Letztes “update” :
27/01/2026
Herzstärkungsmittel   Digoxin  
Injektion
Stabilität der Lösung Gemengestabilität Stabilitätbeeinflussende Faktoren Kompatibilitäten Applikationsart Literaturverzeichnis pdf
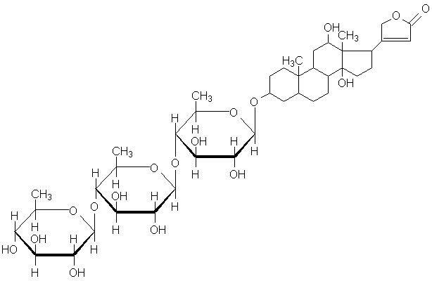
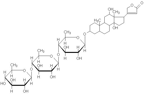
   Chemische Struktur  

Handelsmarke   Handelsmarke     

Handelsnamen sind als beispielhaft anzusehen. Sonstige Bestandteile können je nach Hersteller oder Land verschieden sein

Cardixin Ägypten
Celoxin Indien
Digibind Neuseeland, Vereinigte Staaten von Amerika
Digocard Argentinien, Ecuador
Digosin Japan
Digoxin Argentinien, Dänemark, Ecuador, Finnland, Großbritannien, Iran, Kanada, Polen, Schweden, Ungarn, Vereinigte Staaten von Amerika
Digoxina Argentinien, Ecuador, Mexiko, Spanien, Venezuela
Digoxine Frankreich, Griechenland, Schweiz
Geoxin Indien
Lanibos Saudi-Arabien
Lanicor Deutschland
Lanoxin Ägypten, Belgien, Chile, Großbritannien, Iran, Irland, Italien, Luxemburg, Malaysia, Neuseeland, Niederlande, Norwegen, Portugal, Saudi-Arabien, Vereinigte Arabische Emirate, Vereinigte Staaten von Amerika
Loxinan Mexiko
Kompatibilitäten   Injektion   Kompatibilitäten : Digoxin              
Dieser Bildschirm zeigt die Kompatibilitäten oder Inkompatibilitäten mit der Art der Inkompatibilität (hier: Ausfällung, Farbänderung, Modifikation einer Emulsion usw.) an. Die hier gezeigten Kompatibilitäten sind meist nur physikalisch, wobei die chemische Stabilität jedes Moleküls selten bewertet wird. Die Bewertung dieser Gemische wurde untersucht, um die Möglichkeit einer Verabreichung über eine Y-Verbindung zu berücksichtigen. Diese Daten können daher nicht zur Herstellung von Mischungen im Voraus in Beuteln oder Spritzen verwendet werden. Sie finden diese Informationen auf dem Bildschirm "Stabilität in Mischung».
Molekül Lösungsmittel Literaturverzeichnis
Sofortiger Niederschlag nicht kompatibel
Injektion Digoxin 250 µg/ml
Injektion Amiodarone hydrochloride 6 mg/ml
5% Glucose 1611
kompatibel
Injektion Digoxin 250 µg/ml
Injektion Amoxicillin sodium / clavulanic acid 100/10 mg/ml
3824
Sofortiger Niederschlag nicht kompatibel
Injektion Digoxin 250 µg/ml
Injektion Amphotericin B cholesteryl sulfate complex 0.83 mg/ml
5% Glucose 921
kompatibel
Injektion Digoxin 250 µg/ml
Injektion Anidulafungin 0.5 mg/ml
5% Glucose 1982
kompatibel
Injektion Digoxin 250 µg/ml
Injektion Caffeine 10 mg/ml
Kein 3964
kompatibel
Injektion Digoxin
5% Glucose 618
kompatibel
Injektion Digoxin 250 µg/ml
Injektion Bivalirudin 5 mg/ml
5% Glucose 1713
kompatibel
Injektion Digoxin 2 µg/ml
Injektion Bretylium tosilate 1 mg/ml
0,9% Natriumchlorid 1193
kompatibel
Injektion Digoxin 2 µg/ml
Injektion Bretylium tosilate 1 mg/ml
5% Glucose 1193
kompatibel
Injektion Digoxin 250 µg/ml
Injektion Cefiderocol sulfate tosylate 20 mg/mL
0,9% Natriumchlorid 4528
kompatibel
Injektion Digoxin 250 µg/ml
Injektion Cefiderocol sulfate tosylate 20 mg/mL
5% Glucose 4528
kompatibel
Injektion Digoxin 250 µg/ml
Injektion Cefmetazole sodium 100 mg/ml
Wasser für injektable präparate 93
kompatibel
Injektion Digoxin 250 µg/ml
Injektion Ceftaroline fosamil 2,22 mg/ml
5% Glucose 3249
kompatibel
Injektion Digoxin 250 µg/ml
Injektion Ceftaroline fosamil 2,22 mg/ml
0,9% Natriumchlorid 3249
kompatibel
Injektion Digoxin 250 µg/ml
Injektion Ceftaroline fosamil 2,22 mg/ml
Ringer Lactat - Lösung 3249
kompatibel
Injektion Digoxin 250 µg/ml
Injektion Ceftobiprole medocaril sodium 2 mg/ml
Ringer Lactat - Lösung 2269
kompatibel
Injektion Digoxin 250 µg/ml
Injektion Ceftobiprole medocaril sodium 2 mg/ml
0,9% Natriumchlorid 2269
kompatibel
Injektion Digoxin 250 µg/ml
Injektion Ceftobiprole medocaril sodium 2 mg/ml
5% Glucose 2269
kompatibel
Injektion Digoxin 250 µg/ml
Injektion Ciprofloxacin lactate 2 mg/ml
0,9% Natriumchlorid 288
kompatibel
Injektion Digoxin 250 µg/ml
Injektion Cisatracurium besylate 0.1 >> 5 mg/ml
5% Glucose 299
kompatibel
Injektion Digoxin 250 µg/ml
Parenterale Ernährung (Lipid-frei) 301
kompatibel
Injektion Digoxin 2.5 µg/ml
Injektion Cimetidine hydrochloride 3 mg/ml
5% Glucose 1201
kompatibel
Injektion Digoxin 250 µg/ml
Injektion Ciprofloxacin lactate 2 mg/ml
0,9% Natriumchlorid 289
kompatibel
Injektion Digoxin 50 µg/ml
Injektion Cloxacillin sodium 100 mg/ml
Wasser für injektable präparate 3012
kompatibel
Injektion Digoxin 250 µg/ml
Parenterale Ernährung (mit Lipiden) 1415
kompatibel
Injektion Digoxin 250 µg/ml
Injektion Ceftolozane / tazobactam 10/5 mg/ml
0,9% Natriumchlorid 3828
kompatibel
Injektion Digoxin 250 µg/ml
Injektion Ceftolozane / tazobactam 10/5 mg/ml
5% Glucose 3828
kompatibel
Injektion Digoxin 250 µg/ml
Injektion Ciprofloxacin lactate 2 mg/ml
5% Glucose 288
kompatibel
Injektion Digoxin 0.4 µg/ml
Parenterale Ernährung (mit Lipiden) 1338
kompatibel
Injektion Digoxin 250 µg/ml
Injektion Dexmedetomidine 4 µg/ml
0,9% Natriumchlorid 1712
kompatibel
Injektion Digoxin 500 µg/ml
Injektion Diltiazem hydrochloride 1 & 5 mg/ml
0,9% Natriumchlorid 198
kompatibel
Injektion Digoxin
Injektion Dimenhydrinate
2087
Farbwechsel nach 24 Stunden nicht kompatibel
Injektion Digoxin 4 µg/ml
Injektion Dobutamine hydrochloride 1 mg/ml
5% Glucose 1058
Farbwechsel nach 24 Stunden nicht kompatibel
Injektion Digoxin 4 µg/ml
Injektion Dobutamine hydrochloride 1 mg/ml
0,9% Natriumchlorid 1058
kompatibel
Injektion Digoxin 250 µg/ml
Injektion Doripenem 5 mg/ml
0,9% Natriumchlorid 2262
kompatibel
Injektion Digoxin 250 µg/ml
Injektion Doripenem 5 mg/ml
5% Glucose 2262
kompatibel
Injektion Digoxin 250 µg/ml
Injektion Famotidine
5% Glucose 397
kompatibel
Injektion Digoxin 250 µg/ml
Injektion Fenoldopam mesylate 80 µg/ml
0,9% Natriumchlorid 1803
kompatibel
Injektion Digoxin 100 µg/ml
Injektion Fentanyl citrate 50 µg/ml
5% Glucose 63
kompatibel
Injektion Digoxin 25 µg/ml
Injektion Flucloxacillin sodium 20 mg/ml
0,9% Natriumchlorid 1232
Produktion von Gasblasen nicht kompatibel
Injektion Digoxin 250 µg/ml
Injektion Fluconazole 2 mg/ml
0,9% Natriumchlorid 496
kompatibel
Injektion Digoxin 50 µg/ml
Ringer Lactat - Lösung 4603
Produktion von Gasblasen nicht kompatibel
Injektion Digoxin 250 µg/ml
Injektion Foscarnet sodium 24 mg/ml
Kein 73
kompatibel
Injektion Digoxin
Ringer Lactat - Lösung 618
kompatibel
Injektion Digoxin 250 µg/ml
Injektion Fosfomycin 30 mg/ml
5% Glucose 4055
kompatibel
Injektion Digoxin 250 µg/ml
Injektion Fosfomycin 30 mg/ml
0,9% Natriumchlorid 4055
kompatibel
Injektion Digoxin 25 µg/ml
Injektion Furosemide 1 mg/ml
0,9% Natriumchlorid 1232
kompatibel
Injektion Digoxin 250 µg/ml
Injektion Hetastarch 60 mg/ml
spezifische Lösungsmittel 1721
kompatibel
Injektion Digoxin 0,25 µg/ml
Injektion Imipenem-Cilastatin / Relebactam 5 mg/ml
5% Glucose 4433
kompatibel
Injektion Digoxin 0,25 µg/ml
Injektion Imipenem-Cilastatin / Relebactam 5 mg/ml
0,9% Natriumchlorid 4433
kompatibel
Injektion Digoxin 250 µg/ml
Injektion Isavuconazonium sulfate 1.5 mg/ml
5% Glucose 3829
kompatibel
Injektion Digoxin 250 µg/ml
Injektion Isavuconazonium sulfate 1.5 mg/ml
0,9% Natriumchlorid 3829
kompatibel
Injektion Digoxin 50 µg/ml
Injektion Ketamine hydrochloride 50 mg/ml
2109
Sofortiger Niederschlag nicht kompatibel
Injektion Digoxin 250 µg/ml
Injektion Lansoprazole 0.55 mg/ml
0,9% Natriumchlorid 1625
kompatibel
Injektion Digoxin 250 µg/ml
Injektion Levosimendan 0,025 & 0,05 mg/ml
4571
kompatibel
Injektion Digoxin 1 µg/ml
Injektion Lidocaine hydrochloride 2 mg/ml
Ringer Lactat - Lösung 619
kompatibel
Injektion Digoxin 1 µg/ml
Injektion Lidocaine hydrochloride 2 mg/ml
5% Glucose 619
kompatibel
Injektion Digoxin 1 µg/ml
Injektion Lidocaine hydrochloride 2 mg/ml
0,9% Natriumchlorid 619
kompatibel
Injektion Digoxin 250 µg/ml
Injektion Linezolid 2 mg/ml
Kein 1925
kompatibel
Injektion Digoxin 250 µg/ml
Injektion Meropenem 50 mg/ml
Wasser für injektable präparate 4319
kompatibel
Injektion Digoxin 250 µg/ml
Injektion Meropenem 1 & 50 mg/ml
0,9% Natriumchlorid 266
kompatibel
Injektion Digoxin 100 µg/ml
Injektion Midazolam hydrochloride 1 mg/ml
5% Glucose 176
kompatibel
Injektion Digoxin 50 & 125 µg/ml
Injektion Milrinone lactate 0.1 & 0.35 mg/ml
5% Glucose 191
kompatibel
Injektion Digoxin 250 µg/ml
Injektion Morphine sulfate 1 mg/ml
5% Glucose 62
kompatibel
Injektion Digoxin 50 µg/ml
Injektion N-acetylcysteine 200 mg/ml
Kein 3766
kompatibel
Injektion Digoxin 50 µg/ml
Injektion Naloxone hydrochloride 0.4 mg/ml
Kein 3408
Niederschlag nach 4 Stunden nicht kompatibel
Injektion Digoxin
Injektion Pantoprazole sodium
2090
kompatibel
Injektion Digoxin 250 µg/ml
Injektion Pethidine hydrochloride 10 mg/ml
5% Glucose 62
kompatibel
Injektion Digoxin 250 µg/ml
Injektion Plazomicin sulfate 24 mg/ml
0,9% Natriumchlorid 4145
kompatibel
Injektion Digoxin 250 µg/ml
Injektion Potassium chloride 40 mEq/l
5% Glucose 730
kompatibel
Injektion Digoxin 250 µg/ml
Injektion Potassium chloride 40 mEq/l
Ringer Lactat - Lösung 730
kompatibel
Injektion Digoxin 250 µg/ml
Injektion Potassium chloride 40 mEq/l
0,9% Natriumchlorid 730
kompatibel
Injektion Digoxin 250 µg/ml
Injektion Propofol 10 mg/ml
Kein 300
kompatibel
Injektion Digoxin 250 µg/ml
Injektion Remifentanil hydrochloride 25 & 250 µg/ml
0,9% Natriumchlorid 59
kompatibel
Injektion Digoxin 0,25 µg/ml
Injektion Sulbactam/durlobactam 15/15 mg/ml
0,9% Natriumchlorid 4801
kompatibel
Injektion Digoxin 250 µg/ml
Injektion Tacrolimus 1000 µg/ml
0,9% Natriumchlorid 479
kompatibel
Injektion Digoxin 250 µg/ml
Injektion Tedizolid phosphate 0.8 mg/ml
0,9% Natriumchlorid 3827
kompatibel
Injektion Digoxin 250 µg/ml
Injektion Telavancin hydrochloride 7.5 mg/ml
Ringer Lactat - Lösung 3254
kompatibel
Injektion Digoxin 2 µg/ml
Injektion Verapamil hydrochloride 0,08 mg/ml
0,9% Natriumchlorid 706
kompatibel
Injektion Digoxin
0,9% Natriumchlorid 618
Instabilität der Emulsion nach 1 Stunde nicht kompatibel
Injektion Digoxin 250 µg/ml
Injektion Propofol
660
Sofortige Trübung nicht kompatibel
Injektion Digoxin 250 µg/ml
Injektion Telavancin hydrochloride 7,5 mg/ml
0,9% Natriumchlorid 3254
Sofortige Trübung nicht kompatibel
Injektion Digoxin 250 µg/ml
Injektion Telavancin hydrochloride 7,5 mg/ml
5% Glucose 3254

  Mentions Légales