/ml
Ringerlaktaattiliuos 3249
Yhteensopiva
Injektioneste Digoxin 250 µg/ml
Injektioneste Ceftobiprole medocaril sodium 2 mg/ml
Ringerlaktaattiliuos 2269
Yhteensopiva
Injektioneste Digoxin 250 µg/ml
Injektioneste Ceftobiprole medocaril sodium 2 mg/ml
Natriumkloridi 0,9% 2269
Yhteensopiva
Injektioneste Digoxin 250 µg/ml
Injektioneste Ceftobiprole medocaril sodium 2 mg/ml
Glukoosi 5% 2269
Yhteensopiva
Injektioneste Digoxin 250 µg/ml
Injektioneste Ciprofloxacin lactate 2 mg/ml
Natriumkloridi 0,9% 288
Yhteensopiva
Injektioneste Digoxin 250 µg/ml
Injektioneste Cisatracurium besylate 0.1 >> 5 mg/ml
Glukoosi 5% 299
Yhteensopiva
Injektioneste Digoxin 250 µg/ml
Parenteraalisesti (rasva-free) 301
Yhteensopiva
Injektioneste Digoxin 2.5 µg/ml
Injektioneste Cimetidine hydrochloride 3 mg/ml
Glukoosi 5% 1201
Yhteensopiva
Injektioneste Digoxin 250 µg/ml
Injektioneste Ciprofloxacin lactate 2 mg/ml
Natriumkloridi 0,9% 289
Yhteensopiva
Injektioneste Digoxin 50 µg/ml
Injektioneste Cloxacillin sodium 100 mg/ml
Injektionesteisiin käytettävä vesi 3012
Yhteensopiva
Injektioneste Digoxin 250 µg/ml
Parenteraalinen (lipidien) 1415
Yhteensopiva
Injektioneste Digoxin 250 µg/ml
Injektioneste Ceftolozane / tazobactam 10/5 mg/ml
Natriumkloridi 0,9% 3828
Yhteensopiva
Injektioneste Digoxin 250 µg/ml
Injektioneste Ceftolozane / tazobactam 10/5 mg/ml
Glukoosi 5% 3828
Yhteensopiva
Injektioneste Digoxin 250 µg/ml
Injektioneste Ciprofloxacin lactate 2 mg/ml
Glukoosi 5% 288
Yhteensopiva
Injektioneste Digoxin 0.4 µg/ml
Parenteraalinen (lipidien) 1338
Yhteensopiva
Injektioneste Digoxin 250 µg/ml
Injektioneste Dexmedetomidine 4 µg/ml
Natriumkloridi 0,9% 1712
Yhteensopiva
Injektioneste Digoxin 500 µg/ml
Injektioneste Diltiazem hydrochloride 1 & 5 mg/ml
Natriumkloridi 0,9% 198
Yhteensopiva
Injektioneste Digoxin
Injektioneste Dimenhydrinate
2087
Värinvaihto 24 tunnin kuluttua yhteensopimaton
Injektioneste Digoxin 4 µg/ml
Injektioneste Dobutamine hydrochloride 1 mg/ml
Glukoosi 5% 1058
Värinvaihto 24 tunnin kuluttua yhteensopimaton
Injektioneste Digoxin 4 µg/ml
Injektioneste Dobutamine hydrochloride 1 mg/ml
Natriumkloridi 0,9% 1058
Yhteensopiva
Injektioneste Digoxin 250 µg/ml
Injektioneste Doripenem 5 mg/ml
Natriumkloridi 0,9% 2262
Yhteensopiva
Injektioneste Digoxin 250 µg/ml
Injektioneste Doripenem 5 mg/ml
Glukoosi 5% 2262
Yhteensopiva
Injektioneste Digoxin 250 µg/ml
Injektioneste Famotidine
Glukoosi 5% 397
Yhteensopiva
Injektioneste Digoxin 250 µg/ml
Injektioneste Fenoldopam mesylate 80 µg/ml
Natriumkloridi 0,9% 1803
Yhteensopiva
Injektioneste Digoxin 100 µg/ml
Injektioneste Fentanyl citrate 50 µg/ml
Glukoosi 5% 63
Yhteensopiva
Injektioneste Digoxin 25 µg/ml
Injektioneste Flucloxacillin sodium 20 mg/ml
Natriumkloridi 0,9% 1232
Kaasukuplien tuotanto yhteensopimaton
Injektioneste Digoxin 250 µg/ml
Injektioneste Fluconazole 2 mg/ml
Natriumkloridi 0,9% 496
Yhteensopiva
Injektioneste Digoxin 50 µg/ml
Ringerlaktaattiliuos 4603
Kaasukuplien tuotanto yhteensopimaton
Injektioneste Digoxin 250 µg/ml
Injektioneste Foscarnet sodium 24 mg/ml
Ei mikään 73
Yhteensopiva
Injektioneste Digoxin
Ringerlaktaattiliuos 618
Yhteensopiva
Injektioneste Digoxin 250 µg/ml
Injektioneste Fosfomycin 30 mg/ml
Glukoosi 5% 4055
Yhteensopiva
Injektioneste Digoxin 250 µg/ml
Injektioneste Fosfomycin 30 mg/ml
Natriumkloridi 0,9% 4055
Yhteensopiva
Injektioneste Digoxin 25 µg/ml
Injektioneste Furosemide 1 mg/ml
Natriumkloridi 0,9% 1232
Yhteensopiva
Injektioneste Digoxin 250 µg/ml
Injektioneste Hetastarch 60 mg/ml
spesifiseen liuottimeen 1721
Yhteensopiva
Injektioneste Digoxin 0,25 µg/ml
Injektioneste Imipenem-Cilastatin / Relebactam 5 mg/ml
Glukoosi 5% 4433
Yhteensopiva
Injektioneste Digoxin 0,25 µg/ml
Injektioneste Imipenem-Cilastatin / Relebactam 5 mg/ml
Natriumkloridi 0,9% 4433
Yhteensopiva
Injektioneste Digoxin 250 µg/ml
Injektioneste Isavuconazonium sulfate 1.5 mg/ml
Glukoosi 5% 3829
Yhteensopiva
Injektioneste Digoxin 250 µg/ml
Injektioneste Isavuconazonium sulfate 1.5 mg/ml
Natriumkloridi 0,9% 3829
Yhteensopiva
Injektioneste Digoxin 50 µg/ml
Injektioneste Ketamine hydrochloride 50 mg/ml
2109
Välittömät sateet yhteensopimaton
Injektioneste Digoxin 250 µg/ml
Injektioneste Lansoprazole 0.55 mg/ml
Natriumkloridi 0,9% 1625
Yhteensopiva
Injektioneste Digoxin 250 µg/ml
Injektioneste Levosimendan 0,025 & 0,05 mg/ml
4571
Yhteensopiva
Injektioneste Digoxin 1 µg/ml
Injektioneste Lidocaine hydrochloride 2 mg/ml
Ringerlaktaattiliuos 619
Yhteensopiva
Injektioneste Digoxin 1 µg/ml
Injektioneste Lidocaine hydrochloride 2 mg/ml
Glukoosi 5% 619
Yhteensopiva
Injektioneste Digoxin 1 µg/ml
Injektioneste Lidocaine hydrochloride 2 mg/ml
Natriumkloridi 0,9% 619
Yhteensopiva
Injektioneste Digoxin 250 µg/ml
Injektioneste Linezolid 2 mg/ml
Ei mikään 1925
Yhteensopiva
Injektioneste Digoxin 250 µg/ml
Injektioneste Meropenem 50 mg/ml
Injektionesteisiin käytettävä vesi 4319
Yhteensopiva
Injektioneste Digoxin 250 µg/ml
Injektioneste Meropenem 1 & 50 mg/ml
Natriumkloridi 0,9% 266
Yhteensopiva
Injektioneste Digoxin 100 µg/ml
Injektioneste Midazolam hydrochloride 1 mg/ml
Glukoosi 5% 176
Yhteensopiva
Injektioneste Digoxin 50 & 125 µg/ml
Injektioneste Milrinone lactate 0.1 & 0.35 mg/ml
Glukoosi 5% 191
Yhteensopiva
Injektioneste Digoxin 250 µg/ml
Injektioneste Morphine sulfate 1 mg/ml
Glukoosi 5% 62
Yhteensopiva
Injektioneste Digoxin 50 µg/ml
Injektioneste N-acetylcysteine 200 mg/ml
Ei mikään 3766
Yhteensopiva
Injektioneste Digoxin 50 µg/ml
Injektioneste Naloxone hydrochloride 0.4 mg/ml
Ei mikään 3408
Sade 4 tunnin kuluttua yhteensopimaton
Injektioneste Digoxin
Injektioneste Pantoprazole sodium
2090
Yhteensopiva
Injektioneste Digoxin 250 µg/ml
Injektioneste Pethidine hydrochloride 10 mg/ml
Glukoosi 5% 62
Yhteensopiva
Injektioneste Digoxin 250 µg/ml
Injektioneste Plazomicin sulfate 24 mg/ml
Natriumkloridi 0,9% 4145
Yhteensopiva
Injektioneste Digoxin 250 µg/ml
Injektioneste Potassium chloride 40 mEq/l
Glukoosi 5% 730
Yhteensopiva
Injektioneste Digoxin 250 µg/ml
Injektioneste Potassium chloride 40 mEq/l
Ringerlaktaattiliuos 730
Yhteensopiva
Injektioneste Digoxin 250 µg/ml
Injektioneste Potassium chloride 40 mEq/l
Natriumkloridi 0,9% 730
Yhteensopiva
Injektioneste Digoxin 250 µg/ml
Injektioneste Propofol 10 mg/ml
Ei mikään 300
Yhteensopiva
Injektioneste Digoxin 250 µg/ml
Injektioneste Remifentanil hydrochloride 25 & 250 µg/ml
Natriumkloridi 0,9% 59
Yhteensopiva
Injektioneste Digoxin 0,25 µg/ml
Injektioneste Sulbactam/durlobactam 15/15 mg/ml
Natriumkloridi 0,9% 4801
Yhteensopiva
Injektioneste Digoxin 250 µg/ml
Injektioneste Tacrolimus 1000 µg/ml
Natriumkloridi 0,9% 479
Yhteensopiva
Injektioneste Digoxin 250 µg/ml
Injektioneste Tedizolid phosphate 0.8 mg/ml
Natriumkloridi 0,9% 3827
Yhteensopiva
Injektioneste Digoxin 250 µg/ml
Injektioneste Telavancin hydrochloride 7.5 mg/ml
Ringerlaktaattiliuos 3254
Yhteensopiva
Injektioneste Digoxin 2 µg/ml
Injektioneste Verapamil hydrochloride 0,08 mg/ml
Natriumkloridi 0,9% 706
Yhteensopiva
Injektioneste Digoxin
Natriumkloridi 0,9% 618
Emulsion epästabiilisuus tunnin kuluttua yhteensopimaton
Injektioneste Digoxin 250 µg/ml
Injektioneste Propofol
660
Välitön sameus yhteensopimaton
Injektioneste Digoxin 250 µg/ml
Injektioneste Telavancin hydrochloride 7,5 mg/ml
Natriumkloridi 0,9% 3254
Välitön sameus yhteensopimaton
Injektioneste Digoxin 250 µg/ml
Injektioneste Telavancin hydrochloride 7,5 mg/ml
Glukoosi 5% 3254

  Mentions Légales