Last update :
27/04/2026
Cardiotonic   Digoxin  
injection
Stability in solutions Stability of mixtures Factors which affect stability Compatibility Route of administration References pdf
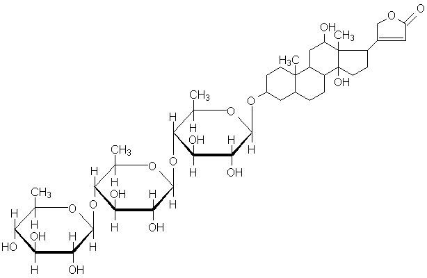
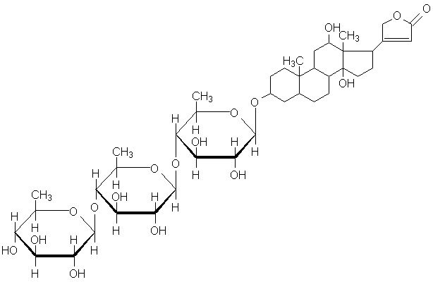
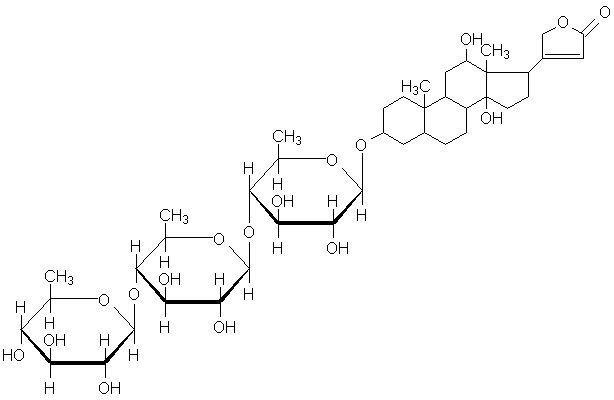
   Chemical structure  

Tradename   Tradename     

Trade names are indicative and excipients composition can be different depending on the country and manufacturers

Cardixin Egypt
Celoxin India
Digibind New Zealand, United States of America
Digocard Argentina, Ecuador
Digosin Japan
Digoxin Argentina, Canada, Denmark, Ecuador, Finland, Great Britain, Hungary, Iran, Poland, Sweden, United States of America
Digoxina Argentina, Ecuador, Mexico, Spain, Venezuela
Digoxine France, Greece, Switzerland
Geoxin India
Lanibos Saudi Arabia
Lanicor Germany
Lanoxin Belgium, Chile, Egypt, Great Britain, Iran, Ireland, Italy, Luxembourg, Malaysia, Netherlands, New Zealand, Norway, Portugal, Saudi Arabia, United Arab Emirates, United States of America
Loxinan Mexico
Compatibility   injection   Compatibility : Digoxin              
This screen indicates the compatibilities or incompatibilities with, in this case, the type of incompatibility (precipitation, color change, modification of an emulsion, etc.). The compatibilities shown here are mostly physical only, with the chemical stability of each molecule rarely being assessed. The evaluation of these mixtures was studied to consider the possibility of Y-site administration to the patient. These data cannot be used for making mixtures in advance in bags or syringes. This type of information is available in the screen "Stability in mixture ».
Compound Solvent References
Immediate precipitation Incompatible
injection Digoxin 250 µg/ml
injection Amiodarone hydrochloride 6 mg/ml
Glucose 5% 1611
Compatible
injection Digoxin 250 µg/ml
injection Amoxicillin sodium / clavulanic acid 100/10 mg/ml
3824
Immediate precipitation Incompatible
injection Digoxin 250 µg/ml
injection Amphotericin B cholesteryl sulfate complex 0.83 mg/ml
Glucose 5% 921
Compatible
injection Digoxin 250 µg/ml
injection Anidulafungin 0.5 mg/ml
Glucose 5% 1982
Compatible
injection Digoxin 250 µg/ml
injection Caffeine 10 mg/ml
None 3964
Compatible
injection Digoxin
Glucose 5% 618
Compatible
injection Digoxin 250 µg/ml
injection Bivalirudin 5 mg/ml
Glucose 5% 1713
Compatible
injection Digoxin 2 µg/ml
injection Bretylium tosilate 1 mg/ml
Sodium chloride 0,9% 1193
Compatible
injection Digoxin 2 µg/ml
injection Bretylium tosilate 1 mg/ml
Glucose 5% 1193
Compatible
injection Digoxin 250 µg/ml
injection Cefiderocol sulfate tosylate 20 mg/mL
Sodium chloride 0,9% 4528
Compatible
injection Digoxin 250 µg/ml
injection Cefiderocol sulfate tosylate 20 mg/mL
Glucose 5% 4528
Compatible
injection Digoxin 250 µg/ml
injection Cefmetazole sodium 100 mg/ml
Water for Injection 93
Compatible
injection Digoxin 250 µg/ml
injection Ceftaroline fosamil 2,22 mg/ml
Glucose 5% 3249
Compatible
injection Digoxin 250 µg/ml
injection Ceftaroline fosamil 2,22 mg/ml
Sodium chloride 0,9% 3249
Compatible
injection Digoxin 250 µg/ml
injection Ceftaroline fosamil 2,22 mg/ml
Ringer’s lactate solution 3249
Compatible
injection Digoxin 250 µg/ml
injection Ceftobiprole medocaril sodium 2 mg/ml
Ringer’s lactate solution 2269
Compatible
injection Digoxin 250 µg/ml
injection Ceftobiprole medocaril sodium 2 mg/ml
Sodium chloride 0,9% 2269
Compatible
injection Digoxin 250 µg/ml
injection Ceftobiprole medocaril sodium 2 mg/ml
Glucose 5% 2269
Compatible
injection Digoxin 250 µg/ml
injection Ciprofloxacin lactate 2 mg/ml
Sodium chloride 0,9% 288
Compatible
injection Digoxin 250 µg/ml
injection Cisatracurium besylate 0.1 >> 5 mg/ml
Glucose 5% 299
Compatible
injection Digoxin 250 µg/ml
Parenteral nutrition (binary mixture) 301
Compatible
injection Digoxin 2.5 µg/ml
injection Cimetidine hydrochloride 3 mg/ml
Glucose 5% 1201
Compatible
injection Digoxin 250 µg/ml
injection Ciprofloxacin lactate 2 mg/ml
Sodium chloride 0,9% 289
Compatible
injection Digoxin 50 µg/ml
injection Cloxacillin sodium 100 mg/ml
Water for Injection 3012
Compatible
injection Digoxin 250 µg/ml
Parenteral nutrition (with lipids) 1415
Compatible
injection Digoxin 250 µg/ml
injection Ceftolozane / tazobactam 10/5 mg/ml
Sodium chloride 0,9% 3828
Compatible
injection Digoxin 250 µg/ml
injection Ceftolozane / tazobactam 10/5 mg/ml
Glucose 5% 3828
Compatible
injection Digoxin 250 µg/ml
injection Ciprofloxacin lactate 2 mg/ml
Glucose 5% 288
Compatible
injection Digoxin 0.4 µg/ml
Parenteral nutrition (with lipids) 1338
Compatible
injection Digoxin 250 µg/ml
injection Dexmedetomidine 4 µg/ml
Sodium chloride 0,9% 1712
Compatible
injection Digoxin 500 µg/ml
injection Diltiazem hydrochloride 1 & 5 mg/ml
Sodium chloride 0,9% 198
Compatible
injection Digoxin
injection Dimenhydrinate
2087
Color change after 24 hours Incompatible
injection Digoxin 4 µg/ml
injection Dobutamine hydrochloride 1 mg/ml
Glucose 5% 1058
Color change after 24 hours Incompatible
injection Digoxin 4 µg/ml
injection Dobutamine hydrochloride 1 mg/ml
Sodium chloride 0,9% 1058
Compatible
injection Digoxin 250 µg/ml
injection Doripenem 5 mg/ml
Sodium chloride 0,9% 2262
Compatible
injection Digoxin 250 µg/ml
injection Doripenem 5 mg/ml
Glucose 5% 2262
Compatible
injection Digoxin 250 µg/ml
injection Famotidine
Glucose 5% 397
Compatible
injection Digoxin 250 µg/ml
injection Fenoldopam mesylate 80 µg/ml
Sodium chloride 0,9% 1803
Compatible
injection Digoxin 100 µg/ml
injection Fentanyl citrate 50 µg/ml
Glucose 5% 63
Compatible
injection Digoxin 25 µg/ml
injection Flucloxacillin sodium 20 mg/ml
Sodium chloride 0,9% 1232
Production of gas bubbles Incompatible
injection Digoxin 250 µg/ml
injection Fluconazole 2 mg/ml
Sodium chloride 0,9% 496
Compatible
injection Digoxin 50 µg/ml
Ringer’s lactate solution 4603
Production of gas bubbles Incompatible
injection Digoxin 250 µg/ml
injection Foscarnet sodium 24 mg/ml
None 73
Compatible
injection Digoxin
Ringer’s lactate solution 618
Compatible
injection Digoxin 250 µg/ml
injection Fosfomycin 30 mg/ml
Glucose 5% 4055
Compatible
injection Digoxin 250 µg/ml
injection Fosfomycin 30 mg/ml
Sodium chloride 0,9% 4055
Compatible
injection Digoxin 25 µg/ml
injection Furosemide 1 mg/ml
Sodium chloride 0,9% 1232
Compatible
injection Digoxin 250 µg/ml
injection Hetastarch 60 mg/ml
specific solvent 1721
Compatible
injection Digoxin 0,25 µg/ml
injection Imipenem-Cilastatin / Relebactam 5 mg/ml
Glucose 5% 4433
Compatible
injection Digoxin 0,25 µg/ml
injection Imipenem-Cilastatin / Relebactam 5 mg/ml
Sodium chloride 0,9% 4433
Compatible
injection Digoxin 250 µg/ml
injection Isavuconazonium sulfate 1.5 mg/ml
Glucose 5% 3829
Compatible
injection Digoxin 250 µg/ml
injection Isavuconazonium sulfate 1.5 mg/ml
Sodium chloride 0,9% 3829
Compatible
injection Digoxin 50 µg/ml
injection Ketamine hydrochloride 50 mg/ml
2109
Immediate precipitation Incompatible
injection Digoxin 250 µg/ml
injection Lansoprazole 0.55 mg/ml
Sodium chloride 0,9% 1625
Compatible
injection Digoxin 250 µg/ml
injection Levosimendan 0,025 & 0,05 mg/ml
4571
Compatible
injection Digoxin 1 µg/ml
injection Lidocaine hydrochloride 2 mg/ml
Ringer’s lactate solution 619
Compatible
injection Digoxin 1 µg/ml
injection Lidocaine hydrochloride 2 mg/ml
Glucose 5% 619
Compatible
injection Digoxin 1 µg/ml
injection Lidocaine hydrochloride 2 mg/ml
Sodium chloride 0,9% 619
Compatible
injection Digoxin 250 µg/ml
injection Linezolid 2 mg/ml
None 1925
Compatible
injection Digoxin 250 µg/ml
injection Meropenem 50 mg/ml
Water for Injection 4319
Compatible
injection Digoxin 250 µg/ml
injection Meropenem 1 & 50 mg/ml
Sodium chloride 0,9% 266
Compatible
injection Digoxin 100 µg/ml
injection Midazolam hydrochloride 1 mg/ml
Glucose 5% 176
Compatible
injection Digoxin 50 & 125 µg/ml
injection Milrinone lactate 0.1 & 0.35 mg/ml
Glucose 5% 191
Compatible
injection Digoxin 250 µg/ml
injection Morphine sulfate 1 mg/ml
Glucose 5% 62
Compatible
injection Digoxin 50 µg/ml
injection N-acetylcysteine 200 mg/ml
None 3766
Compatible
injection Digoxin 50 µg/ml
injection Naloxone hydrochloride 0.4 mg/ml
None 3408
Precipitation after 4 hours Incompatible
injection Digoxin
injection Pantoprazole sodium
2090
Compatible
injection Digoxin 250 µg/ml
injection Pethidine hydrochloride 10 mg/ml
Glucose 5% 62
Compatible
injection Digoxin 250 µg/ml
injection Plazomicin sulfate 24 mg/ml
Sodium chloride 0,9% 4145
Compatible
injection Digoxin 250 µg/ml
injection Potassium chloride 40 mEq/l
Glucose 5% 730
Compatible
injection Digoxin 250 µg/ml
injection Potassium chloride 40 mEq/l
Ringer’s lactate solution 730
Compatible
injection Digoxin 250 µg/ml
injection Potassium chloride 40 mEq/l
Sodium chloride 0,9% 730
Compatible
injection Digoxin 250 µg/ml
injection Propofol 10 mg/ml
None 300
Compatible
injection Digoxin 250 µg/ml
injection Remifentanil hydrochloride 25 & 250 µg/ml
Sodium chloride 0,9% 59
Compatible
injection Digoxin 0,25 µg/ml
injection Sulbactam/durlobactam 15/15 mg/ml
Sodium chloride 0,9% 4801
Compatible
injection Digoxin 250 µg/ml
injection Tacrolimus 1000 µg/ml
Sodium chloride 0,9% 479
Compatible
injection Digoxin 250 µg/ml
injection Tedizolid phosphate 0.8 mg/ml
Sodium chloride 0,9% 3827
Compatible
injection Digoxin 250 µg/ml
injection Telavancin hydrochloride 7.5 mg/ml
Ringer’s lactate solution 3254
Compatible
injection Digoxin 2 µg/ml
injection Verapamil hydrochloride 0,08 mg/ml
Sodium chloride 0,9% 706
Compatible
injection Digoxin
Sodium chloride 0,9% 618
Instability of the emulsion after 1 hour Incompatible
injection Digoxin 250 µg/ml
injection Propofol
660
Immediate turbidity Incompatible
injection Digoxin 250 µg/ml
injection Telavancin hydrochloride 7,5 mg/ml
Sodium chloride 0,9% 3254
Immediate turbidity Incompatible
injection Digoxin 250 µg/ml
injection Telavancin hydrochloride 7,5 mg/ml
Glucose 5% 3254

  Mentions Légales