Τελευταία ενημέρωση :
27/04/2026
Καρδιοτονωτικό   Digoxin  
Ενέσιμο
Σταθερότητα διαλυμάτων Σταθερότητα σε μίγματα Παράγοντας που επηρεάζει τη σταθερότητα Συμβατότητες Τρόπος χορήγησης Βιβλιογραφία pdf
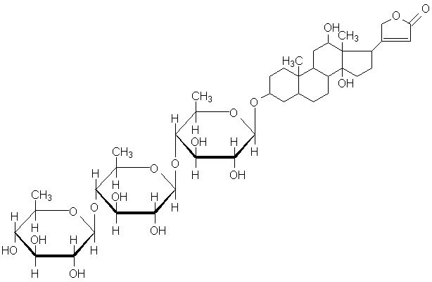
   χημική δομή  

Εμπορική ονομασία   Εμπορική ονομασία     

Οι εμπορικές ονομασίες είναι ενδεικτικές και η σύνθεση των εκδόχων μπορεί να διαφέρει ανάλογα με τη χώρα και τα εργαστήρια

Cardixin Αίγυπτος
Celoxin Ινδία
Digibind Η.Π.Α., νέα Ζηλανδία
Digocard Αργεντινή, Εκουαδόρ
Digosin Ιαπωνία
Digoxin Αργεντινή, Δανία, Εκουαδόρ, Η.Π.Α., Ιράν, Καναδάς, Μεγάλη Βρετανία, Ουγγαρία, Πολωνία, Σουηδία, Φινλανδία
Digoxina Αργεντινή, Βενεζουέλα, Εκουαδόρ, Ισπανία, Μεξικό
Digoxine Γαλλία, Ελβετία, Ελλάδα
Geoxin Ινδία
Lanibos Σαουδική Αραβία
Lanicor Γερμανία
Lanoxin Yhdistyneet arabiemiirikunnat, Αίγυπτος, Βέλγιο, Η.Π.Α., Ιράν, Ιρλανδία, Ιταλία, Λουξεμβούργο, Μαλαισία, Μεγάλη Βρετανία, νέα Ζηλανδία, Νορβηγία, Ολλανδία, Πορτογαλία, Σαουδική Αραβία, Χιλή
Loxinan Μεξικό
Συμβατότητες    Ενέσιμο   Συμβατότητες : Digoxin              
Σε αυτή την οθόνη εμφανίζονται οι συμβατότητες ή ασυμβατότητες. Σε αυτή την περίπτωση εμφανίζονται το είδος της ασυμβατότητας (ίζημα, αλλαγή χρώματος, μεταβολή γαλακτώματος, κλπ). Οι συμβατότητες που παρουσιάζονται εδώ είναι κυρίως φυσικές, ενώ η χημική σταθερότητα κάθε μορίου σπάνια περιλαμβάνεται. Η αξιολόγηση αυτών των μιγμάτων μελετήθηκε προκειμένου να εκτιμηθεί η πιθανότητα χορήγησης στον ασθενή στο Υ κέντρο. Τα δεδομένα αυτά δεν μπορούν να χρησιμοποιηθούν για την εκ των προτέρων δημιουργία μιγμάτων σε ασκούς ή σύριγγες. Αυτό το είδος πληροφορίας υπάρχει και μπορεί να αναζητηθεί στην οθόνη «Σταθερότητα σε μίγμα».
Συστατικό Διαλυτικό Βιβλιογραφία
Άμεση βροχόπτωση Ασύμβατες
Ενέσιμο Digoxin 250 µg/ml
Ενέσιμο Amiodarone hydrochloride 6 mg/ml
Γλυκόζη 5% 1611
Σύμφωνος
Ενέσιμο Digoxin 250 µg/ml
Ενέσιμο Amoxicillin sodium / clavulanic acid 100/10 mg/ml
3824
Άμεση βροχόπτωση Ασύμβατες
Ενέσιμο Digoxin 250 µg/ml
Ενέσιμο Amphotericin B cholesteryl sulfate complex 0.83 mg/ml
Γλυκόζη 5% 921
Σύμφωνος
Ενέσιμο Digoxin 250 µg/ml
Ενέσιμο Anidulafungin 0.5 mg/ml
Γλυκόζη 5% 1982
Σύμφωνος
Ενέσιμο Digoxin 250 µg/ml
Ενέσιμο Caffeine 10 mg/ml
Ουδέν 3964
Σύμφωνος
Ενέσιμο Digoxin
Γλυκόζη 5% 618
Σύμφωνος
Ενέσιμο Digoxin 250 µg/ml
Ενέσιμο Bivalirudin 5 mg/ml
Γλυκόζη 5% 1713
Σύμφωνος
Ενέσιμο Digoxin 2 µg/ml
Ενέσιμο Bretylium tosilate 1 mg/ml
Χλωριούχο νάτριο 0,9% 1193
Σύμφωνος
Ενέσιμο Digoxin 2 µg/ml
Ενέσιμο Bretylium tosilate 1 mg/ml
Γλυκόζη 5% 1193
Σύμφωνος
Ενέσιμο Digoxin 250 µg/ml
Ενέσιμο Cefiderocol sulfate tosylate 20 mg/mL
Χλωριούχο νάτριο 0,9% 4528
Σύμφωνος
Ενέσιμο Digoxin 250 µg/ml
Ενέσιμο Cefiderocol sulfate tosylate 20 mg/mL
Γλυκόζη 5% 4528
Σύμφωνος
Ενέσιμο Digoxin 250 µg/ml
Ενέσιμο Cefmetazole sodium 100 mg/ml
Ενέσιμο ύδωρ 93
Σύμφωνος
Ενέσιμο Digoxin 250 µg/ml
Ενέσιμο Ceftaroline fosamil 2,22 mg/ml
Γλυκόζη 5% 3249
Σύμφωνος
Ενέσιμο Digoxin 250 µg/ml
Ενέσιμο Ceftaroline fosamil 2,22 mg/ml
Χλωριούχο νάτριο 0,9% 3249
Σύμφωνος
Ενέσιμο Digoxin 250 µg/ml
Ενέσιμο Ceftaroline fosamil 2,22 mg/ml
Γαλακτικό διάλυμα Ringer 3249
Σύμφωνος
Ενέσιμο Digoxin 250 µg/ml
Ενέσιμο Ceftobiprole medocaril sodium 2 mg/ml
Γαλακτικό διάλυμα Ringer 2269
Σύμφωνος
Ενέσιμο Digoxin 250 µg/ml
Ενέσιμο Ceftobiprole medocaril sodium 2 mg/ml
Χλωριούχο νάτριο 0,9% 2269
Σύμφωνος
Ενέσιμο Digoxin 250 µg/ml
Ενέσιμο Ceftobiprole medocaril sodium 2 mg/ml
Γλυκόζη 5% 2269
Σύμφωνος
Ενέσιμο Digoxin 250 µg/ml
Ενέσιμο Ciprofloxacin lactate 2 mg/ml
Χλωριούχο νάτριο 0,9% 288
Σύμφωνος
Ενέσιμο Digoxin 250 µg/ml
Ενέσιμο Cisatracurium besylate 0.1 >> 5 mg/ml
Γλυκόζη 5% 299
Σύμφωνος
Ενέσιμο Digoxin 250 µg/ml
Παρεντερική  θρέψη (ελεύθερο λιπιδίων) 301
Σύμφωνος
Ενέσιμο Digoxin 2.5 µg/ml
Ενέσιμο Cimetidine hydrochloride 3 mg/ml
Γλυκόζη 5% 1201
Σύμφωνος
Ενέσιμο Digoxin 250 µg/ml
Ενέσιμο Ciprofloxacin lactate 2 mg/ml
Χλωριούχο νάτριο 0,9% 289
Σύμφωνος
Ενέσιμο Digoxin 50 µg/ml
Ενέσιμο Cloxacillin sodium 100 mg/ml
Ενέσιμο ύδωρ 3012
Σύμφωνος
Ενέσιμο Digoxin 250 µg/ml
Παρεντερική διατροφή (με λιπίδια) 1415
Σύμφωνος
Ενέσιμο Digoxin 250 µg/ml
Ενέσιμο Ceftolozane / tazobactam 10/5 mg/ml
Χλωριούχο νάτριο 0,9% 3828
Σύμφωνος
Ενέσιμο Digoxin 250 µg/ml
Ενέσιμο Ceftolozane / tazobactam 10/5 mg/ml
Γλυκόζη 5% 3828
Σύμφωνος
Ενέσιμο Digoxin 250 µg/ml
Ενέσιμο Ciprofloxacin lactate 2 mg/ml
Γλυκόζη 5% 288
Σύμφωνος
Ενέσιμο Digoxin 0.4 µg/ml
Παρεντερική διατροφή (με λιπίδια) 1338
Σύμφωνος
Ενέσιμο Digoxin 250 µg/ml
Ενέσιμο Dexmedetomidine 4 µg/ml
Χλωριούχο νάτριο 0,9% 1712
Σύμφωνος
Ενέσιμο Digoxin 500 µg/ml
Ενέσιμο Diltiazem hydrochloride 1 & 5 mg/ml
Χλωριούχο νάτριο 0,9% 198
Σύμφωνος
Ενέσιμο Digoxin
Ενέσιμο Dimenhydrinate
2087
Αλλαγή χρώματος μετά από 24 ώρες Ασύμβατες
Ενέσιμο Digoxin 4 µg/ml
Ενέσιμο Dobutamine hydrochloride 1 mg/ml
Γλυκόζη 5% 1058
Αλλαγή χρώματος μετά από 24 ώρες Ασύμβατες
Ενέσιμο Digoxin 4 µg/ml
Ενέσιμο Dobutamine hydrochloride 1 mg/ml
Χλωριούχο νάτριο 0,9% 1058
Σύμφωνος
Ενέσιμο Digoxin 250 µg/ml
Ενέσιμο Doripenem 5 mg/ml
Χλωριούχο νάτριο 0,9% 2262
Σύμφωνος
Ενέσιμο Digoxin 250 µg/ml
Ενέσιμο Doripenem 5 mg/ml
Γλυκόζη 5% 2262
Σύμφωνος
Ενέσιμο Digoxin 250 µg/ml
Ενέσιμο Famotidine
Γλυκόζη 5% 397
Σύμφωνος
Ενέσιμο Digoxin 250 µg/ml
Ενέσιμο Fenoldopam mesylate 80 µg/ml
Χλωριούχο νάτριο 0,9% 1803
Σύμφωνος
Ενέσιμο Digoxin 100 µg/ml
Ενέσιμο Fentanyl citrate 50 µg/ml
Γλυκόζη 5% 63
Σύμφωνος
Ενέσιμο Digoxin 25 µg/ml
Ενέσιμο Flucloxacillin sodium 20 mg/ml
Χλωριούχο νάτριο 0,9% 1232
Παραγωγή φυσαλίδων αερίου Ασύμβατες
Ενέσιμο Digoxin 250 µg/ml
Ενέσιμο Fluconazole 2 mg/ml
Χλωριούχο νάτριο 0,9% 496
Σύμφωνος
Ενέσιμο Digoxin 50 µg/ml
Γαλακτικό διάλυμα Ringer 4603
Παραγωγή φυσαλίδων αερίου Ασύμβατες
Ενέσιμο Digoxin 250 µg/ml
Ενέσιμο Foscarnet sodium 24 mg/ml
Ουδέν 73
Σύμφωνος
Ενέσιμο Digoxin
Γαλακτικό διάλυμα Ringer 618
Σύμφωνος
Ενέσιμο Digoxin 250 µg/ml
Ενέσιμο Fosfomycin 30 mg/ml
Γλυκόζη 5% 4055
Σύμφωνος
Ενέσιμο Digoxin 250 µg/ml
Ενέσιμο Fosfomycin 30 mg/ml
Χλωριούχο νάτριο 0,9% 4055
Σύμφωνος
Ενέσιμο Digoxin 25 µg/ml
Ενέσιμο Furosemide 1 mg/ml
Χλωριούχο νάτριο 0,9% 1232
Σύμφωνος
Ενέσιμο Digoxin 250 µg/ml
Ενέσιμο Hetastarch 60 mg/ml
Ειδικά διαλύτη 1721
Σύμφωνος
Ενέσιμο Digoxin 0,25 µg/ml
Ενέσιμο Imipenem-Cilastatin / Relebactam 5 mg/ml
Γλυκόζη 5% 4433
Σύμφωνος
Ενέσιμο Digoxin 0,25 µg/ml
Ενέσιμο Imipenem-Cilastatin / Relebactam 5 mg/ml
Χλωριούχο νάτριο 0,9% 4433
Σύμφωνος
Ενέσιμο Digoxin 250 µg/ml
Ενέσιμο Isavuconazonium sulfate 1.5 mg/ml
Γλυκόζη 5% 3829
Σύμφωνος
Ενέσιμο Digoxin 250 µg/ml
Ενέσιμο Isavuconazonium sulfate 1.5 mg/ml
Χλωριούχο νάτριο 0,9% 3829
Σύμφωνος
Ενέσιμο Digoxin 50 µg/ml
Ενέσιμο Ketamine hydrochloride 50 mg/ml
2109
Άμεση βροχόπτωση Ασύμβατες
Ενέσιμο Digoxin 250 µg/ml
Ενέσιμο Lansoprazole 0.55 mg/ml
Χλωριούχο νάτριο 0,9% 1625
Σύμφωνος
Ενέσιμο Digoxin 250 µg/ml
Ενέσιμο Levosimendan 0,025 & 0,05 mg/ml
4571
Σύμφωνος
Ενέσιμο Digoxin 1 µg/ml
Ενέσιμο Lidocaine hydrochloride 2 mg/ml
Γαλακτικό διάλυμα Ringer 619
Σύμφωνος
Ενέσιμο Digoxin 1 µg/ml
Ενέσιμο Lidocaine hydrochloride 2 mg/ml
Γλυκόζη 5% 619
Σύμφωνος
Ενέσιμο Digoxin 1 µg/ml
Ενέσιμο Lidocaine hydrochloride 2 mg/ml
Χλωριούχο νάτριο 0,9% 619
Σύμφωνος
Ενέσιμο Digoxin 250 µg/ml
Ενέσιμο Linezolid 2 mg/ml
Ουδέν 1925
Σύμφωνος
Ενέσιμο Digoxin 250 µg/ml
Ενέσιμο Meropenem 50 mg/ml
Ενέσιμο ύδωρ 4319
Σύμφωνος
Ενέσιμο Digoxin 250 µg/ml
Ενέσιμο Meropenem 1 & 50 mg/ml
Χλωριούχο νάτριο 0,9% 266
Σύμφωνος
Ενέσιμο Digoxin 100 µg/ml
Ενέσιμο Midazolam hydrochloride 1 mg/ml
Γλυκόζη 5% 176
Σύμφωνος
Ενέσιμο Digoxin 50 & 125 µg/ml
Ενέσιμο Milrinone lactate 0.1 & 0.35 mg/ml
Γλυκόζη 5% 191
Σύμφωνος
Ενέσιμο Digoxin 250 µg/ml
Ενέσιμο Morphine sulfate 1 mg/ml
Γλυκόζη 5% 62
Σύμφωνος
Ενέσιμο Digoxin 50 µg/ml
Ενέσιμο N-acetylcysteine 200 mg/ml
Ουδέν 3766
Σύμφωνος
Ενέσιμο Digoxin 50 µg/ml
Ενέσιμο Naloxone hydrochloride 0.4 mg/ml
Ουδέν 3408
Καταβύθιση μετά από 4 ώρες Ασύμβατες
Ενέσιμο Digoxin
Ενέσιμο Pantoprazole sodium
2090
Σύμφωνος
Ενέσιμο Digoxin 250 µg/ml
Ενέσιμο Pethidine hydrochloride 10 mg/ml
Γλυκόζη 5% 62
Σύμφωνος
Ενέσιμο Digoxin 250 µg/ml
Ενέσιμο Plazomicin sulfate 24 mg/ml
Χλωριούχο νάτριο 0,9% 4145
Σύμφωνος
Ενέσιμο Digoxin 250 µg/ml
Ενέσιμο Potassium chloride 40 mEq/l
Γλυκόζη 5% 730
Σύμφωνος
Ενέσιμο Digoxin 250 µg/ml
Ενέσιμο Potassium chloride 40 mEq/l
Γαλακτικό διάλυμα Ringer 730
Σύμφωνος
Ενέσιμο Digoxin 250 µg/ml
Ενέσιμο Potassium chloride 40 mEq/l
Χλωριούχο νάτριο 0,9% 730
Σύμφωνος
Ενέσιμο Digoxin 250 µg/ml
Ενέσιμο Propofol 10 mg/ml
Ουδέν 300
Σύμφωνος
Ενέσιμο Digoxin 250 µg/ml
Ενέσιμο Remifentanil hydrochloride 25 & 250 µg/ml
Χλωριούχο νάτριο 0,9% 59
Σύμφωνος
Ενέσιμο Digoxin 0,25 µg/ml
Ενέσιμο Sulbactam/durlobactam 15/15 mg/ml
Χλωριούχο νάτριο 0,9% 4801
Σύμφωνος
Ενέσιμο Digoxin 250 µg/ml
Ενέσιμο Tacrolimus 1000 µg/ml
Χλωριούχο νάτριο 0,9% 479
Σύμφωνος
Ενέσιμο Digoxin 250 µg/ml
Ενέσιμο Tedizolid phosphate 0.8 mg/ml
Χλωριούχο νάτριο 0,9% 3827
Σύμφωνος
Ενέσιμο Digoxin 250 µg/ml
Ενέσιμο Telavancin hydrochloride 7.5 mg/ml
Γαλακτικό διάλυμα Ringer 3254
Σύμφωνος
Ενέσιμο Digoxin 2 µg/ml
Ενέσιμο Verapamil hydrochloride 0,08 mg/ml
Χλωριούχο νάτριο 0,9% 706
Σύμφωνος
Ενέσιμο Digoxin
Χλωριούχο νάτριο 0,9% 618
Αστάθεια του γαλακτώματος μετά από 1 ώρα Ασύμβατες
Ενέσιμο Digoxin 250 µg/ml
Ενέσιμο Propofol
660
Άμεση θολότητα Ασύμβατες
Ενέσιμο Digoxin 250 µg/ml
Ενέσιμο Telavancin hydrochloride 7,5 mg/ml
Χλωριούχο νάτριο 0,9% 3254
Άμεση θολότητα Ασύμβατες
Ενέσιμο Digoxin 250 µg/ml
Ενέσιμο Telavancin hydrochloride 7,5 mg/ml
Γλυκόζη 5% 3254

  Mentions Légales