最新更新 :
27/04/2026
強心薬   Digoxin  
注射薬
溶媒内の安定性 混合時の安定性 安定性に影響する因子 互換性 投与経路 引用文献 PDF
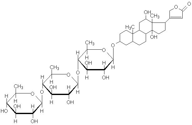
   化学構造  

商品名   商品名     

商品名、賦形剤は国、製薬会社ごとに異なることがあります

Cardixin エジプト
Celoxin インド
Digibind アメリカ, ニュージーランド
Digocard アルゼンチン, エクアドル
Digosin 日本
Digoxin アメリカ, アルゼンチン, イギリス, イラン, エクアドル, カナダ, スウェーデン, デンマーク, ハンガリー, フィンランド, ポーランド
Digoxina アルゼンチン, エクアドル, スペイン, ベネズエラ, メキシコ
Digoxine ギリシア, スイス, フランス
Geoxin インド
Lanibos サウジアラビア
Lanicor ドイツ
Lanoxin アイルランド, アメリカ, アラブ首長国連邦, イギリス, イタリア, イラン, エジプト, オランダ, サウジアラビア, チリ, ニュージーランド, ノルウェー, ベルギー, ポルトガル, マレーシア, ルクセンブルグ
Loxinan メキシコ
互換性   注射薬   互換性 : Digoxin              
This screen indicates the compatibilities or incompatibilities with, in this case, the type of incompatibility (precipitation, color change, modification of an emulsion, etc.). The compatibilities shown here are mostly physical only, with the chemical stability of each molecule rarely being assessed. The evaluation of these mixtures was studied to consider the possibility of Y-site administration to the patient. These data cannot be used for making mixtures in advance in bags or syringes. This type of information is available in the screen "Stability in mixture ».
化合物 溶媒 引用文献
即時降水 非互換
注射薬 Digoxin 250 µg/ml
注射薬 Amiodarone hydrochloride 6 mg/ml
グルコース5% 1611
対応
注射薬 Digoxin 250 µg/ml
注射薬 Amoxicillin sodium / clavulanic acid 100/10 mg/ml
3824
即時降水 非互換
注射薬 Digoxin 250 µg/ml
注射薬 Amphotericin B cholesteryl sulfate complex 0.83 mg/ml
グルコース5% 921
対応
注射薬 Digoxin 250 µg/ml
注射薬 Anidulafungin 0.5 mg/ml
グルコース5% 1982
対応
注射薬 Digoxin 250 µg/ml
注射薬 Caffeine 10 mg/ml
なし 3964
対応
注射薬 Digoxin
グルコース5% 618
対応
注射薬 Digoxin 250 µg/ml
注射薬 Bivalirudin 5 mg/ml
グルコース5% 1713
対応
注射薬 Digoxin 2 µg/ml
注射薬 Bretylium tosilate 1 mg/ml
NaCl 0,9% 1193
対応
注射薬 Digoxin 2 µg/ml
注射薬 Bretylium tosilate 1 mg/ml
グルコース5% 1193
対応
注射薬 Digoxin 250 µg/ml
注射薬 Cefiderocol sulfate tosylate 20 mg/mL
NaCl 0,9% 4528
対応
注射薬 Digoxin 250 µg/ml
注射薬 Cefiderocol sulfate tosylate 20 mg/mL
グルコース5% 4528
対応
注射薬 Digoxin 250 µg/ml
注射薬 Cefmetazole sodium 100 mg/ml
注射用水 93
対応
注射薬 Digoxin 250 µg/ml
注射薬 Ceftaroline fosamil 2,22 mg/ml
グルコース5% 3249
対応
注射薬 Digoxin 250 µg/ml
注射薬 Ceftaroline fosamil 2,22 mg/ml
NaCl 0,9% 3249
対応
注射薬 Digoxin 250 µg/ml
注射薬 Ceftaroline fosamil 2,22 mg/ml
乳酸リンゲル 3249
対応
注射薬 Digoxin 250 µg/ml
注射薬 Ceftobiprole medocaril sodium 2 mg/ml
乳酸リンゲル 2269
対応
注射薬 Digoxin 250 µg/ml
注射薬 Ceftobiprole medocaril sodium 2 mg/ml
NaCl 0,9% 2269
対応
注射薬 Digoxin 250 µg/ml
注射薬 Ceftobiprole medocaril sodium 2 mg/ml
グルコース5% 2269
対応
注射薬 Digoxin 250 µg/ml
注射薬 Ciprofloxacin lactate 2 mg/ml
NaCl 0,9% 288
対応
注射薬 Digoxin 250 µg/ml
注射薬 Cisatracurium besylate 0.1 >> 5 mg/ml
グルコース5% 299
対応
注射薬 Digoxin 250 µg/ml
非経口的栄養(二元混合物) 301
対応
注射薬 Digoxin 2.5 µg/ml
注射薬 Cimetidine hydrochloride 3 mg/ml
グルコース5% 1201
対応
注射薬 Digoxin 250 µg/ml
注射薬 Ciprofloxacin lactate 2 mg/ml
NaCl 0,9% 289
対応
注射薬 Digoxin 50 µg/ml
注射薬 Cloxacillin sodium 100 mg/ml
注射用水 3012
対応
注射薬 Digoxin 250 µg/ml
非経口的栄養(脂肪含む) 1415
対応
注射薬 Digoxin 250 µg/ml
注射薬 Ceftolozane / tazobactam 10/5 mg/ml
NaCl 0,9% 3828
対応
注射薬 Digoxin 250 µg/ml
注射薬 Ceftolozane / tazobactam 10/5 mg/ml
グルコース5% 3828
対応
注射薬 Digoxin 250 µg/ml
注射薬 Ciprofloxacin lactate 2 mg/ml
グルコース5% 288
対応
注射薬 Digoxin 0.4 µg/ml
非経口的栄養(脂肪含む) 1338
対応
注射薬 Digoxin 250 µg/ml
注射薬 Dexmedetomidine 4 µg/ml
NaCl 0,9% 1712
対応
注射薬 Digoxin 500 µg/ml
注射薬 Diltiazem hydrochloride 1 & 5 mg/ml
NaCl 0,9% 198
対応
注射薬 Digoxin
注射薬 Dimenhydrinate
2087
24時間後の色の変化 非互換
注射薬 Digoxin 4 µg/ml
注射薬 Dobutamine hydrochloride 1 mg/ml
グルコース5% 1058
24時間後の色の変化 非互換
注射薬 Digoxin 4 µg/ml
注射薬 Dobutamine hydrochloride 1 mg/ml
NaCl 0,9% 1058
対応
注射薬 Digoxin 250 µg/ml
注射薬 Doripenem 5 mg/ml
NaCl 0,9% 2262
対応
注射薬 Digoxin 250 µg/ml
注射薬 Doripenem 5 mg/ml
グルコース5% 2262
対応
注射薬 Digoxin 250 µg/ml
注射薬 Famotidine
グルコース5% 397
対応
注射薬 Digoxin 250 µg/ml
注射薬 Fenoldopam mesylate 80 µg/ml
NaCl 0,9% 1803
対応
注射薬 Digoxin 100 µg/ml
注射薬 Fentanyl citrate 50 µg/ml
グルコース5% 63
対応
注射薬 Digoxin 25 µg/ml
注射薬 Flucloxacillin sodium 20 mg/ml
NaCl 0,9% 1232
気泡の生成 非互換
注射薬 Digoxin 250 µg/ml
注射薬 Fluconazole 2 mg/ml
NaCl 0,9% 496
対応
注射薬 Digoxin 50 µg/ml
乳酸リンゲル 4603
気泡の生成 非互換
注射薬 Digoxin 250 µg/ml
注射薬 Foscarnet sodium 24 mg/ml
なし 73
対応
注射薬 Digoxin
乳酸リンゲル 618
対応
注射薬 Digoxin 250 µg/ml
注射薬 Fosfomycin 30 mg/ml
グルコース5% 4055
対応
注射薬 Digoxin 250 µg/ml
注射薬 Fosfomycin 30 mg/ml
NaCl 0,9% 4055
対応
注射薬 Digoxin 25 µg/ml
注射薬 Furosemide 1 mg/ml
NaCl 0,9% 1232
対応
注射薬 Digoxin 250 µg/ml
注射薬 Hetastarch 60 mg/ml
特定の溶媒 1721
対応
注射薬 Digoxin 0,25 µg/ml
注射薬 Imipenem-Cilastatin / Relebactam 5 mg/ml
グルコース5% 4433
対応
注射薬 Digoxin 0,25 µg/ml
注射薬 Imipenem-Cilastatin / Relebactam 5 mg/ml
NaCl 0,9% 4433
対応
注射薬 Digoxin 250 µg/ml
注射薬 Isavuconazonium sulfate 1.5 mg/ml
グルコース5% 3829
対応
注射薬 Digoxin 250 µg/ml
注射薬 Isavuconazonium sulfate 1.5 mg/ml
NaCl 0,9% 3829
対応
注射薬 Digoxin 50 µg/ml
注射薬 Ketamine hydrochloride 50 mg/ml
2109
即時降水 非互換
注射薬 Digoxin 250 µg/ml
注射薬 Lansoprazole 0.55 mg/ml
NaCl 0,9% 1625
対応
注射薬 Digoxin 250 µg/ml
注射薬 Levosimendan 0,025 & 0,05 mg/ml
4571
対応
注射薬 Digoxin 1 µg/ml
注射薬 Lidocaine hydrochloride 2 mg/ml
乳酸リンゲル 619
対応
注射薬 Digoxin 1 µg/ml
注射薬 Lidocaine hydrochloride 2 mg/ml
グルコース5% 619
対応
注射薬 Digoxin 1 µg/ml
注射薬 Lidocaine hydrochloride 2 mg/ml
NaCl 0,9% 619
対応
注射薬 Digoxin 250 µg/ml
注射薬 Linezolid 2 mg/ml
なし 1925
対応
注射薬 Digoxin 250 µg/ml
注射薬 Meropenem 50 mg/ml
注射用水 4319
対応
注射薬 Digoxin 250 µg/ml
注射薬 Meropenem 1 & 50 mg/ml
NaCl 0,9% 266
対応
注射薬 Digoxin 100 µg/ml
注射薬 Midazolam hydrochloride 1 mg/ml
グルコース5% 176
対応
注射薬 Digoxin 50 & 125 µg/ml
注射薬 Milrinone lactate 0.1 & 0.35 mg/ml
グルコース5% 191
対応
注射薬 Digoxin 250 µg/ml
注射薬 Morphine sulfate 1 mg/ml
グルコース5% 62
対応
注射薬 Digoxin 50 µg/ml
注射薬 N-acetylcysteine 200 mg/ml
なし 3766
対応
注射薬 Digoxin 50 µg/ml
注射薬 Naloxone hydrochloride 0.4 mg/ml
なし 3408
4時間後の降水 非互換
注射薬 Digoxin
注射薬 Pantoprazole sodium
2090
対応
注射薬 Digoxin 250 µg/ml
注射薬 Pethidine hydrochloride 10 mg/ml
グルコース5% 62
対応
注射薬 Digoxin 250 µg/ml
注射薬 Plazomicin sulfate 24 mg/ml
NaCl 0,9% 4145
対応
注射薬 Digoxin 250 µg/ml
注射薬 Potassium chloride 40 mEq/l
グルコース5% 730
対応
注射薬 Digoxin 250 µg/ml
注射薬 Potassium chloride 40 mEq/l
乳酸リンゲル 730
対応
注射薬 Digoxin 250 µg/ml
注射薬 Potassium chloride 40 mEq/l
NaCl 0,9% 730
対応
注射薬 Digoxin 250 µg/ml
注射薬 Propofol 10 mg/ml
なし 300
対応
注射薬 Digoxin 250 µg/ml
注射薬 Remifentanil hydrochloride 25 & 250 µg/ml
NaCl 0,9% 59
対応
注射薬 Digoxin 0,25 µg/ml
注射薬 Sulbactam/durlobactam 15/15 mg/ml
NaCl 0,9% 4801
対応
注射薬 Digoxin 250 µg/ml
注射薬 Tacrolimus 1000 µg/ml
NaCl 0,9% 479
対応
注射薬 Digoxin 250 µg/ml
注射薬 Tedizolid phosphate 0.8 mg/ml
NaCl 0,9% 3827
対応
注射薬 Digoxin 250 µg/ml
注射薬 Telavancin hydrochloride 7.5 mg/ml
乳酸リンゲル 3254
対応
注射薬 Digoxin 2 µg/ml
注射薬 Verapamil hydrochloride 0,08 mg/ml
NaCl 0,9% 706
対応
注射薬 Digoxin
NaCl 0,9% 618
1時間後のエマルジョンの不安定性 非互換
注射薬 Digoxin 250 µg/ml
注射薬 Propofol
660
すぐに濁り 非互換
注射薬 Digoxin 250 µg/ml
注射薬 Telavancin hydrochloride 7,5 mg/ml
NaCl 0,9% 3254
すぐに濁り 非互換
注射薬 Digoxin 250 µg/ml
注射薬 Telavancin hydrochloride 7,5 mg/ml
グルコース5% 3254

  Mentions Légales