Последно актуализиране :
18/03/2026
Антибиотик   Colistin mesilate sodium  
Инжекция/Инжекционен
Аерозол
Стабилност на разтвори Стабилност на смеси Фактори, повлияващи стабилността Съвместимост Път на въвеждане Библиография Pdf
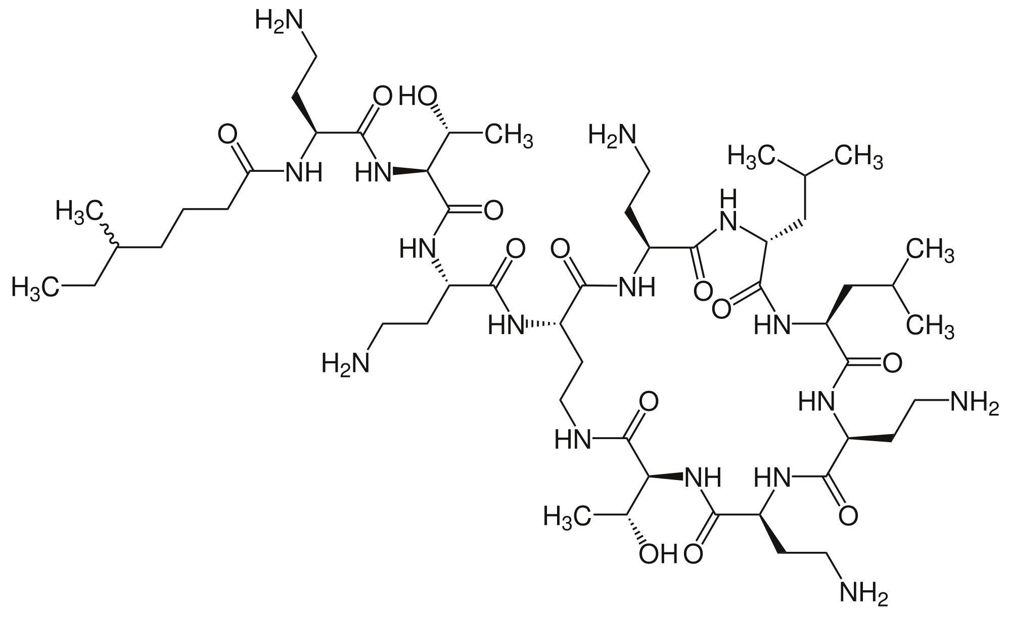
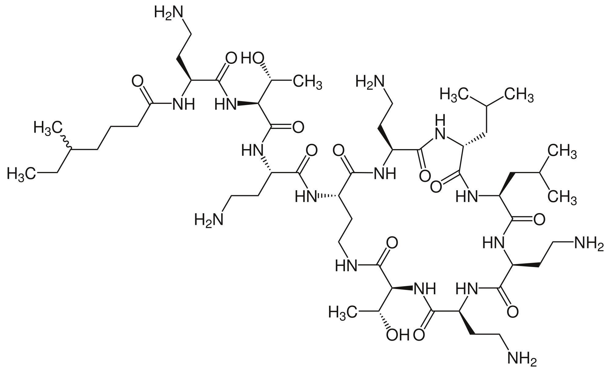
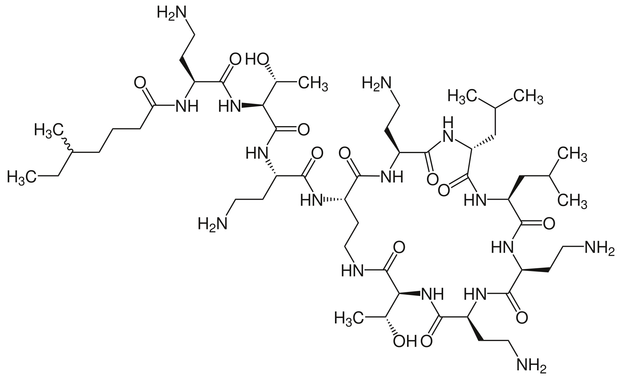
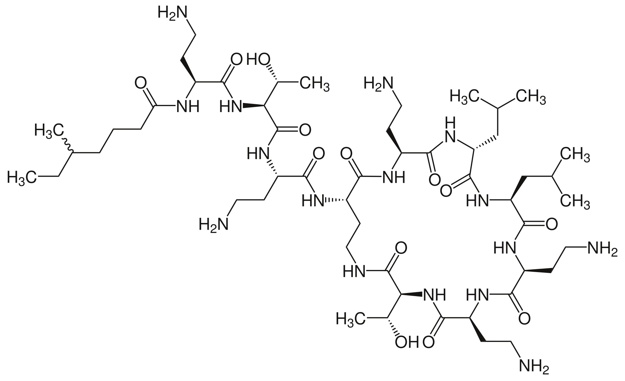
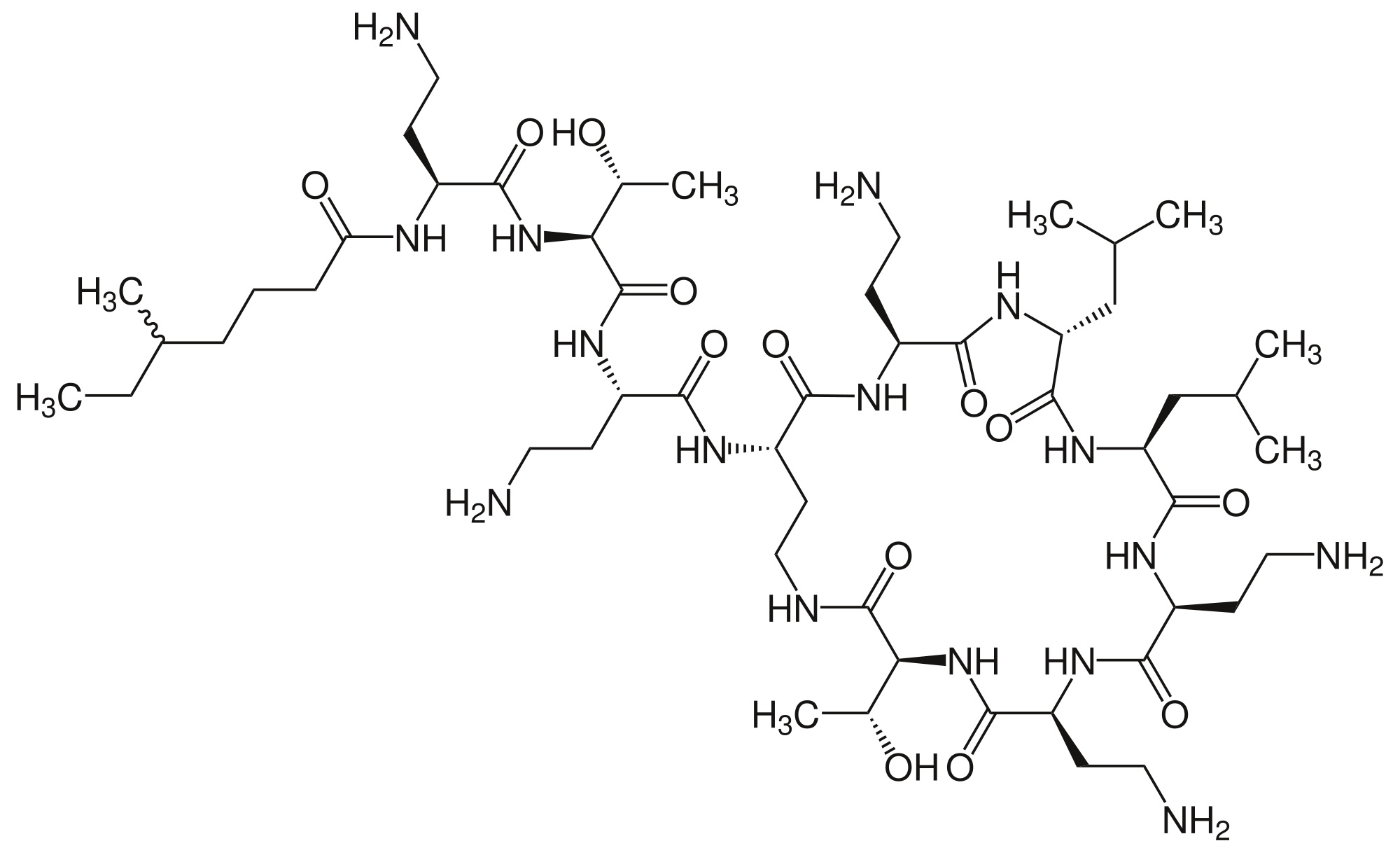
   Химична структура  

Търговско наименование   Търговско наименование     

Търговските имена са примерни и съставът на помощните вещества може да бъде различен в зависимост от държавата и лабораториите

Alficetin Аржентина
Colimicina Италия
Colimycin Дания, Норвегия, Турция
Colimycine Люксенбург, Мароко, Тунис, Франция, Холандия
Colismet Перу
Colistimethate Великобритания, Канада, Съединени Американски щати / САЩ, Франция
Colistin Австрия, Германия, Гърция, нова Зеландия, Полша
Colistina Аржентина, Португалия, Чили
Colistineb Белгия
Colistyn Аржентина
Colixin Словения
Colomycin Великобритания, Ирландия, Канада, Малайзия, Съединени Американски щати / САЩ
Dicupal Чили
Elistin Перу
Kolisod Турция
Nolisin
Promixin Великобритания, Германия, Ирландия, Норвегия
Toliscrin Аржентина
Съвместимост   Инжекция/Инжекционен   Съвместимост : Colistin mesilate sodium              
Този екран показва съвместимостта или несъвместимостта с, в този случай, вида на несъвместимостта (утаяване, промяна на цвета, модификация на емулсия и др.). Показаните тук съвместимости са предимно физически, като рядко се оценява химическата стабилност на всяка молекула. Оценката на тези смеси беше проучена, за да се разгледа възможността за приложение на Y-място на пациента. Тези данни не могат да се използват за предварително приготвяне на смеси в торбички или спринцовки. Този тип информация е достъпна на екрана "Стабилност в сместа".
Състав / молекула Разтворител Библиография
съвместим
Инжекция/Инжекционен Colistin mesilate sodium 4.5 mg/ml
Инжекция/Инжекционен Cefiderocol sulfate tosylate 20 mg/mL
Glucose 5% 4528
съвместим
Инжекция/Инжекционен Colistin mesilate sodium 4.5 mg/ml
Инжекция/Инжекционен Cefiderocol sulfate tosylate 20 mg/mL
Sodium chloride 0,9% 4528
съвместим
Инжекция/Инжекционен Colistin mesilate sodium 1.5 mg/ml
Инжекция/Инжекционен Ceftazidime 5 mg/ml
Sodium chloride 0,9% 3997
съвместим
Инжекция/Инжекционен Colistin mesilate sodium 4.5 mg/ml
Инжекция/Инжекционен Ceftolozane / tazobactam 10/5 mg/ml
Glucose 5% 3828
съвместим
Инжекция/Инжекционен Colistin mesilate sodium 4.5 mg/ml
Инжекция/Инжекционен Ceftolozane / tazobactam 10/5 mg/ml
Sodium chloride 0,9% 3828
съвместим
Инжекция/Инжекционен Colistin mesilate sodium 1.5 mg/ml
Инжекция/Инжекционен Cimetidine hydrochloride 3 mg/ml
Glucose 5% 1201
Несъвместим
Инжекция/Инжекционен Colistin mesilate sodium
Аерозол Cromoglycate sodium
2550
Незабавна мътност Несъвместим
Инжекция/Инжекционен Colistin mesilate sodium 4,5 mg/ml
Инжекция/Инжекционен Eravacycline 0,6 mg/ml
Sodium chloride 0,9% 4434
съвместим
Инжекция/Инжекционен Colistin mesilate sodium 1.5 mg/ml
Инжекция/Инжекционен Ertapenem 5 mg/ml
Sodium chloride 0,9% 3997
Неопределена несъвместимост Несъвместим
Инжекция/Инжекционен Colistin mesilate sodium
Инжекция/Инжекционен Erythromycin lactobionate
3674
съвместим
Инжекция/Инжекционен Colistin mesilate sodium 1.5 mg/ml
Инжекция/Инжекционен Fosfomycin 20 mg/ml
Sodium chloride 0,9% 3997
съвместим
Инжекция/Инжекционен Colistin mesilate sodium 4.5 mg/ml
Инжекция/Инжекционен Fosfomycin 30 mg/ml
Glucose 5% 4055
съвместим
Инжекция/Инжекционен Colistin mesilate sodium 4.5 mg/ml
Инжекция/Инжекционен Fosfomycin 30 mg/ml
Sodium chloride 0,9% 4055
Незабавна мътност Несъвместим
Инжекция/Инжекционен Colistin mesilate sodium 0,67 & 1,5 mg/ml
Инжекция/Инжекционен Ibuprofen arginine 4 & 6 mg/ml
Sodium chloride 0,9% 4855
съвместим
Инжекция/Инжекционен Colistin mesilate sodium 1.5 mg/ml
Инжекция/Инжекционен Imipenem - cilastatin sodium 5/5 mg/ml
Sodium chloride 0,9% 3997
Незабавна мътност Несъвместим
Инжекция/Инжекционен Colistin mesilate sodium 4.5 mg/ml
Инжекция/Инжекционен Isavuconazonium sulfate 1.5 mg/ml
Glucose 5% 3829
Незабавна мътност Несъвместим
Инжекция/Инжекционен Colistin mesilate sodium 4.5 mg/ml
Инжекция/Инжекционен Isavuconazonium sulfate 1.5 mg/ml
Sodium chloride 0,9% 3829
съвместим
Инжекция/Инжекционен Colistin mesilate sodium 0,67 & 1,5 mg/ml
Инжекция/Инжекционен Ketoprofene 0,4 mg/ml
Sodium chloride 0,9% 4855
съвместим
Инжекция/Инжекционен Colistin mesilate sodium 1.5 mg/ml
Инжекция/Инжекционен Linezolid 2 mg/ml
Sodium chloride 0,9% 3997
съвместим
Инжекция/Инжекционен Colistin mesilate sodium 75 mg/ml
Инжекция/Инжекционен Meropenem 50 mg/ml
Вода за инжекции 4319
съвместим
Инжекция/Инжекционен Colistin mesilate sodium 1.5 mg/ml
Инжекция/Инжекционен Meropenem 10 mg/ml
Sodium chloride 0,9% 3997
Промяна на цвета Несъвместим
Инжекция/Инжекционен Colistin mesilate sodium 0,67 & 1,5 mg/ml
Инжекция/Инжекционен Metamizol sodium 50 mg/ml
Sodium chloride 0,9% 4855
Модификация на рН> 1 рН единица Несъвместим
Инжекция/Инжекционен Colistin mesilate sodium 0,67 & 1,5 mg/ml
Инжекция/Инжекционен Morphine sulfate 2 mg/ml
Sodium chloride 0,9% 4855
съвместим
Инжекция/Инжекционен Colistin mesilate sodium 0,67 & 1,5 mg/ml
Инжекция/Инжекционен Paracetamol 10 mg/ml
Sodium chloride 0,9% 4855
съвместим
Инжекция/Инжекционен Colistin mesilate sodium 1.5 mg/ml
Инжекция/Инжекционен Piperacillin sodium / tazobactam 40/0.5 mg/ml
Sodium chloride 0,9% 3997
съвместим
Инжекция/Инжекционен Colistin mesilate sodium 4.5 mg/ml
Инжекция/Инжекционен Plazomicin sulfate 24 mg/ml
Sodium chloride 0,9% 4145
съвместим
Инжекция/Инжекционен Colistin mesilate sodium 4,5 mg/ml
Инжекция/Инжекционен Sulbactam/durlobactam 15/15 mg/ml
Sodium chloride 0,9% 4801
съвместим
Инжекция/Инжекционен Colistin mesilate sodium 4.5 mg/ml
Инжекция/Инжекционен Tedizolid phosphate 0.8 mg/ml
Sodium chloride 0,9% 3827
Незабавна мътност Несъвместим
Инжекция/Инжекционен Colistin mesilate sodium 4,5 mg/ml
Инжекция/Инжекционен Telavancin hydrochloride 7,5 mg/ml
Glucose 5% 3254
Незабавна мътност Несъвместим
Инжекция/Инжекционен Colistin mesilate sodium 4,5 mg/ml
Инжекция/Инжекционен Telavancin hydrochloride 7,5 mg/ml
Ринтер лактат 3254
съвместим
Инжекция/Инжекционен Colistin mesilate sodium 4,5 mg/ml
Инжекция/Инжекционен Telavancin hydrochloride 7,5 mg/ml
Sodium chloride 0,9% 3254
съвместим
Инжекция/Инжекционен Colistin mesilate sodium 0,67 & 1,5 mg/ml
Инжекция/Инжекционен Tramadol hydrochloride 5 mg/ml
Sodium chloride 0,9% 4855
съвместим
Инжекция/Инжекционен Colistin mesilate sodium
Sodium chloride 0,9% 4975
съвместим
Инжекция/Инжекционен Colistin mesilate sodium 1.5 mg/ml
Инжекция/Инжекционен Vancomycin hydrochloride 10 mg/ml
Sodium chloride 0,9% 3997
съвместим
Инжекция/Инжекционен Colistin mesilate sodium 0,8 mg/ml
Парентерално хранене (с липиди) 4438

  Mentions Légales